Last visit was: 23 Apr 2026, 17:18 It is currently 23 Apr 2026, 17:18
Close
GMAT Club Daily Prep
Thank you for using the timer - this advanced tool can estimate your performance and suggest more practice questions. We have subscribed you to Daily Prep Questions via email.

Customized
for You

we will pick new questions that match your level based on your Timer History

Track
Your Progress

every week, we’ll send you an estimated GMAT score based on your performance

Practice
Pays

we will pick new questions that match your level based on your Timer History
Not interested in getting valuable practice questions and articles delivered to your email? No problem, unsubscribe here.
Close
Request Expert Reply
Confirm Cancel
655-705 (Hard)|   Geometry|               
User avatar
Bunuel
User avatar
Math Expert
Joined: 02 Sep 2009
Last visit: 23 Apr 2026
Posts: 109,785
Own Kudos:
Given Kudos: 105,853
Products:
Expert
Expert reply
Active GMAT Club Expert! Tag them with @ followed by their username for a faster response.
Posts: 109,785
Kudos: 810,870
 [169]
8
Kudos
Add Kudos
161
Bookmarks
Bookmark this Post
Most Helpful Reply
User avatar
ShukhratJon
Joined: 25 Jul 2018
Last visit: 10 Dec 2022
Posts: 51
Own Kudos:
417
 [42]
Given Kudos: 257
Location: Uzbekistan
Concentration: Finance, Organizational Behavior
GRE 1: Q168 V167
GPA: 3.85
WE:Project Management (Finance: Investment Banking)
GRE 1: Q168 V167
Posts: 51
Kudos: 417
 [42]
30
Kudos
Add Kudos
12
Bookmarks
Bookmark this Post
User avatar
EMPOWERgmatRichC
User avatar
Major Poster
Joined: 19 Dec 2014
Last visit: 31 Dec 2023
Posts: 21,777
Own Kudos:
13,047
 [21]
Given Kudos: 450
Status:GMAT Assassin/Co-Founder
Affiliations: EMPOWERgmat
Location: United States (CA)
GMAT 1: 800 Q51 V49
GRE 1: Q170 V170
Expert
Expert reply
GMAT 1: 800 Q51 V49
GRE 1: Q170 V170
Posts: 21,777
Kudos: 13,047
 [21]
11
Kudos
Add Kudos
10
Bookmarks
Bookmark this Post
General Discussion
User avatar
Archit3110
User avatar
Major Poster
Joined: 18 Aug 2017
Last visit: 23 Apr 2026
Posts: 8,628
Own Kudos:
5,190
 [4]
Given Kudos: 243
Status:You learn more from failure than from success.
Location: India
Concentration: Sustainability, Marketing
GMAT Focus 1: 545 Q79 V79 DI73
GMAT Focus 2: 645 Q83 V82 DI81
GPA: 4
WE:Marketing (Energy)
Products:
GMAT Focus 2: 645 Q83 V82 DI81
Posts: 8,628
Kudos: 5,190
 [4]
3
Kudos
Add Kudos
1
Bookmarks
Bookmark this Post
Bunuel
A rectangular solid has length, width, and height of L cm, W cm, and H cm, respectively. If these dimensions are increased by x%, y%, and z%, respectively, what is the percentage increase in the total surface area of the solid?

(1) L, W, and H are in the ratios of 5:3:4.
(2) x = 5, y = 10, z = 20

DS47651.01
OG2020 NEW QUESTION

TSA ; 2(lw+wh+lh)
#1
LWH given but % variation is missing; insufficient
#2
x = 5, y = 10, z = 20
dimensions not given
insufficeint
from 1 & 2
we can determine % increase for l,w,h
sufficient
IMO C
User avatar
ZoltanBP
Joined: 14 Apr 2017
Last visit: 23 Apr 2026
Posts: 79
Own Kudos:
1,008
 [7]
Given Kudos: 567
Location: Hungary
GMAT 1: 760 Q50 V42
WE:Education (Education)
GMAT 1: 760 Q50 V42
Posts: 79
Kudos: 1,008
 [7]
4
Kudos
Add Kudos
3
Bookmarks
Bookmark this Post
Bunuel
A rectangular solid has length, width, and height of L cm, W cm, and H cm, respectively. If these dimensions are increased by x%, y%, and z%, respectively, what is the percentage increase in the total surface area of the solid?

