Last visit was: 27 May 2026, 19:21 It is currently 27 May 2026, 19:21
Close
GMAT Club Daily Prep
Thank you for using the timer - this advanced tool can estimate your performance and suggest more practice questions. We have subscribed you to Daily Prep Questions via email.

Customized
for You

we will pick new questions that match your level based on your Timer History

Track
Your Progress

every week, we’ll send you an estimated GMAT score based on your performance

Practice
Pays

we will pick new questions that match your level based on your Timer History
Not interested in getting valuable practice questions and articles delivered to your email? No problem, unsubscribe here.
Close
Request Expert Reply
Confirm Cancel
User avatar
Bunuel
User avatar
Math Expert
Joined: 02 Sep 2009
Last visit: 27 May 2026
Posts: 110,842
Own Kudos:
Given Kudos: 106,465
Products:
Expert
Expert reply
Active GMAT Club Expert! Tag them with @ followed by their username for a faster response.
Posts: 110,842
Kudos: 817,402
 [18]
1
Kudos
Add Kudos
17
Bookmarks
Bookmark this Post
Most Helpful Reply
User avatar
VivekSri
Joined: 01 May 2022
Last visit: 05 Feb 2026
Posts: 468
Own Kudos:
779
 [9]
Given Kudos: 117
Location: India
WE:Engineering (Consulting)
Posts: 468
Kudos: 779
 [9]
7
Kudos
Add Kudos
2
Bookmarks
Bookmark this Post
General Discussion
User avatar
ZIX
Joined: 30 Sep 2023
Last visit: 27 May 2026
Posts: 89
Own Kudos:
Given Kudos: 526
Posts: 89
Kudos: 183
Kudos
Add Kudos
Bookmarks
Bookmark this Post
User avatar
Seb2m02
Joined: 03 Oct 2023
Last visit: 10 May 2026
Posts: 34
Own Kudos:
Given Kudos: 139
Posts: 34
Kudos: 40
Kudos
Add Kudos
Bookmarks
Bookmark this Post
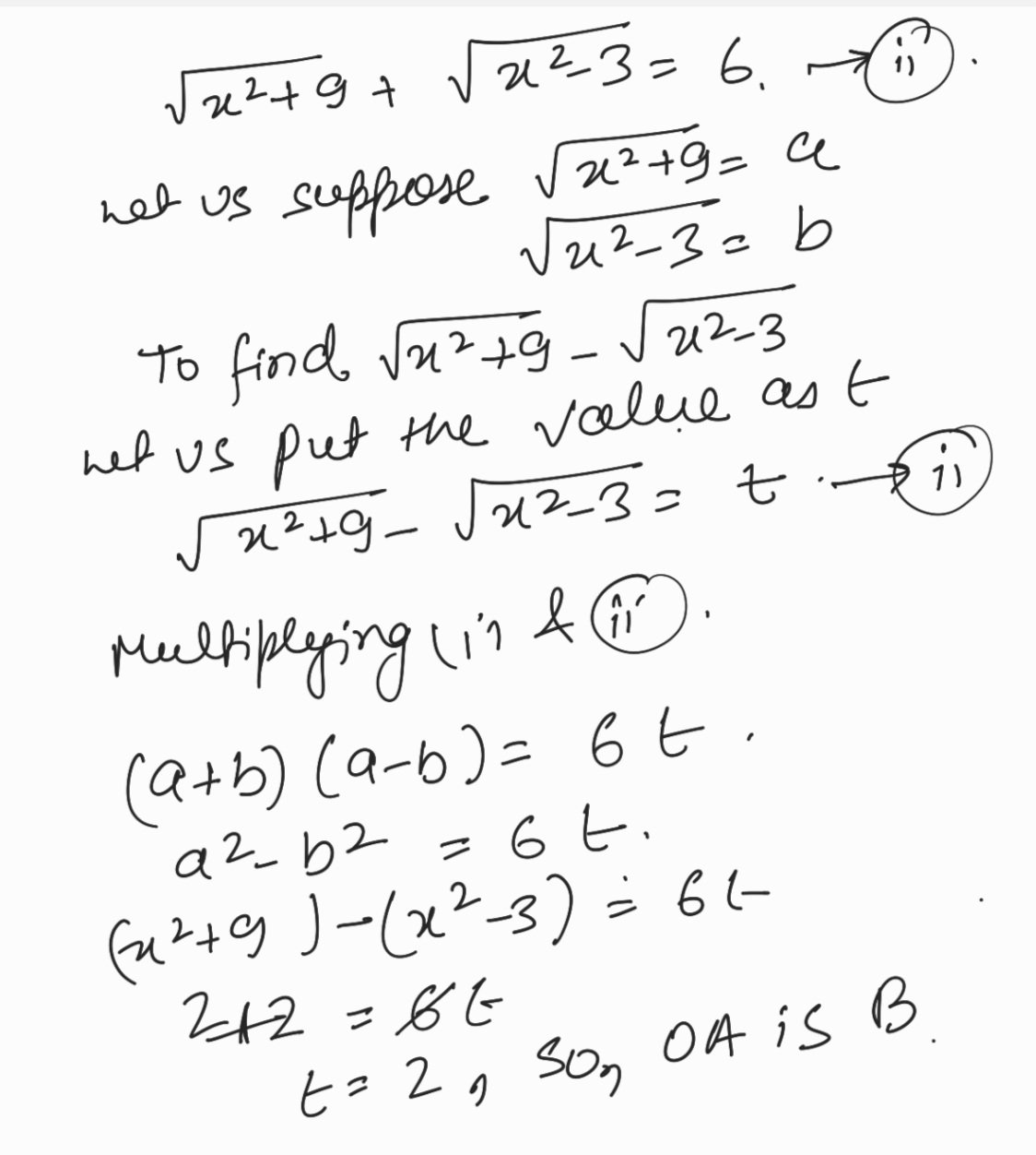
I everyone, I have another solution the solution, we can notice that the result 6 = 4+2
So (1) -> x^2 + 9 = 4^2
(2) -> x^2 - 3 = 2^2
(1)+3x(2) give us 4x^2=28, so x^2=7

If we replace x^2 un the second expression give in the statement, we find that the answer is 2

Hope that help
Moderators:
Math Expert
110842 posts
Tuck School Moderator
852 posts