Last visit was: 26 Apr 2026, 19:56 It is currently 26 Apr 2026, 19:56
Close
GMAT Club Daily Prep
Thank you for using the timer - this advanced tool can estimate your performance and suggest more practice questions. We have subscribed you to Daily Prep Questions via email.

Customized
for You

we will pick new questions that match your level based on your Timer History

Track
Your Progress

every week, we’ll send you an estimated GMAT score based on your performance

Practice
Pays

we will pick new questions that match your level based on your Timer History
Not interested in getting valuable practice questions and articles delivered to your email? No problem, unsubscribe here.
Close
Request Expert Reply
Confirm Cancel
User avatar
Bunuel
User avatar
Math Expert
Joined: 02 Sep 2009
Last visit: 26 Apr 2026
Posts: 109,910
Own Kudos:
Given Kudos: 105,897
Products:
Expert
Expert reply
Active GMAT Club Expert! Tag them with @ followed by their username for a faster response.
Posts: 109,910
Kudos: 811,448
 [15]
Kudos
Add Kudos
15
Bookmarks
Bookmark this Post
Most Helpful Reply
User avatar
Bunuel
User avatar
Math Expert
Joined: 02 Sep 2009
Last visit: 26 Apr 2026
Posts: 109,910
Own Kudos:
Given Kudos: 105,897
Products:
Expert
Expert reply
Active GMAT Club Expert! Tag them with @ followed by their username for a faster response.
Posts: 109,910
Kudos: 811,448
Kudos
Add Kudos
Bookmarks
Bookmark this Post
General Discussion
User avatar
gmatophobia
User avatar
Quant Chat Moderator
Joined: 22 Dec 2016
Last visit: 19 Apr 2026
Posts: 3,173
Own Kudos:
11,468
 [2]
Given Kudos: 1,862
Location: India
Concentration: Strategy, Leadership
Posts: 3,173
Kudos: 11,468
 [2]
2
Kudos
Add Kudos
Bookmarks
Bookmark this Post
User avatar
Archit3110
User avatar
Major Poster
Joined: 18 Aug 2017
Last visit: 26 Apr 2026
Posts: 8,631
Own Kudos:
Given Kudos: 243
Status:You learn more from failure than from success.
Location: India
Concentration: Sustainability, Marketing
GMAT Focus 1: 545 Q79 V79 DI73
GMAT Focus 2: 645 Q83 V82 DI81
GPA: 4
WE:Marketing (Energy)
Products:
GMAT Focus 2: 645 Q83 V82 DI81
Posts: 8,631
Kudos: 5,191
Kudos
Add Kudos
Bookmarks
Bookmark this Post
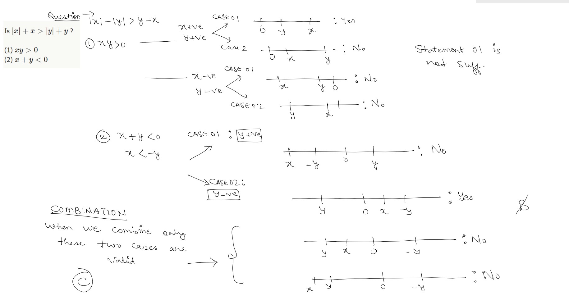
given condition \(|x| + x > |y| + y\)
would be true only when both x,y are >0
#1
\(xy > 0\)
if both x,y are -ve then given target is 0
if both x,y are +ve then yes and no , because values of x,y are not known
insufficient
#2
x+y<0
either both are -ve numbers then '0' to target
or either of x,y is -ve or else both are -ver
insufficient
from 1 &2
we can say that x,y are both -ve so target value is 0 \(|x| + x > |y| + y\) and NO to condition
OPTION C


Bunuel
Is \(|x| + x > |y| + y\) ?

(1) \(xy > 0\)
(2) \(x + y < 0\)

 


Enjoy this brand new question we just created for the GMAT Club Tests.

To get 1,600 more questions and to learn more visit: user reviews | learn more

 

User avatar
DP448AX
Joined: 18 Aug 2022
Last visit: 15 Nov 2025
Posts: 10
Own Kudos:
15
 [3]
Given Kudos: 51
Posts: 10
Kudos: 15
 [3]
3
Kudos
Add Kudos
Bookmarks
Bookmark this Post
In my opinion it is E.