(1) L, W, and H are in the ratios of 5:3:4.
(2) x = 5, y = 10, z = 20

DS47651.01
OG2020 NEW QUESTION

\(L\), \(W\), and \(H\) are the dimensions of a rectangular solid, in cm. The original question: \(\Delta SA\%=?\)

1) We know the ratio of the dimensions of this rectangular solid, but no information is given about the actual percent increases of its dimensions. Thus, we can't get a unique value to answer the original question. \(\implies\) Insufficient

2) We know the actual percent increases of the dimensions of this rectangular solid. To determine the percent increase of its surface area, we try to determine the growth factor for its surface area.

\(\frac{2(1.05\cdot1.1LW+1.05\cdot1.2LH+1.1\cdot1.2WH)}{2(LW+LH+WH)}=\)

\(=\frac{1.05\cdot1.1+1.05\cdot1.2\frac{H}{W}+1.1\cdot1.2\frac{H}{L}}{1+\frac{H}{W}+\frac{H}{L}}\)

Clearly, the above growth factor depends on the ratio of the dimensions, about which we don't have any information. Thus, we can't get a unique value to answer the original question. \(\implies\) Insufficient

1&2) We have the information to determine the percent increase of the surface area. Thus, we could get a unique value to answer the original question. \(\implies\) Sufficient

Answer: C
User avatar
EgmatQuantExpert
User avatar
e-GMAT Representative
Joined: 04 Jan 2015
Last visit: 02 Apr 2024
Posts: 3,657
Own Kudos:
20,872
 [1]
Given Kudos: 165
Expert
Expert reply
Posts: 3,657
Kudos: 20,872
 [1]
1
Kudos
Add Kudos
Bookmarks
Bookmark this Post

Solution



Steps 1 & 2: Understand Question and Draw Inferences
In this question, we are given
    • A rectangular solid has length, width, and height of L cm, W cm, and H cm, respectively.

We need to determine
    • If the length, width, and height are increased by x%, y% and z% respectively, then the corresponding percentage increase in the total surface area of the solid.

The total surface area of the rectangular solid, before increase = 2(LW + LH + WH)
To increase the percentage of the total surface area, we need to know
    • The values of L, W, H, before increase (or the ratio of L, W, H)
    • The values of x, y, and z.

With this understanding, let us now analyse the individual statements.

Step 3: Analyse Statement 1
As per the information given in statement 1, L, W, and H are in the ratios of 5: 3: 4.
    • However, from this statement, we cannot determine the values of x, y, and z.

Hence, statement 1 is not sufficient to answer the question.

Step 4: Analyse Statement 2
As per the information given in statement 2, x = 5, y = 10, z = 20.
    • However, from this statement, we cannot determine the values of L, W, and H (or their ratios).

Hence, statement 2 is not sufficient to answer the question.

Step 5: Combine Both Statements Together (If Needed)
Combining information from both statements, we get
    • L: W: H = 5: 3: 4 and x = 5, y = 10, z = 20.

As we have all the necessary information to calculate the percentage increase, we can say the correct answer is option C.

avatar
gmatjindi
Joined: 18 May 2019
Last visit: 23 May 2019
Posts: 1
Given Kudos: 37
Posts: 1
Kudos: 0
Kudos
Add Kudos
Bookmarks
Bookmark this Post
again this problem is abit tough to tackle it in 2 mins
User avatar
EMPOWERgmatRichC
User avatar
Major Poster
Joined: 19 Dec 2014
Last visit: 31 Dec 2023
Posts: 21,777
Own Kudos:
13,047
 [5]
Given Kudos: 450
Status:GMAT Assassin/Co-Founder
Affiliations: EMPOWERgmat
Location: United States (CA)
GMAT 1: 800 Q51 V49
GRE 1: Q170 V170
Expert
Expert reply
GMAT 1: 800 Q51 V49
GRE 1: Q170 V170
Posts: 21,777
Kudos: 13,047
 [5]
4
Kudos
Add Kudos
1
Bookmarks
Bookmark this Post
Hi gmatjindi,

Your goal when dealing with any individual Quant question should NOT be to try to answer it in under 2 minutes (that is bad advice that will likely cost you some points on Test Day) - a number of the questions that you will face are designed to take up to 3 minutes to solve (and that's if you know what you are doing). Your actual goal is to be 'efficient' with your work, meaning that you don't waste time and you choose the most efficient method for answering that question that's in front of you. Most GMAT questions are actually written so that you can approach them in more than one way - so as you continue to study, you might consider reviewing more than just the questions that you got wrong. There might be much faster ways to deal with questions that you have correctly answered (and you have to learn and practice those methods if you want to properly take advantage of them on Test Day).

