Last visit was: 27 Apr 2026, 17:41 It is currently 27 Apr 2026, 17:41
Close
GMAT Club Daily Prep
Thank you for using the timer - this advanced tool can estimate your performance and suggest more practice questions. We have subscribed you to Daily Prep Questions via email.

Customized
for You

we will pick new questions that match your level based on your Timer History

Track
Your Progress

every week, we’ll send you an estimated GMAT score based on your performance

Practice
Pays

we will pick new questions that match your level based on your Timer History
Not interested in getting valuable practice questions and articles delivered to your email? No problem, unsubscribe here.
Close
Request Expert Reply
Confirm Cancel
User avatar
Bunuel
User avatar
Math Expert
Joined: 02 Sep 2009
Last visit: 27 Apr 2026
Posts: 109,929
Own Kudos:
811,619
 [1]
Given Kudos: 105,914
Products:
Expert
Expert reply
Active GMAT Club Expert! Tag them with @ followed by their username for a faster response.
Posts: 109,929
Kudos: 811,619
 [1]
Kudos
Add Kudos
Bookmarks
Bookmark this Post
User avatar
AritraKundu
Joined: 05 Feb 2017
Last visit: 23 Jul 2023
Posts: 15
Own Kudos:
Given Kudos: 80
Posts: 15
Kudos: 9
Kudos
Add Kudos
Bookmarks
Bookmark this Post
User avatar
MBAHOUSE
User avatar
MBA House Admissions Consultant
Joined: 26 May 2022
Last visit: 23 Apr 2024
Posts: 337
Own Kudos:
98
 [1]
Expert
Expert reply
Posts: 337
Kudos: 98
 [1]
1
Kudos
Add Kudos
Bookmarks
Bookmark this Post
User avatar
BusinessAdmin
Joined: 25 Aug 2020
Last visit: 26 Aug 2024
Posts: 12
Own Kudos:
Given Kudos: 9
Location: India
Concentration: General Management, Strategy
Schools: Kellogg (A)
GPA: 3.8
Schools: Kellogg (A)
Posts: 12
Kudos: 3
Kudos
Add Kudos
Bookmarks
Bookmark this Post
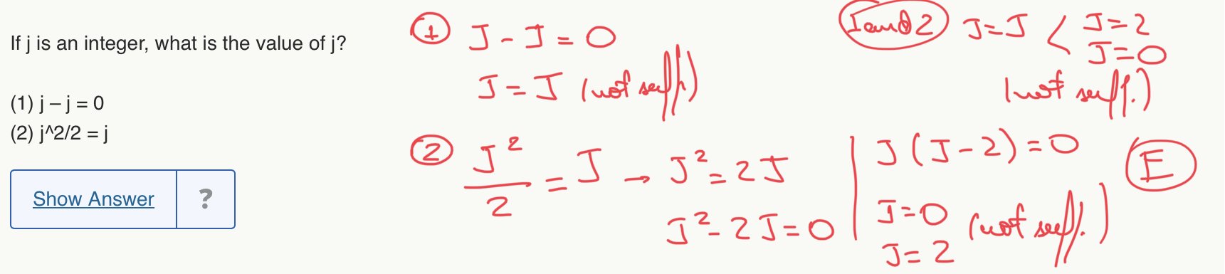
Hello,I always make the same mistake while solving such questions. The approach I use is as follows (Do not: this is only for Statement 2).


J^2/2 = J
J/2=1
J=1

now, apparently, this isnt the correct approach and would love to know the insight why is it not correct?
User avatar
Nabneet
Joined: 27 Dec 2022
Last visit: 19 Aug 2024
Posts: 105
Own Kudos:
120
 [1]
Given Kudos: 40
Location: India
GMAT 1: 550 Q47 V20
WE:Other (Other)
GMAT 1: 550 Q47 V20
Posts: 105
Kudos: 120
 [1]
1
Kudos
Add Kudos
Bookmarks
Bookmark this Post
BusinessAdmin
Hello,I always make the same mistake while solving such questions. The approach I use is as follows (Do not: this is only for Statement 2).


J^2/2 = J
J/2=1
J=1

now, apparently, this isnt the correct approach and would love to know the insight why is it not correct?


Hi Business Admin,

We cannot cancel out j, because there is a possibility that J can take the value 0.

If we cancel out j, means we are ignoring j=0 possibility.
User avatar
Its_me_aka_ak
Joined: 16 Jul 2023
Last visit: 10 Jun 2025
Posts: 111
Own Kudos:
Given Kudos: 310
Location: India
GPA: 3.46
Posts: 111
Kudos: 21
Kudos
Add Kudos
Bookmarks
Bookmark this Post
AritraKundu
Statement 1: j can be anything. So, it is not sufficient
Statement 2: j^2/2=j
It is possible only if j=2 or -2
Here also, we cannot zero down to single answer so insufficient

Statement 1 and 2 together
-2-(-2)=0
2-2=0
This also giving us two answers

So, it is E
wrong reasoning but correct answer. it cannot be -2 as statement 2 will give us 4=-4 if j is taken as 2
the cases to consider are 2 and 0
Moderators:
Math Expert
109929 posts
498 posts
212 posts