Last visit was: 20 Nov 2025, 05:10 It is currently 20 Nov 2025, 05:10
Close
GMAT Club Daily Prep
Thank you for using the timer - this advanced tool can estimate your performance and suggest more practice questions. We have subscribed you to Daily Prep Questions via email.

Customized
for You

we will pick new questions that match your level based on your Timer History

Track
Your Progress

every week, we’ll send you an estimated GMAT score based on your performance

Practice
Pays

we will pick new questions that match your level based on your Timer History
Not interested in getting valuable practice questions and articles delivered to your email? No problem, unsubscribe here.
Close
Request Expert Reply
Confirm Cancel
User avatar
nick_sun
Joined: 19 Mar 2007
Last visit: 07 May 2012
Posts: 453
Own Kudos:
353
 [9]
Posts: 453
Kudos: 353
 [9]
3
Kudos
Add Kudos
6
Bookmarks
Bookmark this Post
User avatar
javed
Joined: 01 Jan 2007
Last visit: 13 Sep 2007
Posts: 177
Own Kudos:
353
 [1]
Posts: 177
Kudos: 353
 [1]
1
Kudos
Add Kudos
Bookmarks
Bookmark this Post
User avatar
Fremontian
Joined: 14 Oct 2009
Last visit: 24 Mar 2016
Posts: 21
Own Kudos:
406
 [1]
Given Kudos: 4
Status:Applying
Location: California
Concentration: General Management
Schools:Cornell AMBA, Kellogg, Oxford, Cambridge
Posts: 21
Kudos: 406
 [1]
1
Kudos
Add Kudos
Bookmarks
Bookmark this Post
User avatar
shrouded1
User avatar
Retired Moderator
Joined: 02 Sep 2010
Last visit: 29 Apr 2018
Posts: 609
Own Kudos:
3,191
 [2]
Given Kudos: 25
Location: London
Products:
Posts: 609
Kudos: 3,191
 [2]
2
Kudos
Add Kudos
Bookmarks
Bookmark this Post
You can divide both side of an inequality with a constant or a variable expression

If what you are dividing by is positive, nothing changes. If it is negative, the sign of the inequality flips.

Posted from my mobile device
avatar
ada453
Joined: 10 Oct 2014
Last visit: 09 Apr 2019
Posts: 15
Own Kudos:
23
 [4]
Given Kudos: 64
GPA: 3.47
WE:Marketing (Advertising and PR)
Posts: 15
Kudos: 23
 [4]
1
Kudos
Add Kudos
3
Bookmarks
Bookmark this Post
The key is to simplify the inequality before going on to the answer choices.

y<(x+z)/2 simplifies to 2y<x+z

Now that we have our simplified inequality 2y<x+z, let's look at the answers.

1) y-x<z-y
Add y and x to both sides gives you 2y<z+x Sufficient

2) z-y>(z-x)/2
Multiply 2 to the right to get 2z-2y>z-x
Move (z-x) over to the right and -2y to the left to get 2z-z+x>2y
Simplified: z+x>2y Sufficient
User avatar
HKD1710
User avatar
Retired Moderator
Joined: 22 Jun 2014
Last visit: 26 Feb 2021
Posts: 961
Own Kudos:
Given Kudos: 182
Location: India
Concentration: General Management, Technology
GMAT 1: 540 Q45 V20
GPA: 2.49
WE:Information Technology (Computer Software)
GMAT 1: 540 Q45 V20
Posts: 961
Kudos: 4,517
Kudos
Add Kudos
Bookmarks
Bookmark this Post
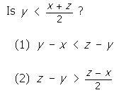
nick_sun
Is y < (x + z)/2 ?

(1) y - x < z - y
(2) z - y > (z - x)/2

Attachment:
DS GMATPrep.JPG

Here again, rearranging the inequalities helped cut down the time to 48sec.

y < (x+z)/2

is 2y < x+z OR x+z > 2y?

stmt-1:
y-x < z-y

2y < z+x suff

stmt-2:
z-y > (z-x)/2

2z- 2y < z-x

z+x > 2y suff
User avatar
bumpbot
User avatar
Non-Human User
Joined: 09 Sep 2013
Last visit: 04 Jan 2021
Posts: 38,598
Own Kudos:
Posts: 38,598
Kudos: 1,079
Kudos
Add Kudos
Bookmarks
Bookmark this Post
Hello from the GMAT Club BumpBot!

Thanks to another GMAT Club member, I have just discovered this valuable topic, yet it had no discussion for over a year. I am now bumping it up - doing my job. I think you may find it valuable (esp those replies with Kudos).

Want to see all other topics I dig out? Follow me (click follow button on profile). You will receive a summary of all topics I bump in your profile area as well as via email.
Moderators:
Math Expert
105414 posts
496 posts