Last visit was: 28 Apr 2026, 14:22 It is currently 28 Apr 2026, 14:22
Close
GMAT Club Daily Prep
Thank you for using the timer - this advanced tool can estimate your performance and suggest more practice questions. We have subscribed you to Daily Prep Questions via email.

Customized
for You

we will pick new questions that match your level based on your Timer History

Track
Your Progress

every week, we’ll send you an estimated GMAT score based on your performance

Practice
Pays

we will pick new questions that match your level based on your Timer History
Not interested in getting valuable practice questions and articles delivered to your email? No problem, unsubscribe here.
Close
Request Expert Reply
Confirm Cancel
Events & Promotions
User avatar
KarishmaB
Joined: 16 Oct 2010
Last visit: 28 Apr 2026
Posts: 16,447
Own Kudos:
Given Kudos: 485
Location: Pune, India
Products:
Expert
Expert reply
Active GMAT Club Expert! Tag them with @ followed by their username for a faster response.
Posts: 16,447
Kudos: 79,437
Kudos
Add Kudos
Bookmarks
Bookmark this Post
User avatar
Vegita
Joined: 23 May 2020
Last visit: 08 Sep 2025
Posts: 85
Own Kudos:
Given Kudos: 1,528
Posts: 85
Kudos: 12
Kudos
Add Kudos
Bookmarks
Bookmark this Post
User avatar
MBAB123
Joined: 05 Jul 2020
Last visit: 30 Jul 2023
Posts: 528
Own Kudos:
319
 [1]
Given Kudos: 150
GMAT 1: 720 Q49 V38
WE:Accounting (Accounting)
Products:
GMAT 1: 720 Q49 V38
Posts: 528
Kudos: 319
 [1]
1
Kudos
Add Kudos
Bookmarks
Bookmark this Post
User avatar
UserMaple5
Joined: 27 Apr 2021
Last visit: 24 Jul 2022
Posts: 41
Own Kudos:
Given Kudos: 260
Posts: 41
Kudos: 12
Kudos
Add Kudos
Bookmarks
Bookmark this Post
KarishmaB
amitpaul527
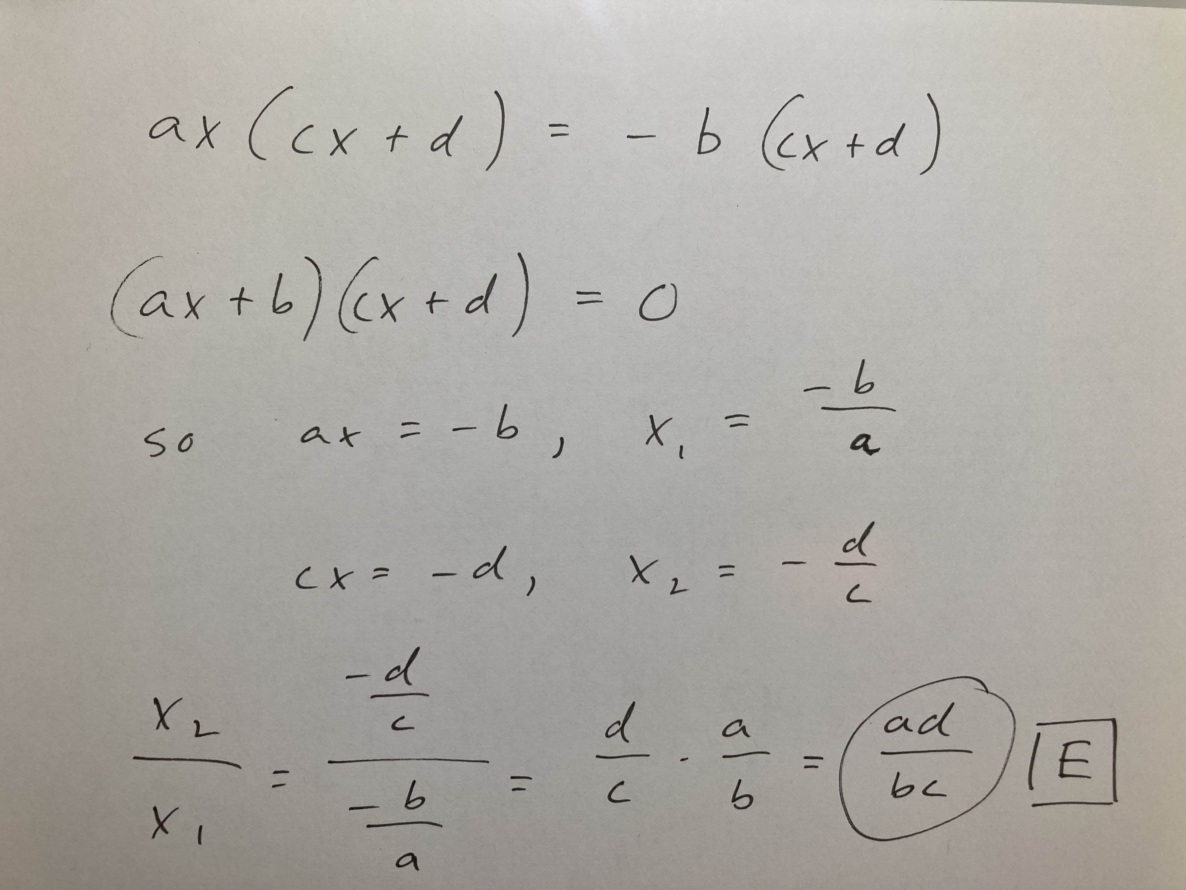
Let a,b,c, and d be nonzero real numbers. If the quadratic equation \(ax(cx+d)=-b(cx+d)\) is solved for x, which of the following is a possible ratio of the 2 solutions?

