Last visit was: 23 Apr 2026, 08:45 It is currently 23 Apr 2026, 08:45
Close
GMAT Club Daily Prep
Thank you for using the timer - this advanced tool can estimate your performance and suggest more practice questions. We have subscribed you to Daily Prep Questions via email.

Customized
for You

we will pick new questions that match your level based on your Timer History

Track
Your Progress

every week, we’ll send you an estimated GMAT score based on your performance

Practice
Pays

we will pick new questions that match your level based on your Timer History
Not interested in getting valuable practice questions and articles delivered to your email? No problem, unsubscribe here.
Close
Request Expert Reply
Confirm Cancel
User avatar
bibha
Joined: 14 Apr 2010
Last visit: 06 Jan 2011
Posts: 95
Own Kudos:
1,229
 [49]
Given Kudos: 1
Posts: 95
Kudos: 1,229
 [49]
3
Kudos
Add Kudos
46
Bookmarks
Bookmark this Post
Most Helpful Reply
User avatar
EMPOWERgmatRichC
User avatar
Major Poster
Joined: 19 Dec 2014
Last visit: 31 Dec 2023
Posts: 21,777
Own Kudos:
13,047
 [6]
Given Kudos: 450
Status:GMAT Assassin/Co-Founder
Affiliations: EMPOWERgmat
Location: United States (CA)
GMAT 1: 800 Q51 V49
GRE 1: Q170 V170
Expert
Expert reply
GMAT 1: 800 Q51 V49
GRE 1: Q170 V170
Posts: 21,777
Kudos: 13,047
 [6]
3
Kudos
Add Kudos
3
Bookmarks
Bookmark this Post
User avatar
ezhilkumarank
Joined: 24 Jun 2010
Last visit: 08 May 2014
Posts: 270
Own Kudos:
769
 [5]
Given Kudos: 50
Status:Time to step up the tempo
Location: Milky way
Concentration: International Business, Marketing
Schools:ISB, Tepper - CMU, Chicago Booth, LSB
Posts: 270
Kudos: 769
 [5]
4
Kudos
Add Kudos
1
Bookmarks
Bookmark this Post
General Discussion
User avatar
mainhoon
Joined: 18 Jul 2010
Last visit: 10 Oct 2013
Posts: 532
Own Kudos:
397
 [3]
Given Kudos: 15
Status:Apply - Last Chance
Affiliations: IIT, Purdue, PhD, TauBetaPi
Concentration: $ Finance $
Schools:Wharton, Sloan, Chicago, Haas
GPA: 4.0
WE 1: 8 years in Oil&Gas
Posts: 532
Kudos: 397
 [3]
3
Kudos
Add Kudos
Bookmarks
Bookmark this Post
If you mix 1:4 and 3:5 in equal amounts, the result is not 4/9 but 17/40 which should be 42.5%
avatar
uwezo
Joined: 29 May 2010
Last visit: 09 Sep 2010
Posts: 1
Own Kudos:
2
 [2]
Given Kudos: 1
Posts: 1
Kudos: 2
 [2]
2
Kudos
Add Kudos
Bookmarks
Bookmark this Post
bibha
If two different solutions of alcohol with a respective proportion of water to alcohol of 3:1 and 2:3 were combined, what is the concentration of alcohol in the new solution if the original solutions were mixed in equal amounts?
• 30.0%
• 36.6%
• 42.5%
• 44.4%
• 60.0%

This is how i did it:
propn of alcohol in first solution : 1:4
propn of alcohol in second solution: 3:5
so, propn of alcohol in the new solution = 4:9 = 44.4%

In this case you are adding fractions to generate a new total.
Common denominator of the to 2 fractions is 20 (1/4=5/20 and 3/5=12/20).
Combining the mixtures mean you will be adding the numerators and denominators separately yielding 17/40.

Then to get the percentage 40 x 2.5=100 17x2.5=42.5.

