Last visit was: 18 Nov 2025, 18:45 It is currently 18 Nov 2025, 18:45
Close
GMAT Club Daily Prep
Thank you for using the timer - this advanced tool can estimate your performance and suggest more practice questions. We have subscribed you to Daily Prep Questions via email.

Customized
for You

we will pick new questions that match your level based on your Timer History

Track
Your Progress

every week, we’ll send you an estimated GMAT score based on your performance

Practice
Pays

we will pick new questions that match your level based on your Timer History
Not interested in getting valuable practice questions and articles delivered to your email? No problem, unsubscribe here.
Close
Request Expert Reply
Confirm Cancel
User avatar
GMATBusters
User avatar
GMAT Tutor
Joined: 27 Oct 2017
Last visit: 14 Nov 2025
Posts: 1,924
Own Kudos:
6,646
 [17]
Given Kudos: 241
WE:General Management (Education)
Expert
Expert reply
Posts: 1,924
Kudos: 6,646
 [17]
1
Kudos
Add Kudos
16
Bookmarks
Bookmark this Post
User avatar
GMATBusters
User avatar
GMAT Tutor
Joined: 27 Oct 2017
Last visit: 14 Nov 2025
Posts: 1,924
Own Kudos:
6,646
 [2]
Given Kudos: 241
WE:General Management (Education)
Expert
Expert reply
Posts: 1,924
Kudos: 6,646
 [2]
1
Kudos
Add Kudos
1
Bookmarks
Bookmark this Post
avatar
AndreV
Joined: 17 Aug 2019
Last visit: 25 Apr 2022
Posts: 23
Own Kudos:
7
 [1]
Location: Peru
Posts: 23
Kudos: 7
 [1]
1
Kudos
Add Kudos
Bookmarks
Bookmark this Post
User avatar
merajul
Joined: 05 Oct 2014
Last visit: 10 Feb 2024
Posts: 128
Own Kudos:
Given Kudos: 229
Location: India
Concentration: General Management, Strategy
GMAT Date: 07-23-2015
GMAT 1: 580 Q41 V28
GPA: 3.8
WE:Project Management (Energy)
GMAT 1: 580 Q41 V28
Posts: 128
Kudos: 39
Kudos
Add Kudos
Bookmarks
Bookmark this Post
M^N = 1 => M^N = 1^0 => N=0

Now N= (x^2-13x+42)=0 will derive to x = 6 or 7

that means M^N = 1 => (x^2-7x+11)^6 =1 or (x^2-7x+11)^7 =1

So the number of roots should be 7
avatar
ITGMAT
Joined: 20 Sep 2015
Last visit: 14 Apr 2022
Posts: 25
Own Kudos:
Given Kudos: 109
Location: India
WE:Research (Energy)
Posts: 25
Kudos: 5
Kudos
Add Kudos
Bookmarks
Bookmark this Post
sol;
we can see from the question that multiple roots are possible.
M^N=1 the equation can be satisfied by M=1,-1 or N=0 or integer

