Last visit was: 21 May 2026, 00:53 It is currently 21 May 2026, 00:53
Close
GMAT Club Daily Prep
Thank you for using the timer - this advanced tool can estimate your performance and suggest more practice questions. We have subscribed you to Daily Prep Questions via email.

Customized
for You

we will pick new questions that match your level based on your Timer History

Track
Your Progress

every week, we’ll send you an estimated GMAT score based on your performance

Practice
Pays

we will pick new questions that match your level based on your Timer History
Not interested in getting valuable practice questions and articles delivered to your email? No problem, unsubscribe here.
Close
Request Expert Reply
Confirm Cancel
Events & Promotions
avatar
thearch
Joined: 19 Feb 2005
Last visit: 23 Aug 2011
Posts: 212
Own Kudos:
Location: Milan Italy
Posts: 212
Kudos: 76
Kudos
Add Kudos
Bookmarks
Bookmark this Post
avatar
thearch
Joined: 19 Feb 2005
Last visit: 23 Aug 2011
Posts: 212
Own Kudos:
Location: Milan Italy
Posts: 212
Kudos: 76
Kudos
Add Kudos
Bookmarks
Bookmark this Post
avatar
katrin
Joined: 13 Jan 2005
Last visit: 14 Jun 2005
Posts: 3
Posts: 3
Kudos: 0
Kudos
Add Kudos
Bookmarks
Bookmark this Post
avatar
thearch
Joined: 19 Feb 2005
Last visit: 23 Aug 2011
Posts: 212
Own Kudos:
Location: Milan Italy
Posts: 212
Kudos: 76
Kudos
Add Kudos
Bookmarks
Bookmark this Post
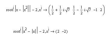
formal solution for (1)

|x-x^2|=2
can be divided into 2 equations
x-x^2=2 roots[2;-1]
x-x^2=-2 no real roots

What is a formal solution for (2)??

You should come up with the following results( Can Mathcad be wrong?):
Attachments

Immagine.JPG
Immagine.JPG [ 5.89 KiB | Viewed 1452 times ]

avatar
katrin
Joined: 13 Jan 2005
Last visit: 14 Jun 2005
Posts: 3
Posts: 3
Kudos: 0
Kudos
Add Kudos
Bookmarks
Bookmark this Post
OK:

Solution for #1 is -1 or 2

So A isn't enough

Solution for # 2 is -2 or 2

So B isn't enough either

Combine A and B: the only way to satisfy both equations is to use 2.

What is wrong in my line of reasoning :roll: ?
User avatar
sparky
Joined: 18 Apr 2005
Last visit: 30 Jul 2005
Posts: 321
Own Kudos:
Location: Canuckland
Posts: 321
Kudos: 106
Kudos
Add Kudos
Bookmarks
Bookmark this Post
C. The easiest way is to graph it (without 2).

This problem is too hard for GMAT. Both functions have negative solutions that aren't too obvious, and probably not integer
avatar
thearch
Joined: 19 Feb 2005
Last visit: 23 Aug 2011
Posts: 212
Own Kudos:
Location: Milan Italy
Posts: 212
Kudos: 76
Kudos
Add Kudos
Bookmarks
Bookmark this Post
katrin
OK:

Solution for #1 is -1 or 2

So A isn't enough

Solution for # 2 is -2 or 2

So B isn't enough either

Combine A and B: the only way to satisfy both equations is to use 2.

What is wrong in my line of reasoning :roll: ?

Nothing, I suppose!
Just wanted a formal solution in the sense that you build up the equations from which you get 2 and -2
User avatar
AJB77
Joined: 30 May 2005
Last visit: 23 Sep 2008
Posts: 236
Own Kudos:
Posts: 236
Kudos: 51
Kudos
Add Kudos
Bookmarks
Bookmark this Post
In (1), we know |x^2| = x^2, so it reduces to solving

x-x^2=2 or x-x^2=-2

First one has no real solutions, second one has 2 and -1

So (1) gives 2 and -1 as possible values of x. Not suff

(2) alone does not tell us anything either

But together, they give x=2

C is the answer

If I saw this in my GMAT, I'd likely have solved (1) and assumed that (2) would not give us a unique solution and chosen C.
avatar
HongHu
Joined: 03 Jan 2005
Last visit: 25 Apr 2011
Posts: 962
Own Kudos:
Posts: 962
Kudos: 799
Kudos
Add Kudos
Bookmarks
Bookmark this Post
(1)|x-|x^2||=2
Since x^2>=0 it redueces to |x-x^2|=2
(x-x^2) is always less than zero if x is an integer (very easy to prove)
So it reduces to
x^2-x-2=0
x=2 or x=-1
Insufficient

(2)|x^2-|x||=2
If x>0
|x^2-x|=2
x=2 (solve as (1))

If x<0
x=-2 (by symmetry. You can solve it too like before)
Insufficient

Combined:
x=2
sufficient

I disagree this is too hard for GMAT. I say it is a perfect GMAT question.



Archived Topic
Hi there,
This topic has been closed and archived due to inactivity or violation of community quality standards. No more replies are possible here.
Where to now? Join ongoing discussions on thousands of quality questions in our Data Sufficiency (DS) Forum
Still interested in this question? Check out the "Best Topics" block above for a better discussion on this exact question, as well as several more related questions.
Thank you for understanding, and happy exploring!
Moderators:
Math Expert
110757 posts
GMAT Tutor
1922 posts