GMAT assassins aren't born, they're made,
Rich
avatar
cchen679
avatar
Current Student
Joined: 14 Jun 2017
Last visit: 20 Jul 2023
Posts: 14
Own Kudos:
39
 [1]
Given Kudos: 193
Location: United States (MD)
Concentration: Technology, General Management
GMAT 1: 730 Q49 V40
GPA: 2.72
WE:General Management (Telecommunications)
GMAT 1: 730 Q49 V40
Posts: 14
Kudos: 39
 [1]
Kudos
Add Kudos
1
Bookmarks
Bookmark this Post
Can someone explain why not knowing the L,W,H in statement 2 is insufficient? It seems like as long as you know that L,W,H is being increased by the respective %, the overall increase will always be the same, regardless of the actual dimensions.

ie. if L,W,H = 1,1,1 or 2,3,5, and we know the % increase is 5%,10%,20%, the resulting increase from original to new will always be the same.

Can someone show it with actual examples? I figure I must be performing the question wrong.
User avatar
EMPOWERgmatRichC
User avatar
Major Poster
Joined: 19 Dec 2014
Last visit: 31 Dec 2023
Posts: 21,777
Own Kudos:
13,047
 [1]
Given Kudos: 450
Status:GMAT Assassin/Co-Founder
Affiliations: EMPOWERgmat
Location: United States (CA)
GMAT 1: 800 Q51 V49
GRE 1: Q170 V170
Expert
Expert reply
GMAT 1: 800 Q51 V49
GRE 1: Q170 V170
Posts: 21,777
Kudos: 13,047
 [1]
Kudos
Add Kudos
1
Bookmarks
Bookmark this Post
Hi cchen679,

Fact 2 doesn't define any of the original dimensions - and increasing different measurements by 5%, 10% or 20% will lead to different overall increases in overall surface areas (try a couple of different examples and you'll see).

GMAT assassins aren't born, they're made,
Rich
avatar
cchen679
avatar
Current Student
Joined: 14 Jun 2017
Last visit: 20 Jul 2023
Posts: 14
Own Kudos:
Given Kudos: 193
Location: United States (MD)
Concentration: Technology, General Management
GMAT 1: 730 Q49 V40
GPA: 2.72
WE:General Management (Telecommunications)
GMAT 1: 730 Q49 V40
Posts: 14
Kudos: 39
Kudos
Add Kudos
Bookmarks
Bookmark this Post
EMPOWERgmatRichC
Hi cchen679,

Fact 2 doesn't define any of the original dimensions - and increasing different measurements by 5%, 10% or 20% will lead to different overall increases in overall surface areas (try a couple of different examples and you'll see).

GMAT assassins aren't born, they're made,
Rich

Thanks for the quick reply, but this is what confuses me. When I try different examples, I'm getting the same results

Example1:
L= 2
W= 3
H= 4
original surface area = 24(2*3*4)

new L,W,H after increasing by %
L= 2.1
W= 3.3
H= 4.8
new surface area = 33.264(2.1*3.3*4.8)

old SA/ new SA
24/33.264 = .7215

Example2:
L= 3
W= 5
H= 2
original surface area = 30(3*5*2)

new L,W,H after increasing by %
L= 3.15
W= 5.5
H= 2.4
new surface area = 41.58(3.15*5.5*2.4)

old SA/ new SA
30/41.58 = .7215
User avatar
EMPOWERgmatRichC
User avatar
Major Poster
Joined: 19 Dec 2014
Last visit: 31 Dec 2023
Posts: 21,777
Own Kudos:
13,047
 [1]
Given Kudos: 450
Status:GMAT Assassin/Co-Founder
Affiliations: EMPOWERgmat
Location: United States (CA)
GMAT 1: 800 Q51 V49
GRE 1: Q170 V170
Expert
Expert reply
GMAT 1: 800 Q51 V49
GRE 1: Q170 V170
Posts: 21,777
Kudos: 13,047
 [1]
1
Kudos
Add Kudos
Bookmarks
Bookmark this Post
Hi cchen679,

In your examples, you're calculating the volume of the solid - you're supposed to be calculating the SURFACE AREA though.

