Last visit was: 01 May 2026, 18:41 It is currently 01 May 2026, 18:41
Close
GMAT Club Daily Prep
Thank you for using the timer - this advanced tool can estimate your performance and suggest more practice questions. We have subscribed you to Daily Prep Questions via email.

Customized
for You

we will pick new questions that match your level based on your Timer History

Track
Your Progress

every week, we’ll send you an estimated GMAT score based on your performance

Practice
Pays

we will pick new questions that match your level based on your Timer History
Not interested in getting valuable practice questions and articles delivered to your email? No problem, unsubscribe here.
Close
Request Expert Reply
Confirm Cancel
User avatar
Russ19
Joined: 29 Oct 2019
Last visit: 18 Mar 2026
Posts: 1,339
Own Kudos:
1,990
 [4]
Given Kudos: 582
Posts: 1,339
Kudos: 1,990
 [4]
1
Kudos
Add Kudos
3
Bookmarks
Bookmark this Post
Most Helpful Reply
User avatar
chetan2u
User avatar
GMAT Expert
Joined: 02 Aug 2009
Last visit: 01 May 2026
Posts: 11,235
Own Kudos:
45,063
 [4]
Given Kudos: 335
Status:Math and DI Expert
Location: India
Concentration: Human Resources, General Management
GMAT Focus 1: 735 Q90 V89 DI81
Products:
Expert
Expert reply
Active GMAT Club Expert! Tag them with @ followed by their username for a faster response.
GMAT Focus 1: 735 Q90 V89 DI81
Posts: 11,235
Kudos: 45,063
 [4]
3
Kudos
Add Kudos
1
Bookmarks
Bookmark this Post
General Discussion
User avatar
Suhasi
Joined: 14 Sep 2021
Last visit: 12 Jun 2023
Posts: 14
Own Kudos:
Given Kudos: 89
Location: India
Posts: 14
Kudos: 8
Kudos
Add Kudos
Bookmarks
Bookmark this Post
User avatar
Showmeyaa
Joined: 24 Jun 2019
Last visit: 08 Sep 2023
Posts: 427
Own Kudos:
528
 [4]
Given Kudos: 117
Location: India
Concentration: Marketing, Strategy
Products:
Posts: 427
Kudos: 528
 [4]
4
Kudos
Add Kudos
Bookmarks
Bookmark this Post
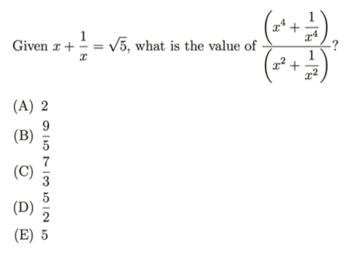
sjuniv32
Attachment:
new algebra.png

IMO, (C)!

User avatar
bumpbot
User avatar
Non-Human User
Joined: 09 Sep 2013
Last visit: 04 Jan 2021
Posts: 39,014
Own Kudos:
Posts: 39,014
Kudos: 1,122
Kudos
Add Kudos
Bookmarks
Bookmark this Post
Automated notice from GMAT Club BumpBot:

A member just gave Kudos to this thread, showing it’s still useful. I’ve bumped it to the top so more people can benefit. Feel free to add your own questions or solutions.

This post was generated automatically.
Moderators:
Math Expert
110001 posts
Tuck School Moderator
852 posts