There may be a quicker way of getting to this.
User avatar
soumanag
Joined: 09 Jun 2010
Last visit: 19 Jul 2012
Posts: 80
Own Kudos:
366
 [2]
Given Kudos: 1
Posts: 80
Kudos: 366
 [2]
2
Kudos
Add Kudos
Bookmarks
Bookmark this Post
picking numbers:

let 20 l of each is mixed. [20 is divisible by both the proportions]
in solution 1 amount of alcohol = 20X(1/4) = 5 L
in solution 2 amount of alcohol = 20X(3/4)=12 L

total 17 L alcohol in 40 L of solution => (17/40)X100 = 42.5%
User avatar
gmatpapa
Joined: 31 Oct 2010
Last visit: 25 Aug 2018
Posts: 415
Own Kudos:
2,641
 [2]
Given Kudos: 75
Status:Up again.
Concentration: Strategy, Operations
GMAT 1: 740 Q49 V42
GMAT 2: 710 Q48 V40
GMAT 2: 710 Q48 V40
Posts: 415
Kudos: 2,641
 [2]
1
Kudos
Add Kudos
1
Bookmarks
Bookmark this Post
bibha
If two different solutions of alcohol with a respective proportion of water to alcohol of 3:1 and 2:3 were combined, what is the concentration of alcohol in the new solution if the original solutions were mixed in equal amounts?
• 30.0%
• 36.6%
• 42.5%
• 44.4%
• 60.0%

This is how i did it:
propn of alcohol in first solution : 1:4
propn of alcohol in second solution: 3:5
so, propn of alcohol in the new solution = 4:9 = 44.4%

I think this is an averages question.

%ge of alcohol in solution 1: \(\frac{1}{4}= 25%\)
%ge of alcohol in second solution= \(\frac{3}{5}= 60%\)

Since they are mixed in equal quantities, Average alcohol %= \(\frac{(60%+25%)}{2}= 42.5%\)
User avatar
fluke
User avatar
Retired Moderator
Joined: 20 Dec 2010
Last visit: 24 Oct 2013
Posts: 1,095
Own Kudos:
5,167
 [2]
Given Kudos: 376
Posts: 1,095
Kudos: 5,167
 [2]
1
Kudos
Add Kudos
1
Bookmarks
Bookmark this Post
1st solution
3:1::Water:Alcohol
Percent of alcohol in the 1st solution= 1/(3+1) = 1/4 = 0.25

2nd Solution
2:3::Water:Alcohol
Percent of alcohol in the 2nd solution = 3/(2+3)=3/5=0.6

Lets say we mix 1 liter from each of the two solutions and form a new solution.

Alcohol in the new solution from the first solution: 0.25 litres
Alcohol in the new solution from the second solution: 0.6 litres

Total alcohol in the new solution: 0.25+0.6 = 0.85 litres
Total weight of the new solution: 1+1=2 litres

Let x be the percent of alcohol in the new solution.

0.85 = 2 * x
x = 0.85/2 = 0.425 = 42.5%

Ans: "C"
User avatar
ccooley
User avatar
Manhattan Prep Instructor
Joined: 04 Dec 2015
Last visit: 06 Jun 2020
Posts: 931
Own Kudos:
Given Kudos: 115
GMAT 1: 790 Q51 V49
GRE 1: Q170 V170
Expert
Expert reply
GMAT 1: 790 Q51 V49
GRE 1: Q170 V170
Posts: 931
Kudos: 1,658
Kudos
Add Kudos
Bookmarks
Bookmark this Post
bibha
If two different solutions of alcohol with a respective proportion of water to alcohol of 3:1 and 2:3 were combined, what is the concentration of alcohol in the new solution if the original solutions were mixed in equal amounts?

A. 30.0%
B. 36.6%
C. 42.5%
D. 44.4%
E. 60.0%

This is how i did it:
propn of alcohol in first solution : 1:4
propn of alcohol in second solution: 3:5
so, propn of alcohol in the new solution = 4:9 = 44.4%

This is a lot easier if you just pick numbers! The problem itself only gives you ratios and percents, so you're free to pick any values you like.

You want the same amount of each solution, so come up with a quantity that will be easy to split into either of the ratios. The first ratio has four total parts, and the second ratio has five total parts, so an easy quantity to work with would be something that's divisible by both 4 and 5, such as 20 liters. Let's say that there are 20 liters of each solution.

Therefore, the first solution contains 20*(3/4) = 15 liters of water and 20*(1/4) = 5 liters of alcohol.

The second solution contains 20*(2/5) = 8 liters of water and 20*(3/5) = 12 liters of alcohol.

So, in total, there are 5+12 = 17 liters of alcohol. The total amount of the solution is 20 + 20 = 40 liters. So, the question is just: what percent is 17 out of 40?