Surface Area = (2)(L)(W) + (2)(L)(H) + (2)(W)(H)

You'll find that the answer varies when you change the initial Surface Area.

GMAT assassins aren't born, they're made,
Rich
User avatar
BijayKru
Joined: 24 Sep 2018
Last visit: 04 Dec 2025
Posts: 60
Own Kudos:
Given Kudos: 27
Location: India
Concentration: Entrepreneurship, Marketing
GMAT 1: 700 Q50 V37
GMAT 1: 700 Q50 V37
Posts: 60
Kudos: 24
Kudos
Add Kudos
Bookmarks
Bookmark this Post
A rectangular solid has length, width, and height of L cm, W cm, and H cm, respectively. If these dimensions are increased by x%, y%, and z%, respectively, what is the percentage increase in the total surface area of the solid?

(1) L, W, and H are in the ratios of 5:3:4.
(2) x = 5, y = 10, z = 20

In this question, I am sure any we are eliminating A and B. Could you please help me with opt C ( combining both 1 and 2 ). How it is sufficient?
User avatar
CrackverbalGMAT
User avatar
Major Poster
Joined: 03 Oct 2013
Last visit: 22 Apr 2026
Posts: 4,846
Own Kudos:
9,181
 [3]
Given Kudos: 226
Affiliations: CrackVerbal
Location: India
Expert
Expert reply
Posts: 4,846
Kudos: 9,181
 [3]
3
Kudos
Add Kudos
Bookmarks
Bookmark this Post
BijayKru
A rectangular solid has length, width, and height of L cm, W cm, and H cm, respectively. If these dimensions are increased by x%, y%, and z%, respectively, what is the percentage increase in the total surface area of the solid?

(1) L, W, and H are in the ratios of 5:3:4.
(2) x = 5, y = 10, z = 20

In this question, I am sure any we are eliminating A and B. Could you please help me with opt C ( combining both 1 and 2 ). How it is sufficient?

Hello Bijaykru,
For a moment, let’s forget that this is a question on calculating volume.

Let’s assume that we are discussing different sources of YOUR income.
Let’s say you have 3 sources of income – Salary, income from rent of a house that you have let out AND income from interest on a Deposit you have in a bank. So, effectively, there are three variables that have an effect on your total income, isn’t it?

Let’s assume two cases – your total income 5 years ago and your total income NOW. Clearly, most of these variables would have changed – your salary would have increased, you may have increased the rent of your tenants and the bank might be giving you a higher rate of interest now compared to 5 years ago.

One fine day, your buddy suddenly asks “ Hey Bijaykru, what’s the percentage increase in your total income mate, compared to 5 years ago?”. You do not want to answer this question directly, so you tell him “Look here, I’ll give you some information; based on that, you can calculate the percentage increase yourself”.

You give him information about your salary, rent and interest, 5 years ago in statement I. Can he calculate the percentage increase?
You give him information about how much your salary, rent and interest have increased in statement II. For example, you say “ Hey, my salary increased by 5%, rent by 10% and interest by 20%”. Will he be able to calculate the percentage increase?

Your answers to these questions will tell you why the correct answer is C on the original question. Do let me know if my analogy helped you understand this better.

Hope this helps!
avatar
gauranggarg
Joined: 11 Aug 2016
Last visit: 07 Nov 2021
Posts: 23
Own Kudos:
8
 [1]
Given Kudos: 32
Posts: 23
Kudos: 8
 [1]
1
Kudos
Add Kudos
Bookmarks
Bookmark this Post
I have a quick question. In case the question focused on asking the difference between the new surface area and the original surface area (the actual number and not the percentage increase). Would the answer in that case be E, since we do not know the constant of the ratio?