case-1:
lets consider if M=1,

x^2-7x+11= 01
x^2-7x =10=0
(x-2)(x-5)=0
x= 2, 5

N= 0 >>>>X^2-13x+42= 0
(x-6)(x-7)= 0,
x= 6,7
so roots = 2,5,6,7
case-2:
now consider other condition
M= -1, then N=even,
x^2-7x+11= -1
x^2-7x+12= 0
(x-3)(x-4)=0
x= 3,4
hence no. of total roots = 6
Answer is D.
User avatar
Archit3110
User avatar
Major Poster
Joined: 18 Aug 2017
Last visit: 18 Nov 2025
Posts: 8,423
Own Kudos:
Given Kudos: 243
Status:You learn more from failure than from success.
Location: India
Concentration: Sustainability, Marketing
GMAT Focus 1: 545 Q79 V79 DI73
GMAT Focus 2: 645 Q83 V82 DI81
GPA: 4
WE:Marketing (Energy)
GMAT Focus 2: 645 Q83 V82 DI81
Posts: 8,423
Kudos: 4,979
Kudos
Add Kudos
Bookmarks
Bookmark this Post
not sure
given
x^2-7x+11^( x^2-13x+11) = 1
we get
x^2-7x+11 ^ ( (x-6)*(x-7) = 1
total possible roots would be 4
IMO B
User avatar
J2S2019
Joined: 10 Jan 2017
Last visit: 24 Sep 2022
Posts: 269
Own Kudos:
Given Kudos: 371
Location: India
Products:
Posts: 269
Kudos: 268
Kudos
Add Kudos
Bookmarks
Bookmark this Post
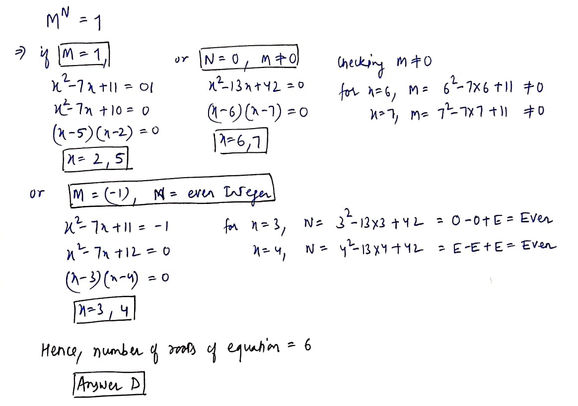
Ans is B
Attachment is given for answer
Attachments

IMG_20200202_191630.JPG
IMG_20200202_191630.JPG [ 781.25 KiB | Viewed 4236 times ]

User avatar
Kinshook
User avatar
Major Poster
Joined: 03 Jun 2019
Last visit: 18 Nov 2025
Posts: 5,793
Own Kudos:
Given Kudos: 161
Location: India
GMAT 1: 690 Q50 V34
WE:Engineering (Transportation)
Products:
GMAT 1: 690 Q50 V34
Posts: 5,793
Kudos: 5,509
Kudos
Add Kudos
Bookmarks
Bookmark this Post
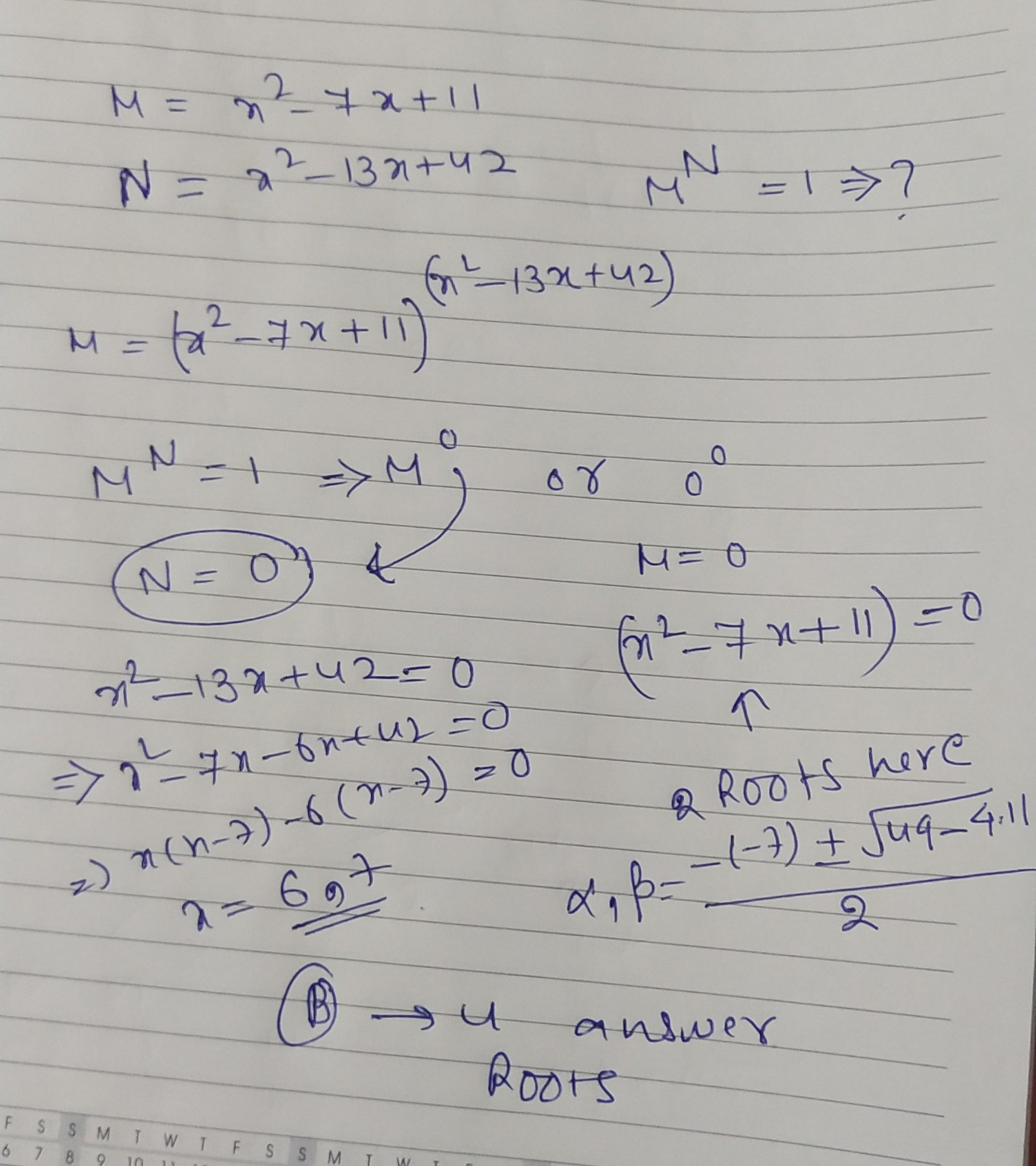
Given: M = (x^2−7x+11) and N = (x^2−13x+42)
Asked: What is the number of roots of the equation M^N= 1?
A. 3
B. 4
C. 5
D. 6
E. 7

