Last visit was: 20 Nov 2025, 06:05 It is currently 20 Nov 2025, 06:05
Close
GMAT Club Daily Prep
Thank you for using the timer - this advanced tool can estimate your performance and suggest more practice questions. We have subscribed you to Daily Prep Questions via email.

Customized
for You

we will pick new questions that match your level based on your Timer History

Track
Your Progress

every week, we’ll send you an estimated GMAT score based on your performance

Practice
Pays

we will pick new questions that match your level based on your Timer History
Not interested in getting valuable practice questions and articles delivered to your email? No problem, unsubscribe here.
Close
Request Expert Reply
Confirm Cancel
User avatar
Bunuel
User avatar
Math Expert
Joined: 02 Sep 2009
Last visit: 20 Nov 2025
Posts: 105,416
Own Kudos:
Given Kudos: 99,987
Products:
Expert
Expert reply
Active GMAT Club Expert! Tag them with @ followed by their username for a faster response.
Posts: 105,416
Kudos: 778,500
 [134]
7
Kudos
Add Kudos
127
Bookmarks
Bookmark this Post
Most Helpful Reply
User avatar
Bunuel
User avatar
Math Expert
Joined: 02 Sep 2009
Last visit: 20 Nov 2025
Posts: 105,416
Own Kudos:
Given Kudos: 99,987
Products:
Expert
Expert reply
Active GMAT Club Expert! Tag them with @ followed by their username for a faster response.
Posts: 105,416
Kudos: 778,500
 [28]
11
Kudos
Add Kudos
17
Bookmarks
Bookmark this Post
User avatar
BrushMyQuant
Joined: 05 Apr 2011
Last visit: 21 Oct 2025
Posts: 2,284
Own Kudos:
2,552
 [8]
Given Kudos: 100
Status:Tutor - BrushMyQuant
Location: India
Concentration: Finance, Marketing
Schools: XLRI (A)
GMAT 1: 700 Q51 V31
GPA: 3
WE:Information Technology (Computer Software)
Expert
Expert reply
Schools: XLRI (A)
GMAT 1: 700 Q51 V31
Posts: 2,284
Kudos: 2,552
 [8]
7
Kudos
Add Kudos
1
Bookmarks
Bookmark this Post
General Discussion
User avatar
gmatophobia
User avatar
Quant Chat Moderator
Joined: 22 Dec 2016
Last visit: 19 Nov 2025
Posts: 3,170
Own Kudos:
10,433
 [12]
Given Kudos: 1,861
Location: India
Concentration: Strategy, Leadership
Posts: 3,170
Kudos: 10,433
 [12]
6
Kudos
Add Kudos
6
Bookmarks
Bookmark this Post
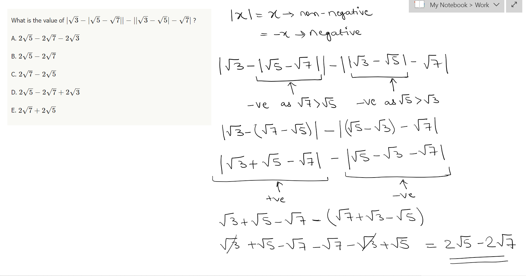
Concept Tested

|x| = x ; x is non-negative

|x| = -x ; x is negative

Question

\(|\sqrt 3 - |\sqrt 5 - \sqrt 7||- ||\sqrt 3 - \sqrt 5|- \sqrt 7|\)

Solution

\(\sqrt 5 - \sqrt 7\) is negative as \(\sqrt 5 < \sqrt 7\)

\(\sqrt 3 - \sqrt 5\) is negative as \(\sqrt 3 < \sqrt 5\)

So, when we open the mod, the value will be - (\(\sqrt 5 - \sqrt 7\)) i.e. \(\sqrt 7 - \sqrt 5\)

Similarly for \(\sqrt 3 - \sqrt 5\), the resultant value will be \(\sqrt 5 - \sqrt 3\)

\(|\sqrt 3 - (\sqrt 7 - \sqrt 5)|- |(\sqrt 5 - \sqrt 3)- \sqrt 7|\)

\(|\sqrt 3 - \sqrt 7 + \sqrt 5|- |\sqrt 5 - \sqrt 3 - \sqrt 7|\)

The first term is positive and the second term is negative, hence once we open the modulus the resultant expression becomes

\((\sqrt 3 - \sqrt 7 + \sqrt 5) - (-\sqrt 5 + \sqrt 3 + \sqrt 7)) \)

\(\sqrt 3 - \sqrt 7 + \sqrt 5 + \sqrt 5 - \sqrt 3 - \sqrt 7\)

\(- 2\sqrt 7 + 2\sqrt 5 \)

= \(2\sqrt 5 - 2\sqrt 7\)

IMO Option B
Attachments

Screenshot 2022-10-02 103402.png
Screenshot 2022-10-02 103402.png [ 147.28 KiB | Viewed 15627 times ]

User avatar
Barfi
Joined: 17 Oct 2022
Last visit: 11 Dec 2022
Posts: 16
Own Kudos:
Given Kudos: 169
Posts: 16
Kudos: 3
Kudos
Add Kudos
Bookmarks
Bookmark this Post
When a term is negative, why are the signs of its values inside the bracket swapped while opening the modulus?

For instance:

3√−7√+5√|−|5√−3√−7√||3−7+5|−|5−3−7|

The first term is positive and the second term is negative, hence once we open the modulus the resultant expression becomes

(3√−7√+5√)−(−5√+3√+7√))(3−7+5)−(−5+3+7))
User avatar
chiplesschap
Joined: 12 Jun 2023
Last visit: 25 Nov 2024
Posts: 50
Own Kudos:
21
 [1]
Given Kudos: 43
Posts: 50
Kudos: 21
 [1]
1
Kudos
Add Kudos
Bookmarks
Bookmark this Post
Did it in a crude way.
sqrt (3) = 1.73, sqrt (5) ~ 2.2, sqrt (7) : ~2.6

first expression becomes : | 1.73 - |-0.4|| = |1.73 - 0.4| = 1.33

second expression becomes : ||1.73 - 2.2|| - 2.6| = ||-0.5|-2.6|| = |0.5-2.6| = |-2.1| = 2.1

therefore result should be a negative value i.e. ~-0.78

Only A & B work. B is closest -> (2*2.2-2*2.6) = ~-0.8
User avatar
Piqueee
Joined: 06 Jan 2024
Last visit: 08 Jun 2025
Posts: 12
Own Kudos:
Given Kudos: 64
Posts: 12
Kudos: 3
Kudos
Add Kudos
Bookmarks
Bookmark this Post
This question actually came on the official GMAT for me. I did the 'crude' way shown above and I got it right. During the exam, you are limited on time so got to find creative ways to solve. It worked out lol!
User avatar
bumpbot
User avatar
Non-Human User
Joined: 09 Sep 2013
Last visit: 04 Jan 2021
Posts: 38,599
Own Kudos:
Posts: 38,599
Kudos: 1,079
Kudos
Add Kudos
Bookmarks
Bookmark this Post
Hello from the GMAT Club BumpBot!

Thanks to another GMAT Club member, I have just discovered this valuable topic, yet it had no discussion for over a year. I am now bumping it up - doing my job. I think you may find it valuable (esp those replies with Kudos).

Want to see all other topics I dig out? Follow me (click follow button on profile). You will receive a summary of all topics I bump in your profile area as well as via email.
Moderators:
Math Expert
105416 posts
Tuck School Moderator
805 posts