Posted from my mobile device
User avatar
EMPOWERgmatRichC
User avatar
Major Poster
Joined: 19 Dec 2014
Last visit: 31 Dec 2023
Posts: 21,777
Own Kudos:
13,047
 [1]
Given Kudos: 450
Status:GMAT Assassin/Co-Founder
Affiliations: EMPOWERgmat
Location: United States (CA)
GMAT 1: 800 Q51 V49
GRE 1: Q170 V170
Expert
Expert reply
GMAT 1: 800 Q51 V49
GRE 1: Q170 V170
Posts: 21,777
Kudos: 13,047
 [1]
1
Kudos
Add Kudos
Bookmarks
Bookmark this Post
Hi gauranggarg,

Assuming that everything else in the prompt remained the same - and the question was changed to ask "what is the difference between the new surface area and the original surface area of the solid?" - then the answer would be E (since we have no actual measurements to work with).

It's worth noting that NOTHING about a GMAT question is ever "random" - the wording, numbers, etc. are all specifically chosen for a reason: to 'test' you on your understanding of certain concepts (and in many cases, whether you are able to take advantage of a built-in 'shortcut' or not). With this prompt, the question asks about 'percent increase' to see how well you understand how ratios impact that type of work. A question on the GMAT that asked for the actual difference between two surface areas would likely give you different information to work with.

GMAT assassins aren't born, they're made,
Rich
avatar
Kristians4
Joined: 01 Jun 2020
Last visit: 07 Aug 2020
Posts: 2
Given Kudos: 74
Posts: 2
Kudos: 0
Kudos
Add Kudos
Bookmarks
Bookmark this Post
CrackVerbalGMAT
BijayKru
A rectangular solid has length, width, and height of L cm, W cm, and H cm, respectively. If these dimensions are increased by x%, y%, and z%, respectively, what is the percentage increase in the total surface area of the solid?

(1) L, W, and H are in the ratios of 5:3:4.
(2) x = 5, y = 10, z = 20

In this question, I am sure any we are eliminating A and B. Could you please help me with opt C ( combining both 1 and 2 ). How it is sufficient?

Hello Bijaykru,
For a moment, let’s forget that this is a question on calculating volume.

Let’s assume that we are discussing different sources of YOUR income.
Let’s say you have 3 sources of income – Salary, income from rent of a house that you have let out AND income from interest on a Deposit you have in a bank. So, effectively, there are three variables that have an effect on your total income, isn’t it?

Let’s assume two cases – your total income 5 years ago and your total income NOW. Clearly, most of these variables would have changed – your salary would have increased, you may have increased the rent of your tenants and the bank might be giving you a higher rate of interest now compared to 5 years ago.

One fine day, your buddy suddenly asks “ Hey Bijaykru, what’s the percentage increase in your total income mate, compared to 5 years ago?”. You do not want to answer this question directly, so you tell him “Look here, I’ll give you some information; based on that, you can calculate the percentage increase yourself”.

You give him information about your salary, rent and interest, 5 years ago in statement I. Can he calculate the percentage increase?
You give him information about how much your salary, rent and interest have increased in statement II. For example, you say “ Hey, my salary increased by 5%, rent by 10% and interest by 20%”. Will he be able to calculate the percentage increase?

Your answers to these questions will tell you why the correct answer is C on the original question. Do let me know if my analogy helped you understand this better.

Hope this helps!

Great Analogy! Thank you!

Could you tell me why, if the question was asking about Volume, knowing only x,y, and z would be enough?