When N=0; M^N=1
N=0 when x=6 or x=7; 2 roots

When M=1; M^N=1
x^2-7x+11 = 1; x^2 -7x+10 = 0; x = 2 or x=5; 2 roots

When M=-1; M^N=1 when N is even
x^2-7x+11 = -1; x^2 -7x+12= 0; x = 4 or x=3
When x=4; N=6; 1 root
When x=3; N= 12; 1 root

There are total 6 roots of the equation.

IMO D
avatar
pyunika
avatar
Current Student
Joined: 17 Nov 2019
Last visit: 30 Jun 2021
Posts: 8
Own Kudos:
Given Kudos: 10
Location: India
GPA: 3.11
WE:Engineering (Computer Software)
Posts: 8
Kudos: 8
Kudos
Add Kudos
Bookmarks
Bookmark this Post
Here we can divide solution into three parts.
Anything raised to 0 is 1 so equating equation n to zero gives us two roots.
2nd part= 1 to the power of anything will give us 1 so equating equation M to 1 we get two solutions for M
3rd part = -1 to any even power of anything will give us 1 so equating equation M to -1 we get two solutions for M.
So total 6 solutions.
User avatar
bumpbot
User avatar
Non-Human User
Joined: 09 Sep 2013
Last visit: 04 Jan 2021
Posts: 38,588
Own Kudos:
Posts: 38,588
Kudos: 1,079
Kudos
Add Kudos
Bookmarks
Bookmark this Post
Hello from the GMAT Club BumpBot!

Thanks to another GMAT Club member, I have just discovered this valuable topic, yet it had no discussion for over a year. I am now bumping it up - doing my job. I think you may find it valuable (esp those replies with Kudos).

Want to see all other topics I dig out? Follow me (click follow button on profile). You will receive a summary of all topics I bump in your profile area as well as via email.
Moderators:
Math Expert
105355 posts
Tuck School Moderator
805 posts