Thank you for using the timer - this advanced tool can estimate your performance and suggest more practice questions. We have subscribed you to Daily Prep Questions via email.
Customized for You
we will pick new questions that match your level based on your Timer History
Track Your Progress
every week, we’ll send you an estimated GMAT score based on your performance
Practice Pays
we will pick new questions that match your level based on your Timer History
Not interested in getting valuable practice questions and articles delivered to your email? No problem, unsubscribe here.
Thank you for using the timer!
We noticed you are actually not timing your practice. Click the START button first next time you use the timer.
There are many benefits to timing your practice, including:
The Target Test Prep course represents a quantum leap forward in GMAT preparation, a radical reinterpretation of the way that students should study. Try before you buy with a 5-day, full-access trial of the course for FREE!
Prefer video-based learning? The Target Test Prep OnDemand course is a one-of-a-kind video masterclass featuring 400 hours of lecture-style teaching by Scott Woodbury-Stewart, founder of Target Test Prep and one of the most accomplished GMAT instructors
Hi , so some algebra questions require that we divide by a variable . When can we do that safely ? my concern is that the value of the variable could be 0 ;we cannot divide by 0 . What if we are NOT told that the value is not 0 ? Can we still divide , assuming that it is not 0 ? here are an example that requires to divide by a variable , Source : Manhatten
Archived Topic
Hi there,
This topic has been closed and archived due to inactivity or violation of community quality standards. No more replies are possible here.
Still interested in this question? Check out the "Best Topics" block below for a better discussion on this exact question, as well as several more related questions.
Hi , so some algebra questions require that we divide by a variable . When can we do that safely ? my concern is that the value of the variable could be 0 ;we cannot divide by 0 . What if we are NOT told that the value is not 0 ? Can we still divide , assuming that it is not 0 ? here are an example that requires to divide by a variable , Source : Manhatten
Show more
Never reduce equation by a variable (or expression with variable), if you are not certain that the variable (or expression with the variable) doesn't equal to zero.
For the question at hand though neither x nor y can be 0 for two reasons:
We are given that \(xy^2 = -96\). If x or y were 0, then \(xy^2\) would be 0, not -96.
We are also given that \(\frac{1}{xy} = \frac{1}{24}\). If x or y were 0, then \(\frac{1}{xy}\) would be undefined and could not equal to 1/24.
SOLUTION:
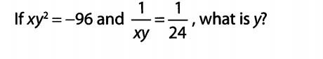
If \(xy^2 = -96\) and \(\frac{1}{xy} = \frac{1}{24}\), what is y?
Multiply those two equations: \(xy^2*\frac{1}{xy} = -96*\frac{1}{24}\):
We are also given that 1xy=1241xy=124. If x or y were 0, then 1xy1xy would be undefined and could not equal to 1/24.
Show more
so if we have a fraction , a variable in the denominator , we can assume safely that the denominator will NOT equal to 0 ? because then the fraction will be undefined For example : (x-2)/ x^2-4 = x-2 / (x+2)(x-2) now at this point , can we divide by x-2 ? ( neither we are told clearly that x cannot equal to 2 , nor we can conclude that info from the question as you did above)
Archived Topic
Hi there,
This topic has been closed and archived due to inactivity or violation of community quality standards. No more replies are possible here.
Still interested in this question? Check out the "Best Topics" block above for a better discussion on this exact question, as well as several more related questions.