(1) is not sufficient. Lets take x=-1 and y=-1 ------> 1-1> 1-1 so the answer is NO. But if we take x=1 and Y=-1 the condition will be as follow: 2>0 which is YES

You can demostrate in the same way that point 2 is not .
User avatar
chetan2u
User avatar
GMAT Expert
Joined: 02 Aug 2009
Last visit: 26 Apr 2026
Posts: 11,229
Own Kudos:
45,025
 [3]
Given Kudos: 335
Status:Math and DI Expert
Location: India
Concentration: Human Resources, General Management
GMAT Focus 1: 735 Q90 V89 DI81
Products:
Expert
Expert reply
GMAT Focus 1: 735 Q90 V89 DI81
Posts: 11,229
Kudos: 45,025
 [3]
3
Kudos
Add Kudos
Bookmarks
Bookmark this Post
Bunuel
Is \(|x| + x > |y| + y\) ?

(1) \(xy > 0\)
(2) \(x + y < 0\)

\(|x| + x > |y| + y\)
What does it tell us?
(I) If both are negative => \(-x+x>-y+y……0>0\). Answer is NO.
(II) If both are positive => \(x+x>y+y……2x>2y…….x>y\). We will require further info on ‘Is x>y?’
(III) If both are different signs => x>0 and y<0 will give YES as answer, and x<0 and y>0 will give NO as answer.

(1) \(xy > 0\)
Both have same sign, so cases I and II possible.
Insufficient

(2) \(x + y < 0\)
One is surely negative, but other could be either.
Cases I and III possible.
Insufficient


Combined
Case I => Answer is NO.
Sufficient


C
User avatar
Sahith_Manikanta
Joined: 04 Apr 2024
Last visit: 26 Apr 2026
Posts: 19
Own Kudos:
Given Kudos: 9
Products:
Posts: 19
Kudos: 2
Kudos
Add Kudos
Bookmarks
Bookmark this Post
Hey Bunuel, chetan2u. quick doubt, I did squaring on both sides and reduced the problem statement to |x||y| < xy. But then this reduced form can be solved by Statement 1 alone.

What is wrong with this approach? can you please explain.
User avatar
Bunuel
User avatar
Math Expert
Joined: 02 Sep 2009
Last visit: 26 Apr 2026
Posts: 109,910
Own Kudos:
811,448
 [2]
Given Kudos: 105,897
Products:
Expert
Expert reply
Active GMAT Club Expert! Tag them with @ followed by their username for a faster response.
Posts: 109,910
Kudos: 811,448
 [2]
1
Kudos
Add Kudos
1
Bookmarks
Bookmark this Post
Sahith_Manikanta

Bunuel
Official Solution:


Is |x| + x > |y| + y ?

(1) \(xy > 0\)

This statement implies that \(x\) and \(y\) have the same sign.

If both are negative, \(|x| = -x\) and \(|y| = -y\), and the question becomes: is \(-x + x > -y + y\)? This further translates to: is \(0 > 0\)? The answer to this question is NO.

If both are positive, \(|x| = x\) and \(|y| = y\), and the question becomes: is \(x + x > y + y\)? This further translates to: is \(x > y\)? The answer to this question can be both YES and NO.

Not sufficient.

(2) \(x + y < 0\)

This statement is clearly insufficient. For instance, consider \(x = 0\) and \(y = -1\) for a NO answer, and \(x = 1\) and \(y = -2\) for a YES answer.

(1)+(2) From (1) we have that \(x\) and \(y\) have the same sign, and from (2) we have that the sum of \(x\) and \(y\) is negative. Hence, both \(x\) and \(y\) must be negative. In (1), we deduced that if both are negative, the question becomes whether \(0 > 0\), the answer to which is NO. Sufficient.


Answer: C
Hey Bunuel, chetan2u. quick doubt, I did squaring on both sides and reduced the problem statement to |x||y| < xy. But then this reduced form can be solved by Statement 1 alone.

What is wrong with this approach? can you please explain.