A. \(-\frac{ab}{cd}\)
B. \(-\frac{ac}{bd}\)
C. \(-\frac{ad}{bc}\)
D. \(\frac{ab}{cd}\)
E. \(\frac{ad}{bc}\)


Having trouble with this problem and would appreciate if someone could walk me through a solution. Thanks!


\(ax(cx+d)=-b(cx+d)\)

You solve a quadratic by splitting it into factors.

\(ax(cx+d) + b(cx+d) = 0\)

But recognise that the factors are already there in this equation. Take (cx + d) common.
\((ax + b)*(cx + d) = 0\)

Roots are -b/a and -d/c

Their ratio could be bc/ad or ad/bc.

Answer (E)

Hi Karishma! Would you be able to suggest similar questions to practice? Thank you
User avatar
mcelroytutoring
Joined: 10 Jul 2015
Last visit: 28 Apr 2026
Posts: 1,207
Own Kudos:
Given Kudos: 282
Status:Expert GMAT, GRE, and LSAT Tutor / Coach
Affiliations: Harvard University, A.B. with honors in Government, 2002
Location: United States (CO)
Age: 45 (10 years and counting on GMAT Club!)
GMAT 1: 770 Q47 V48
GMAT 2: 730 Q44 V47
GMAT 3: 750 Q50 V42
GMAT 4: 730 Q48 V42 (Online)
GRE 1: Q168 V169
GRE 2: Q170 V170
Expert
Expert reply
GMAT 4: 730 Q48 V42 (Online)
GRE 1: Q168 V169
GRE 2: Q170 V170
Posts: 1,207
Kudos: 2,676
Kudos
Add Kudos
Bookmarks
Bookmark this Post
Here's my solution in handwritten form.
Attachments

IMG-2113.jpg
IMG-2113.jpg [ 2.73 MiB | Viewed 1527 times ]

User avatar
PollyPipe
Joined: 28 Feb 2023
Last visit: 01 Mar 2023
Posts: 1
Own Kudos:
Posts: 1
Kudos: 5
Kudos
Add Kudos
Bookmarks
Bookmark this Post
KarishmaB
amitpaul527
Let a,b,c, and d be nonzero real numbers. If the quadratic equation \(ax(cx+d)=-b(cx+d)\) is solved for x, which of the following is a possible ratio of the 2 solutions?

A. \(-\frac{ab}{cd}\)
B. \(-\frac{ac}{bd}\)
C. \(-\frac{ad}{bc}\)
D. \(\frac{ab}{cd}\)
E. \(\frac{ad}{bc}\)


Having trouble with this problem and would appreciate if someone could walk me through a solution. Thanks!


\(ax(cx+d)=-b(cx+d)\)

You solve a quadratic by splitting it into factors.

\(ax(cx+d) + b(cx+d) = 0\)

But recognise that the factors are already there in this equation. Take (cx + d) common.
\((ax + b)*(cx + d) = 0\)

Roots are -b/a and -d/c

Their ratio could be bc/ad or ad/bc.

Answer (E)

so helpful number for me
User avatar
ablatt4
Joined: 18 Dec 2024
Last visit: 24 Sep 2025
Posts: 87
Own Kudos:
Given Kudos: 89
Location: United States (FL)
Concentration: Finance
Posts: 87
Kudos: 3
Kudos
Add Kudos
Bookmarks
Bookmark this Post
My technique works but may not be the most time efficient.
Plug in numbers I chose a=5 b=1 c=2 d=3

I set everything equal to zero and had a weird quadratic and used quadratic formula and got -3/2 and -1/5 as solutions.

I set an equal denominator and got 15:2 as the ratio.

I scanned for which answer choice would give me the same ratio with the plugged in numbers from before and it was correct.
   1   2 
Moderators:
Math Expert
109950 posts
Tuck School Moderator
852 posts