Bunuel

If the circle with center O has area 9π, what is area of equilateral triangle ABC?
A. \(9\sqrt{3}\)
B. 18
C. \(12\sqrt{3}\)
D. 24
E. \(16\sqrt{3}\)
Kudos for a correct solution. MAGOOSH OFFICIAL SOLUTION:We are told the circle has an area of 9 times pi. From Archimedes' famous formula …
\(A=\pi{r^2}\)
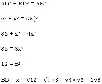
… we know that the radius of the circle must equal r = 3. This means AO = OD = 3, which means AD = 6. Now, we have the length of the side of triangle ABD.
ABD is the kind of triangle we get when we bisect an equilateral. The angle B is still 60°, the angle at D is a right angle, and the angle at A has been bisected, so that angle DAB = 30°. This is a 30-60-90 triangle, which has special properties. You can read about these special properties at
this GMAT blog.
Suppose you don't remember all those properties. Look at side DB --- that's exactly half the side of the equilateral triangle. If we call DB = x, then a full side, like BC or AB, must equal 2x. Given that AD = 6, BD = x, and AB = 2x, we can use the Pythagorean Theorem in right triangle ABD.

This means that a full side of the equilateral is twice this:
\(AB=BC=4\sqrt{3}\)
Incidentally, if you remembered your 30-60-90 triangle properties, you could have found:
\(\frac{AB}{BD}=\frac{2}{\sqrt{3}}\) --> \(\frac{AB}{6}=\frac{2}{\sqrt{3}}\) --> \(AB=4\sqrt{3}\)
If you are unfamiliar with roots, and particular with the procedure of rationalizing a denominator (used here to divide 12 by root 3), then see
this GMAT blog where more is explained.
Either way, now we have a height, BD = 6, and a base,
\(AB = BC = 4\sqrt{3}\)
Well, now we can find the area.
Area = 1/2*bh = \(\frac{1}{2}*6*4\sqrt{3}=12\sqrt{3}\)
That's the area of the equilateral triangle ABC.
Answer = C
Attachment:
originals.jpg [ 17.01 KiB | Viewed 38269 times ]