Last visit was: 11 May 2026, 13:45 It is currently 11 May 2026, 13:45
Close
GMAT Club Daily Prep
Thank you for using the timer - this advanced tool can estimate your performance and suggest more practice questions. We have subscribed you to Daily Prep Questions via email.

Customized
for You

we will pick new questions that match your level based on your Timer History

Track
Your Progress

every week, we’ll send you an estimated GMAT score based on your performance

Practice
Pays

we will pick new questions that match your level based on your Timer History
Not interested in getting valuable practice questions and articles delivered to your email? No problem, unsubscribe here.
Close
Request Expert Reply
Confirm Cancel
User avatar
rxs0005
Joined: 07 Jun 2004
Last visit: 21 Jun 2017
Posts: 436
Own Kudos:
3,316
 [2]
Given Kudos: 22
Location: PA
Posts: 436
Kudos: 3,316
 [2]
1
Kudos
Add Kudos
1
Bookmarks
Bookmark this Post
User avatar
Bunuel
User avatar
Math Expert
Joined: 02 Sep 2009
Last visit: 11 May 2026
Posts: 110,273
Own Kudos:
Given Kudos: 106,185
Products:
Expert
Expert reply
Active GMAT Club Expert! Tag them with @ followed by their username for a faster response.
Posts: 110,273
Kudos: 814,321
Kudos
Add Kudos
Bookmarks
Bookmark this Post
User avatar
Vinayprajapati
Joined: 24 May 2013
Last visit: 22 Apr 2016
Posts: 56
Own Kudos:
Given Kudos: 99
Posts: 56
Kudos: 204
Kudos
Add Kudos
Bookmarks
Bookmark this Post
avatar
ishan92
Joined: 22 Jan 2015
Last visit: 24 Jul 2022
Posts: 17
Own Kudos:
Given Kudos: 1,643
Posts: 17
Kudos: 14
Kudos
Add Kudos
Bookmarks
Bookmark this Post
rxs0005
m / n = 1 / 2 , what is the value of m + n


(1) mn = 2
(2) n > 0

As per the question, m / n = 1 / 2.
Let the common factor be x. m=x, n=2x.

(1) mn=2
x*2x=2 (As m=x & n=2x)
2x^2=2
x^2=1
So x=1, -1. Value of m+n=-1-2=-3 OR 1+3=3.
NOT SUFFICIENT

(2) n>0
obviously NOT SUFFICIENT

(1)+(2)
As n>0, n cannot be equal to -2, so it has to be equal to 2.
So m+n=3.

Thanks,
Ishan
User avatar
aarushi1710
Joined: 24 May 2022
Last visit: 26 Mar 2024
Posts: 51
Own Kudos:
Given Kudos: 8
Location: India
Posts: 51
Kudos: 15
Kudos
Add Kudos
Bookmarks
Bookmark this Post
What we know from the question

\(\frac{m}{n}\) = \(\frac{1}{2}\)

2m = n ---- Equation 1

Statement 1

mn = 2

n = \(\frac{2}{m}\) ---- Equation 2

Substituting eq 2 in 1, we get,
2m = \(\frac{2}{m}\)

\(m^2\) = 1

m = +/1

Statement 1 alone is insufficient

Statement 2

n > 0

This statement alone is insufficient to answer what m + n is

Using statement 1 and 2 together

From statement 1 we know that m = +/1 and from equation 1 we know that 2m = n
From statement 2, we know that n has to be greater than 0, ie n cannot be negative. For n to be positive, m has to be positive to satisfy equation 1 (i.e. 2m=n)
Thus, m has to be 1

2m = n
m = 1 and n = 2

Sufficient to answer m + n

Answer choice (C)
User avatar
MBAHOUSE
User avatar
MBA House Admissions Consultant
Joined: 26 May 2022
Last visit: 23 Apr 2024
Posts: 337
Own Kudos:
Expert
Expert reply
Posts: 337
Kudos: 99
Kudos
Add Kudos
Bookmarks
Bookmark this Post
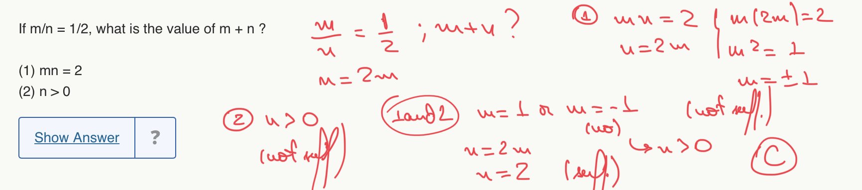
System of equations. Be careful with incomplete quadratic equations that produces two value as answers.
Attachments

4C395A30-971B-42CC-87EB-767CCA982B15.jpeg
4C395A30-971B-42CC-87EB-767CCA982B15.jpeg [ 248.08 KiB | Viewed 1743 times ]

Moderators:
Math Expert
110273 posts
498 posts
241 posts