Last visit was: 18 Nov 2025, 14:12 It is currently 18 Nov 2025, 14:12
Close
GMAT Club Daily Prep
Thank you for using the timer - this advanced tool can estimate your performance and suggest more practice questions. We have subscribed you to Daily Prep Questions via email.

Customized
for You

we will pick new questions that match your level based on your Timer History

Track
Your Progress

every week, we’ll send you an estimated GMAT score based on your performance

Practice
Pays

we will pick new questions that match your level based on your Timer History
Not interested in getting valuable practice questions and articles delivered to your email? No problem, unsubscribe here.
Close
Request Expert Reply
Confirm Cancel
User avatar
Bunuel
User avatar
Math Expert
Joined: 02 Sep 2009
Last visit: 18 Nov 2025
Posts: 105,355
Own Kudos:
Given Kudos: 99,964
Products:
Expert
Expert reply
Active GMAT Club Expert! Tag them with @ followed by their username for a faster response.
Posts: 105,355
Kudos: 778,062
 [12]
Kudos
Add Kudos
12
Bookmarks
Bookmark this Post
User avatar
Kinshook
User avatar
Major Poster
Joined: 03 Jun 2019
Last visit: 18 Nov 2025
Posts: 5,793
Own Kudos:
Given Kudos: 161
Location: India
GMAT 1: 690 Q50 V34
WE:Engineering (Transportation)
Products:
GMAT 1: 690 Q50 V34
Posts: 5,793
Kudos: 5,508
Kudos
Add Kudos
Bookmarks
Bookmark this Post
User avatar
CrackverbalGMAT
User avatar
Major Poster
Joined: 03 Oct 2013
Last visit: 16 Nov 2025
Posts: 4,844
Own Kudos:
8,945
 [2]
Given Kudos: 225
Affiliations: CrackVerbal
Location: India
Expert
Expert reply
Posts: 4,844
Kudos: 8,945
 [2]
2
Kudos
Add Kudos
Bookmarks
Bookmark this Post
User avatar
Archit3110
User avatar
Major Poster
Joined: 18 Aug 2017
Last visit: 18 Nov 2025
Posts: 8,423
Own Kudos:
Given Kudos: 243
Status:You learn more from failure than from success.
Location: India
Concentration: Sustainability, Marketing
GMAT Focus 1: 545 Q79 V79 DI73
GMAT Focus 2: 645 Q83 V82 DI81
GPA: 4
WE:Marketing (Energy)
GMAT Focus 2: 645 Q83 V82 DI81
Posts: 8,423
Kudos: 4,979
Kudos
Add Kudos
Bookmarks
Bookmark this Post
Bunuel
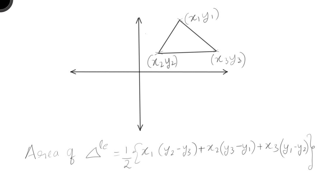
In the rectangular coordinate system, area of the region bounded by three lines x + y = 5, x - y = 7, y + 13x + 7 = 0 is:

A. 18
B. 22
C. 32
D. 42
E. 91

solving such questions <2 mins in a test is a task ;
given are three eqn of line x + y = 5, x - y = 7, y + 13x + 7 = 0
solve for each we get three points ; ( -1,6) ( 0.-7 ) & ( 6,-1)
using distance formula determine base ; 6√2 and height 7√2
area ; 1/2 * 6√2*7√2 ; 42
IMO D
User avatar
bumpbot
User avatar
Non-Human User
Joined: 09 Sep 2013
Last visit: 04 Jan 2021
Posts: 38,586
Own Kudos:
Posts: 38,586
Kudos: 1,079
Kudos
Add Kudos
Bookmarks
Bookmark this Post
Hello from the GMAT Club BumpBot!

Thanks to another GMAT Club member, I have just discovered this valuable topic, yet it had no discussion for over a year. I am now bumping it up - doing my job. I think you may find it valuable (esp those replies with Kudos).

Want to see all other topics I dig out? Follow me (click follow button on profile). You will receive a summary of all topics I bump in your profile area as well as via email.
Moderators:
Math Expert
105355 posts
Tuck School Moderator
805 posts