Last visit was: 29 Apr 2026, 13:38 It is currently 29 Apr 2026, 13:38
Close
GMAT Club Daily Prep
Thank you for using the timer - this advanced tool can estimate your performance and suggest more practice questions. We have subscribed you to Daily Prep Questions via email.

Customized
for You

we will pick new questions that match your level based on your Timer History

Track
Your Progress

every week, we’ll send you an estimated GMAT score based on your performance

Practice
Pays

we will pick new questions that match your level based on your Timer History
Not interested in getting valuable practice questions and articles delivered to your email? No problem, unsubscribe here.
Close
Request Expert Reply
Confirm Cancel
User avatar
Frank28
Joined: 31 May 2020
Last visit: 31 Aug 2020
Posts: 32
Own Kudos:
179
 [4]
Given Kudos: 33
GMAT 1: 760 Q51 V41
GMAT 1: 760 Q51 V41
Posts: 32
Kudos: 179
 [4]
Kudos
Add Kudos
3
Bookmarks
Bookmark this Post
User avatar
nick1816
User avatar
Retired Moderator
Joined: 19 Oct 2018
Last visit: 12 Mar 2026
Posts: 1,841
Own Kudos:
8,515
 [1]
Given Kudos: 707
Location: India
Posts: 1,841
Kudos: 8,515
 [1]
1
Kudos
Add Kudos
Bookmarks
Bookmark this Post
User avatar
yashikaaggarwal
User avatar
Senior Moderator - Masters Forum
Joined: 19 Jan 2020
Last visit: 29 Mar 2026
Posts: 3,088
Own Kudos:
3,158
 [1]
Given Kudos: 1,510
Location: India
GPA: 4
WE:Analyst (Internet and New Media)
Posts: 3,088
Kudos: 3,158
 [1]
Kudos
Add Kudos
1
Bookmarks
Bookmark this Post
User avatar
nick1816
User avatar
Retired Moderator
Joined: 19 Oct 2018
Last visit: 12 Mar 2026
Posts: 1,841
Own Kudos:
Given Kudos: 707
Location: India
Posts: 1,841
Kudos: 8,515
Kudos
Add Kudos
Bookmarks
Bookmark this Post
You can split the triangle DBH in 2 parts DGB and HGB

Area of DGB = 1/2 * height * base = 1/2 * DC *GB

Area of HGB = 1/2 * GF * GB

yashikaaggarwal
nick1816
We need the length of the sides of the square.

Area of DBH = 1/2* (DC) * (GB) + 1/2 * (GF) * (GB) = 80

Area of DBH = 1/2* (DC) * (GF) + 1/2 * (GF) * (GF) = 80...... (1) [since GF = GB]



Statement 1. We know GF or GB. We can find DC using equation 1.

Sufficient

Statement 2- We know DC - GF. We have 2 equations and 2 variables. We can find DC and GF. [We are interested in +ve values]

Sufficient.

BTW you don't suppose to share GMAT exam Questions.
will you explain how you determined this?
User avatar
yashikaaggarwal
User avatar
Senior Moderator - Masters Forum
Joined: 19 Jan 2020
Last visit: 29 Mar 2026
Posts: 3,088
Own Kudos:
Given Kudos: 1,510
Location: India
GPA: 4
WE:Analyst (Internet and New Media)
Kudos
Add Kudos
Bookmarks
Bookmark this Post
nick1816
You can split the triangle DBH in 2 parts DGB and HGB

Area of DGB = 1/2 * height * base = 1/2 * DC *GB

Area of HGB = 1/2 * GF * GB

yashikaaggarwal
nick1816
We need the length of the sides of the square.

Area of DBH = 1/2* (DC) * (GB) + 1/2 * (GF) * (GB) = 80

Area of DBH = 1/2* (DC) * (GF) + 1/2 * (GF) * (GF) = 80...... (1) [since GF = GB]



Statement 1. We know GF or GB. We can find DC using equation 1.

Sufficient

Statement 2- We know DC - GF. We have 2 equations and 2 variables. We can find DC and GF. [We are interested in +ve values]

Sufficient.

BTW you don't suppose to share GMAT exam Questions.
will you explain how you determined this?
Did you used "the triangle drawn from same base and equal height have same area" Property here?

