Last visit was: 24 Apr 2026, 19:13 It is currently 24 Apr 2026, 19:13
Close
GMAT Club Daily Prep
Thank you for using the timer - this advanced tool can estimate your performance and suggest more practice questions. We have subscribed you to Daily Prep Questions via email.

Customized
for You

we will pick new questions that match your level based on your Timer History

Track
Your Progress

every week, we’ll send you an estimated GMAT score based on your performance

Practice
Pays

we will pick new questions that match your level based on your Timer History
Not interested in getting valuable practice questions and articles delivered to your email? No problem, unsubscribe here.
Close
Request Expert Reply
Confirm Cancel
User avatar
Bunuel
User avatar
Math Expert
Joined: 02 Sep 2009
Last visit: 24 Apr 2026
Posts: 109,818
Own Kudos:
Given Kudos: 105,873
Products:
Expert
Expert reply
Active GMAT Club Expert! Tag them with @ followed by their username for a faster response.
Posts: 109,818
Kudos: 811,087
Kudos
Add Kudos
Bookmarks
Bookmark this Post
User avatar
Aks111
Joined: 13 Mar 2017
Last visit: 24 Feb 2025
Posts: 144
Own Kudos:
285
 [1]
Given Kudos: 96
Location: India
WE:Information Technology (Consulting)
Products:
Posts: 144
Kudos: 285
 [1]
1
Kudos
Add Kudos
Bookmarks
Bookmark this Post
User avatar
Ivy17
Joined: 21 Dec 2020
Last visit: 04 Feb 2026
Posts: 38
Own Kudos:
Given Kudos: 29
Location: India
GMAT 1: 720 Q49 V38
GPA: 3.64
GMAT 1: 720 Q49 V38
Posts: 38
Kudos: 19
Kudos
Add Kudos
Bookmarks
Bookmark this Post
User avatar
zhanbo
Joined: 27 Feb 2017
Last visit: 07 Jul 2024
Posts: 1,464
Own Kudos:
2,479
 [1]
Given Kudos: 114
Location: United States (WA)
GMAT 1: 760 Q50 V42
GMAT 2: 760 Q50 V42
GRE 1: Q169 V168
GRE 2: Q170 V170
Expert
Expert reply
GMAT 2: 760 Q50 V42
GRE 1: Q169 V168
GRE 2: Q170 V170
Posts: 1,464
Kudos: 2,479
 [1]
1
Kudos
Add Kudos
Bookmarks
Bookmark this Post
Ivy17
Aks111
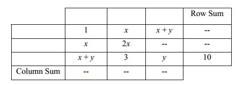
We need to find sum of the diagonal elements from the top left through the bottom right in the table
= 1 + 2x + y

(1) The sum of the elements in each row is the same.
=> (sum of first row) 1 + 2x + y = (sum of third row) x+2y+3 = 10
With statement (1) we are able to identify the required sum = 10

Hence, statement 1 alone is sufficient.

(2) The sum of the elements in each column is the same.
=> (sum of first column) 2x+y+1 = (sum of second column) 3x+3 = (sum of third column) x+2y+ --
But, we do not know a exact number that is equal to these sum.
Hence, statement (2) alone is not sufficient.

Answer: A

Hi, but from statement 2 we know that 2x+y+1=3x+3. From this we can say that y=x+2. Now we are given the row sum as part of the question where x+2y+3=10, of we substitute the value of 'y' here it will come to x+2x+4+3=10 which gives the value of x to be 7/3. We can then find y's value to be 14/3. That will help to find the value of our equation 1+2x+y which will come to 10. How is this statement not sufficient then?
Hi zhanbo, could you help me understand where I am going wrong?

With x+2x+4+3=10, we should get 3x=3 and thus x=1, right?

I do believe that (2) alone is also sufficient (because we already know x+2y+3=10), but I also think that it will give a different value for the posed question.

Can you double check?
With condition (1), I get x=11/3 and y=5/3
With condition (2), I get x=1 and y=3
A valid DS question should ensure that condition (1) and (2) are compatible with each other.
User avatar
Ivy17
Joined: 21 Dec 2020
Last visit: 04 Feb 2026
Posts: 38
Own Kudos:
Given Kudos: 29
Location: India
GMAT 1: 720 Q49 V38
GPA: 3.64
GMAT 1: 720 Q49 V38
Posts: 38
Kudos: 19
Kudos
Add Kudos
Bookmarks
Bookmark this Post
zhanbo
Ivy17
Aks111
We need to find sum of the diagonal elements from the top left through the bottom right in the table
= 1 + 2x + y

(1) The sum of the elements in each row is the same.
=> (sum of first row) 1 + 2x + y = (sum of third row) x+2y+3 = 10
With statement (1) we are able to identify the required sum = 10

Hence, statement 1 alone is sufficient.

(2) The sum of the elements in each column is the same.
=> (sum of first column) 2x+y+1 = (sum of second column) 3x+3 = (sum of third column) x+2y+ --
But, we do not know a exact number that is equal to these sum.
Hence, statement (2) alone is not sufficient.

Answer: A

Hi, but from statement 2 we know that 2x+y+1=3x+3. From this we can say that y=x+2. Now we are given the row sum as part of the question where x+2y+3=10, of we substitute the value of 'y' here it will come to x+2x+4+3=10 which gives the value of x to be 7/3. We can then find y's value to be 14/3. That will help to find the value of our equation 1+2x+y which will come to 10. How is this statement not sufficient then?
Hi zhanbo, could you help me understand where I am going wrong?

With x+2x+4+3=10, we should get 3x=3 and thus x=1, right?

I do believe that (2) alone is also sufficient (because we already know x+2y+3=10), but I also think that it will give a different value for the posed question.

Can you double check?
With condition (1), I get x=11/3 and y=5/3
With condition (2), I get x=1 and y=3
A valid DS question should ensure that condition (1) and (2) are compatible with each other.


Yes you are right, the answers from both statements are not the same. In that case would the question be considered inaccurate?
User avatar
zhanbo
Joined: 27 Feb 2017
Last visit: 07 Jul 2024
Posts: 1,464
Own Kudos:
Given Kudos: 114
Location: United States (WA)
GMAT 1: 760 Q50 V42
GMAT 2: 760 Q50 V42
GRE 1: Q169 V168
GRE 2: Q170 V170
Expert
Expert reply
GMAT 2: 760 Q50 V42
GRE 1: Q169 V168
GRE 2: Q170 V170
Posts: 1,464
Kudos: 2,479
Kudos
Add Kudos
Bookmarks
Bookmark this Post
Ivy17

Maybe there is a typo somewhere in this question.

Anyway, we would not see any official questions whose two conditions contradict with each other. One (or two) may not be adequate to answer the posed question, but either is an accurate description of the same situation.
User avatar
Ivy17
Joined: 21 Dec 2020
Last visit: 04 Feb 2026
Posts: 38
Own Kudos:
Given Kudos: 29
Location: India
GMAT 1: 720 Q49 V38
GPA: 3.64
GMAT 1: 720 Q49 V38
Posts: 38
Kudos: 19
Kudos
Add Kudos
Bookmarks
Bookmark this Post
zhanbo
Ivy17

Maybe there is a typo somewhere in this question.

Anyway, we would not see any official questions whose two conditions contradict with each other. One (or two) may not be adequate to answer the posed question, but either is an accurate description of the same situation.

Thanks zhanbo!
Moderators:
Math Expert
109818 posts
498 posts
212 posts