17/40 = 170/400 = (170/4)/100 = 42.5/100 or 42.5%.
User avatar
sayan640
Joined: 29 Oct 2015
Last visit: 23 Apr 2026
Posts: 1,119
Own Kudos:
Given Kudos: 789
GMAT 1: 570 Q42 V28
Products:
GMAT 1: 570 Q42 V28
Posts: 1,119
Kudos: 861
Kudos
Add Kudos
Bookmarks
Bookmark this Post
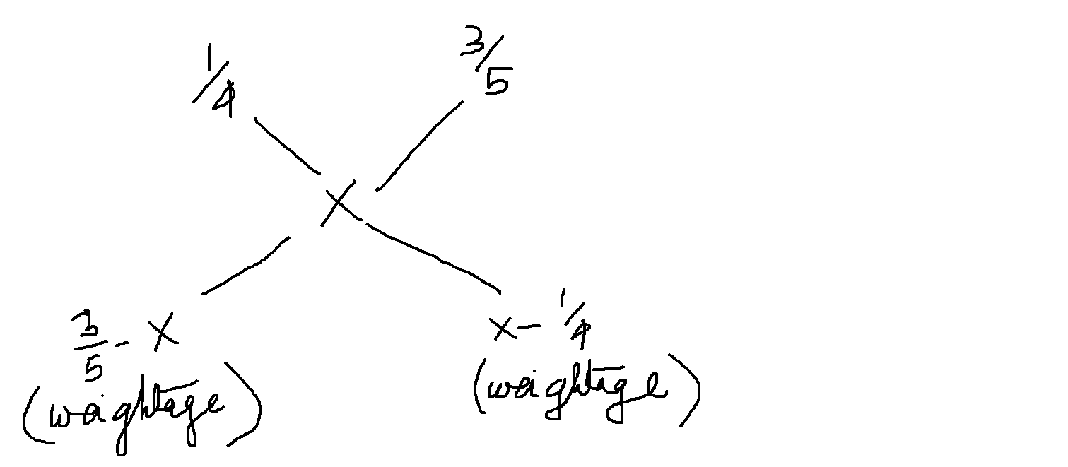
The problem can be solved either using the alligation or conventional way.  KarishmaB
egmat
Let X be the conc. of alocohol in the new solution. 
Find the alligation diagrams attached herewith.
Solving ,
x - 25 - 60 -x
x = 42.5%

OR

solving , 3/5 - x = x - 1/4
2*x = 17/20
x = 170/4 = 42.5%
bibha
If two different solutions of alcohol with a respective proportion of water to alcohol of 3:1 and 2:3 were combined, what is the concentration of alcohol in the new solution if the original solutions were mixed in equal amounts?

A. 30.0%
B. 36.6%
C. 42.5%
D. 44.4%
E. 60.0%

This is how i did it:
propn of alcohol in first solution : 1:4
propn of alcohol in second solution: 3:5
so, propn of alcohol in the new solution = 4:9 = 44.4%
­
Attachments

Alligation21st_2nd.png
Alligation21st_2nd.png [ 21.42 KiB | Viewed 2980 times ]

Alligation21st_1st.png
Alligation21st_1st.png [ 18.48 KiB | Viewed 2987 times ]

User avatar
sayan640
Joined: 29 Oct 2015
Last visit: 23 Apr 2026
Posts: 1,119
Own Kudos:
Given Kudos: 789
GMAT 1: 570 Q42 V28
Products:
GMAT 1: 570 Q42 V28
Posts: 1,119
Kudos: 861
Kudos
Add Kudos
Bookmarks
Bookmark this Post
The question can also be solved using conventional way.
Let, With x gm of first solution , y gm of second solution is mixed.

The conc. of alcohol in the new solution = (x/4 + 3*y / 5 ) / x + y = (5*x + 12*y) / 20 (x+y) = 17/40 * 100 = 42.5%
(since x and y are equal as both the solutions were mixed in equal amount ) = 42.5% Ans.
User avatar
bumpbot
User avatar
Non-Human User
Joined: 09 Sep 2013
Last visit: 04 Jan 2021
Posts: 38,964
Own Kudos:
Posts: 38,964
Kudos: 1,117
Kudos
Add Kudos
Bookmarks
Bookmark this Post
Automated notice from GMAT Club BumpBot:

A member just gave Kudos to this thread, showing it’s still useful. I’ve bumped it to the top so more people can benefit. Feel free to add your own questions or solutions.

This post was generated automatically.
Moderators:
Math Expert
109778 posts
Tuck School Moderator
853 posts