Posted from my mobile device
User avatar
gurmukh
Joined: 18 Dec 2017
Last visit: 30 Dec 2025
Posts: 258
Own Kudos:
269
 [1]
Given Kudos: 20
Posts: 258
Kudos: 269
 [1]
1
Kudos
Add Kudos
Bookmarks
Bookmark this Post
Posted from my mobile device
Attachments

20200717_193313.jpg
20200717_193313.jpg [ 1.94 MiB | Viewed 3337 times ]

User avatar
GMATBusters
User avatar
GMAT Tutor
Joined: 27 Oct 2017
Last visit: 23 Apr 2026
Posts: 1,922
Own Kudos:
6,864
 [1]
Given Kudos: 241
WE:General Management (Education)
Expert
Expert reply
Posts: 1,922
Kudos: 6,864
 [1]
1
Kudos
Add Kudos
Bookmarks
Bookmark this Post
This QUestion can also be done using Draw to decide approach :



Frank28
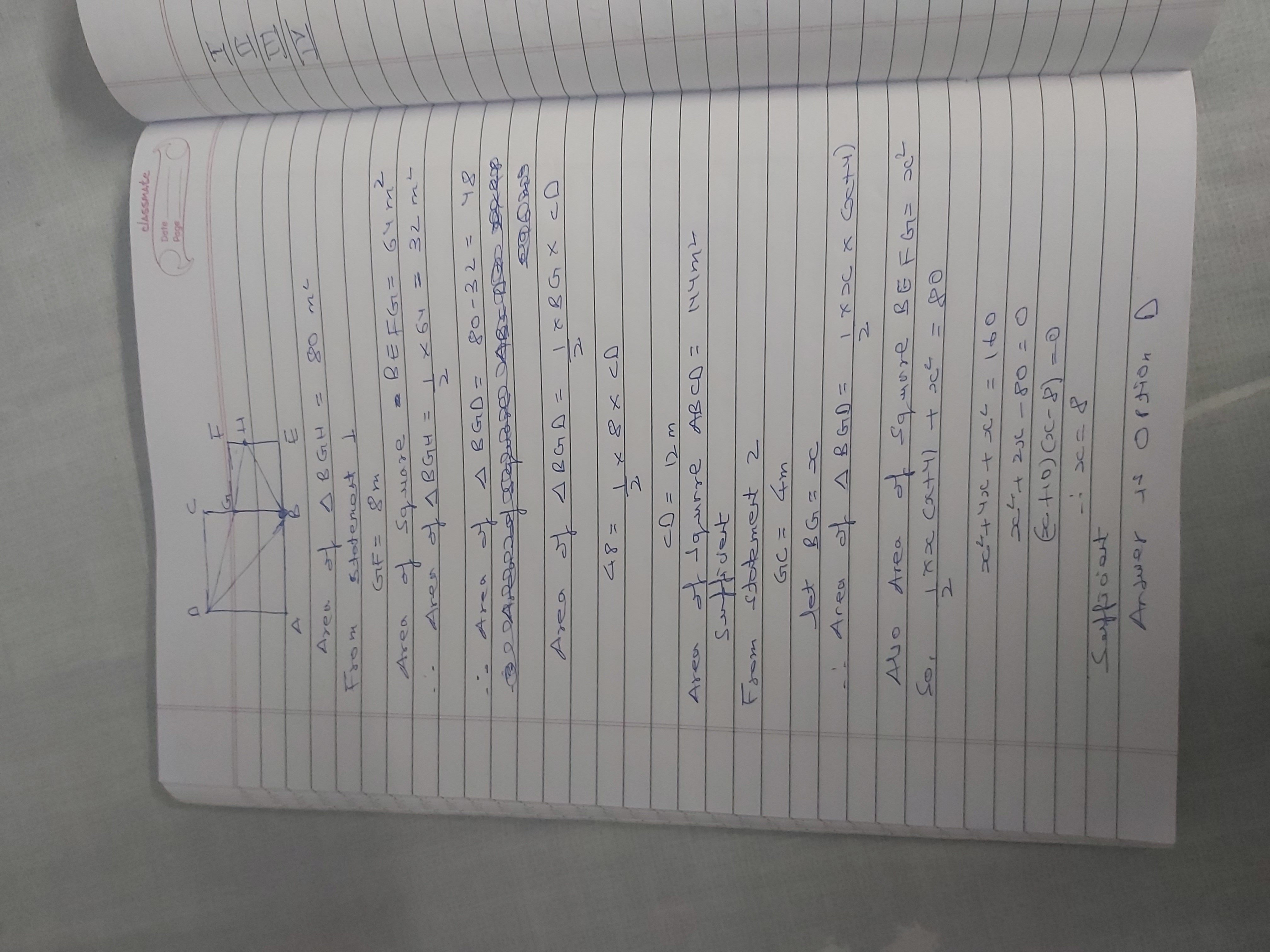
In the figure above, ABCD and BEFG are squares and points G and H are on BC and EF, respectively. If the area of triangle DBH is 80 square meters, what is the sum of the areas of squares ABCD and BEFG?

