Last visit was: 29 Apr 2026, 12:59 It is currently 29 Apr 2026, 12:59
Close
GMAT Club Daily Prep
Thank you for using the timer - this advanced tool can estimate your performance and suggest more practice questions. We have subscribed you to Daily Prep Questions via email.

Customized
for You

we will pick new questions that match your level based on your Timer History

Track
Your Progress

every week, we’ll send you an estimated GMAT score based on your performance

Practice
Pays

we will pick new questions that match your level based on your Timer History
Not interested in getting valuable practice questions and articles delivered to your email? No problem, unsubscribe here.
Close
Request Expert Reply
Confirm Cancel
User avatar
Bunuel
User avatar
Math Expert
Joined: 02 Sep 2009
Last visit: 29 Apr 2026
Posts: 109,975
Own Kudos:
811,974
 [4]
Given Kudos: 105,948
Products:
Expert
Expert reply
Active GMAT Club Expert! Tag them with @ followed by their username for a faster response.
Posts: 109,975
Kudos: 811,974
 [4]
Kudos
Add Kudos
4
Bookmarks
Bookmark this Post
Most Helpful Reply
User avatar
Bunuel
User avatar
Math Expert
Joined: 02 Sep 2009
Last visit: 29 Apr 2026
Posts: 109,975
Own Kudos:
Given Kudos: 105,948
Products:
Expert
Expert reply
Active GMAT Club Expert! Tag them with @ followed by their username for a faster response.
Posts: 109,975
Kudos: 811,974
Kudos
Add Kudos
Bookmarks
Bookmark this Post
General Discussion
User avatar
gmatophobia
User avatar
Quant Chat Moderator
Joined: 22 Dec 2016
Last visit: 19 Apr 2026
Posts: 3,173
Own Kudos:
Given Kudos: 1,862
Location: India
Concentration: Strategy, Leadership
Posts: 3,173
Kudos: 11,484
Kudos
Add Kudos
Bookmarks
Bookmark this Post
User avatar
VivekSri
Joined: 01 May 2022
Last visit: 05 Feb 2026
Posts: 468
Own Kudos:
Given Kudos: 117
Location: India
WE:Engineering (Consulting)
Posts: 468
Kudos: 773
Kudos
Add Kudos
Bookmarks
Bookmark this Post
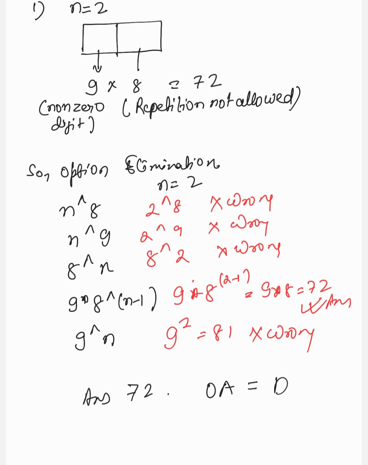
Bunuel
How many positive n-digit integers, where n is greater than 1, can be formed using nonzero digits such that no two adjacent digits are the same?

A. n^8
B. n^9
C. 8^n
D. 9*8^(n-1)
E. 9^n

Attachments

Screenshot_20240120_223006_Samsung Notes.jpg
Screenshot_20240120_223006_Samsung Notes.jpg [ 153.65 KiB | Viewed 2209 times ]

Moderators:
Math Expert
109974 posts
Tuck School Moderator
852 posts