I ended up choosing B.
User avatar
suminha
Joined: 03 Feb 2020
Last visit: 02 Jan 2025
Posts: 106
Own Kudos:
492
 [4]
Given Kudos: 242
Location: Korea, Republic of
Posts: 106
Kudos: 492
 [4]
4
Kudos
Add Kudos
Bookmarks
Bookmark this Post
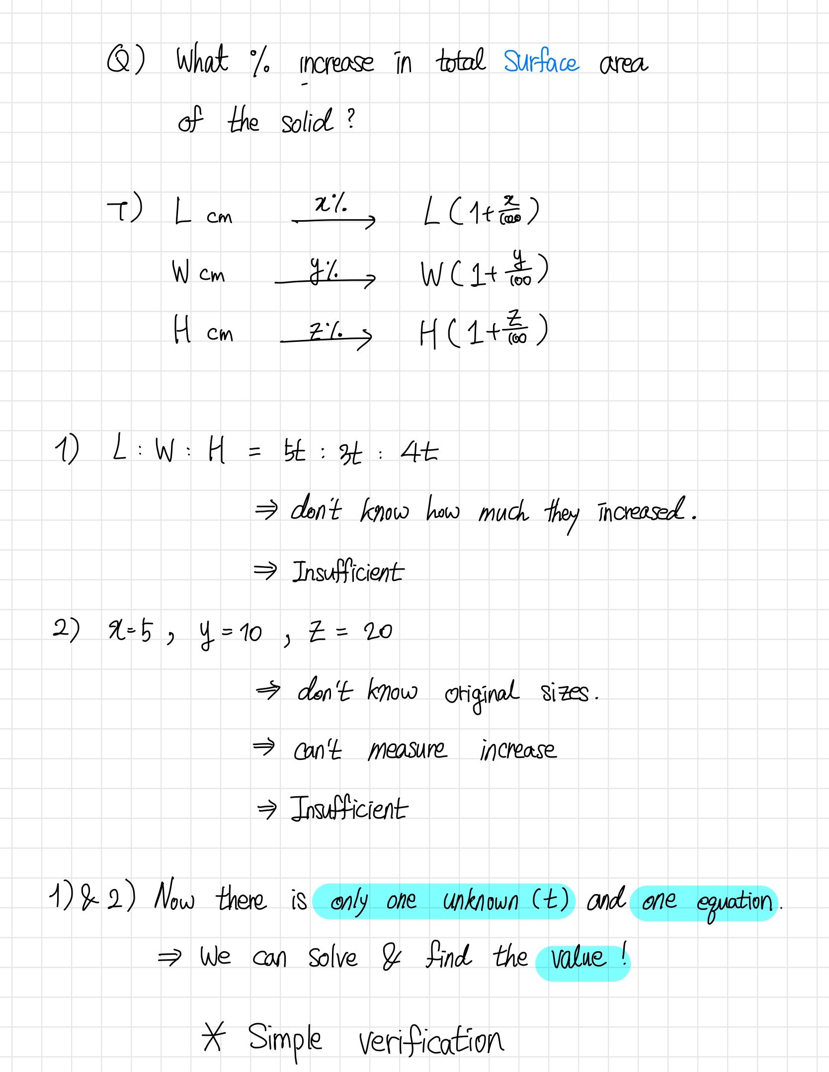
Hello Gmaters !

Can you help me please?

I attached 2 notes, and they refer my process of thinking.

However, I have a doubt about 1)&2) part.. Can I just directly judge the answer in that way without the verification?

Thank you in advance!! :please:
Attachments

-218.jpg
-218.jpg [ 452.65 KiB | Viewed 40754 times ]

-219.jpg
-219.jpg [ 421.81 KiB | Viewed 40714 times ]

User avatar
unraveled
Joined: 07 Mar 2019
Last visit: 10 Apr 2025
Posts: 2,706
Own Kudos:
2,329
 [1]
Given Kudos: 763
Location: India
WE:Sales (Energy)
Posts: 2,706
Kudos: 2,329
 [1]
1
Kudos
Add Kudos
Bookmarks
Bookmark this Post
suminha
Hello Gmaters !

Can you help me please?

I attached 2 notes, and they refer my process of thinking.

However, I have a doubt about 1)&2) part.. Can I just directly judge the answer in that way without the verification?

Thank you in advance!! :please:
There's no issue with your thought process. Just know that we are dealing in ratios and we are required to find out percentage which is another way of writing ratios.
So, basically we need not to have any specific value of any of the sides. This is what you have nicely shown in your work. :thumbsup:
avatar
Ryanh7788
Joined: 30 Oct 2020
Last visit: 20 Mar 2023
Posts: 5
Own Kudos:
12
 [1]
Given Kudos: 77
Posts: 5
Kudos: 12
 [1]
1
Kudos
Add Kudos
Bookmarks
Bookmark this Post
Can someone explain why the ratio part 1 is even needed? to solve for Part 2?

Even if you use L = X, W = Y, H = Z
Does it matter?

i.e. Original SA: 2(xy + xz + yz)
example increase for each length, width height = 150%

2[(1.5x)(1.5y) + (1.5x)(1.5z) + (1.5y)(1.5z)] - 2xy + 2xz + 2yz
____________________________________________________

2xy + 2xz + 2yz


= Reduce:

2.5 (xy + xz + yz)
_______________
2 (xy + xz + yz)

Answer: 2.5/2 = 5/4 = 1.25 = 125% increase


I still don't understand
 1   2   
Moderators:
Math Expert
109785 posts
498 posts
212 posts