(1) GF=8m
(2) GC=4m

Source: Topgmat
Attachment:
112.JPG
112.JPG [ 62.79 KiB | Viewed 3414 times ]
Attachment:
111.JPG
111.JPG [ 83.34 KiB | Viewed 3425 times ]
User avatar
SiddharthR
Joined: 22 Oct 2018
Last visit: 20 Feb 2022
Posts: 84
Own Kudos:
Given Kudos: 201
Location: United States (TX)
Concentration: Finance, Technology
GMAT 1: 590 Q42 V29
GMAT 2: 650 Q47 V33
GPA: 3.7
WE:Engineering (Consumer Electronics)
GMAT 2: 650 Q47 V33
Posts: 84
Kudos: 39
Kudos
Add Kudos
Bookmarks
Bookmark this Post
nick1816
We need the length of the sides of the square.

Area of DBH = 1/2* (DC) * (GB) + 1/2 * (GF) * (GB) = 80

Area of DBH = 1/2* (DC) * (GF) + 1/2 * (GF) * (GF) = 80...... (1) [since GF = GB]



Statement 1. We know GF or GB. We can find DC using equation 1.

Sufficient

Statement 2- We know DC - GF. We have 2 equations and 2 variables. We can find DC and GF. [We are interested in +ve values]

Sufficient.

.

Could you solve statement II. I’m unable to see how that is sufficient

Posted from GMAT ToolKit
User avatar
nick1816
User avatar
Retired Moderator
Joined: 19 Oct 2018
Last visit: 12 Mar 2026
Posts: 1,841
Own Kudos:
Given Kudos: 707
Location: India
Posts: 1,841
Kudos: 8,515
Kudos
Add Kudos
Bookmarks
Bookmark this Post
No...i haven't use that property.

The only altitude you can draw from D on BG is DC. Since G is an obtuse angle, altitude from D will lie outside of the triangle.

Also, GB is parallel to FE and FGB = 90*, GF is equal to the perpendicular drawn from H to GB.

yashikaaggarwal

Did you used "the triangle drawn from same base and equal height have same area" Property here?

Posted from my mobile device
User avatar
nick1816
User avatar
Retired Moderator
Joined: 19 Oct 2018
Last visit: 12 Mar 2026
Posts: 1,841
Own Kudos:
8,515
 [1]
Given Kudos: 707
Location: India
Posts: 1,841
Kudos: 8,515
 [1]
1
Kudos
Add Kudos
Bookmarks
Bookmark this Post
1/2* (DC) * (GF) + 1/2 * (GF) * (GF) = 80 (Given in the question statement).......(1)

DC-GF = 4 (from statement 2)

DC = 4+GF........(2)

From (1) and (2)

\(\frac{1}{2} (4+GF) *GF + \frac{1}{2} * (GF)^2 = 80\)

\((GF)^2 +2*GF - 80 = 0\)

We can stop here. Since the product of the roots are negative, we will get 1 positive root and 1 negative root. (As i mentioned in my previous solution, we're interested only in positive root)

Anyways,

\((GF)^2 +10GF -8GF -80 = 0\)

(GF+10)(GF-8) = 0

GF = -10 or 8

Side can't be negative. So, we discard -10.

GF= 8 and DC = 4+8=12


SiddharthR
nick1816
We need the length of the sides of the square.

Area of DBH = 1/2* (DC) * (GB) + 1/2 * (GF) * (GB) = 80

Area of DBH = 1/2* (DC) * (GF) + 1/2 * (GF) * (GF) = 80...... (1) [since GF = GB]


Statement 1. We know GF or GB. We can find DC using equation 1.

Sufficient

Statement 2- We know DC - GF. We have 2 equations and 2 variables. We can find DC and GF. [We are interested in +ve values]

Sufficient.

.

Could you solve statement II. I’m unable to see how that is sufficient

Posted from GMAT ToolKit
User avatar
junson98
Joined: 29 Nov 2019
Last visit: 20 Aug 2023
Posts: 28
Own Kudos:
Given Kudos: 6
Location: Korea, Republic of
GMAT 1: 740 Q50 V40
GPA: 3.84
GMAT 1: 740 Q50 V40
Posts: 28
Kudos: 18
Kudos
Add Kudos
Bookmarks
Bookmark this Post
I saw this question on my online GMAT, although I saw this question after finishing the exam. I'm assuming whoever posted this question violated GMAC policy.

Archived Topic
Hi there,
This topic has been closed and archived due to inactivity or violation of community quality standards. No more replies are possible here.
Where to now? Join ongoing discussions on thousands of quality questions in our Data Sufficiency (DS) Forum
Still interested in this question? Check out the "Best Topics" block above for a better discussion on this exact question, as well as several more related questions.
Thank you for understanding, and happy exploring!
Moderators:
Math Expert
109975 posts
GMAT Tutor
1922 posts