I guess you squared |x| - |y| > y - x to get |x||y| < xy. Couple of points:

1. Squaring is usually done to eliminate absolute values and simplify the inequality. But here, the absolute values are still there, so squaring doesn't really help.

2. You can only square inequalities when both sides are nonnegative. In this case, |x| - |y| and y - x could both be negative, so squaring isn’t valid.

3. Also, pure algebraic questions are no longer a part of the DS syllabus of the GMAT.

DS questions in GMAT Focus encompass various types of word problems, such as:

  • Word Problems
  • Work Problems
  • Distance Problems
  • Mixture Problems
  • Percent and Interest Problems
  • Overlapping Sets Problems
  • Statistics Problems
  • Combination and Probability Problems

While these questions may involve or necessitate knowledge of algebra, arithmetic, inequalities, etc., they will always be presented in the form of word problems. You won’t encounter pure "algebra" questions like, "Is x > y?" or "A positive integer n has two prime factors..."

Check GMAT Syllabus for Focus Edition

You can also visit the Data Sufficiency forum and filter questions by OG 2024-2025, GMAT Prep (Focus), and Data Insights Review 2024-2025 sources to see the types of questions currently tested on the GMAT.

So, you can ignore this question.

Hope it helps.­
User avatar
Sahith_Manikanta
Joined: 04 Apr 2024
Last visit: 26 Apr 2026
Posts: 19
Own Kudos:
Given Kudos: 9
Products:
Posts: 19
Kudos: 2
Kudos
Add Kudos
Bookmarks
Bookmark this Post
Got it. Thanks a lot.
Bunuel
Sahith_Manikanta

Bunuel
Official Solution:


Is |x| + x > |y| + y ?

(1) \(xy > 0\)

This statement implies that \(x\) and \(y\) have the same sign.

If both are negative, \(|x| = -x\) and \(|y| = -y\), and the question becomes: is \(-x + x > -y + y\)? This further translates to: is \(0 > 0\)? The answer to this question is NO.

If both are positive, \(|x| = x\) and \(|y| = y\), and the question becomes: is \(x + x > y + y\)? This further translates to: is \(x > y\)? The answer to this question can be both YES and NO.

Not sufficient.

(2) \(x + y < 0\)

This statement is clearly insufficient. For instance, consider \(x = 0\) and \(y = -1\) for a NO answer, and \(x = 1\) and \(y = -2\) for a YES answer.

(1)+(2) From (1) we have that \(x\) and \(y\) have the same sign, and from (2) we have that the sum of \(x\) and \(y\) is negative. Hence, both \(x\) and \(y\) must be negative. In (1), we deduced that if both are negative, the question becomes whether \(0 > 0\), the answer to which is NO. Sufficient.


Answer: C
Hey Bunuel, chetan2u. quick doubt, I did squaring on both sides and reduced the problem statement to |x||y| < xy. But then this reduced form can be solved by Statement 1 alone.

What is wrong with this approach? can you please explain.

I guess you squared |x| - |y| > y - x to get |x||y| < xy. Couple of points:

1. Squaring is usually done to eliminate absolute values and simplify the inequality. But here, the absolute values are still there, so squaring doesn't really help.

2. You can only square inequalities when both sides are nonnegative. In this case, |x| - |y| and y - x could both be negative, so squaring isn’t valid.

3. Also, pure algebraic questions are no longer a part of the DS syllabus of the GMAT.

DS questions in GMAT Focus encompass various types of word problems, such as:

  • Word Problems
  • Work Problems
  • Distance Problems
  • Mixture Problems
  • Percent and Interest Problems
  • Overlapping Sets Problems
  • Statistics Problems
  • Combination and Probability Problems

While these questions may involve or necessitate knowledge of algebra, arithmetic, inequalities, etc., they will always be presented in the form of word problems. You won’t encounter pure "algebra" questions like, "Is x > y?" or "A positive integer n has two prime factors..."

Check GMAT Syllabus for Focus Edition

You can also visit the Data Sufficiency forum and filter questions by OG 2024-2025, GMAT Prep (Focus), and Data Insights Review 2024-2025 sources to see the types of questions currently tested on the GMAT.

So, you can ignore this question.

Hope it helps.­
Moderators:
Math Expert
109910 posts
498 posts
212 posts