Last visit was: 21 Apr 2026, 07:54 It is currently 21 Apr 2026, 07:54
Close
GMAT Club Daily Prep
Thank you for using the timer - this advanced tool can estimate your performance and suggest more practice questions. We have subscribed you to Daily Prep Questions via email.

Customized
for You

we will pick new questions that match your level based on your Timer History

Track
Your Progress

every week, we’ll send you an estimated GMAT score based on your performance

Practice
Pays

we will pick new questions that match your level based on your Timer History
Not interested in getting valuable practice questions and articles delivered to your email? No problem, unsubscribe here.
Close
Request Expert Reply
Confirm Cancel
User avatar
Bunuel
User avatar
Math Expert
Joined: 02 Sep 2009
Last visit: 21 Apr 2026
Posts: 109,724
Own Kudos:
Given Kudos: 105,798
Products:
Expert
Expert reply
Active GMAT Club Expert! Tag them with @ followed by their username for a faster response.
Posts: 109,724
Kudos: 810,397
 [66]
3
Kudos
Add Kudos
63
Bookmarks
Bookmark this Post
Most Helpful Reply
User avatar
gmatophobia
User avatar
Quant Chat Moderator
Joined: 22 Dec 2016
Last visit: 19 Apr 2026
Posts: 3,173
Own Kudos:
11,438
 [15]
Given Kudos: 1,862
Location: India
Concentration: Strategy, Leadership
Posts: 3,173
Kudos: 11,438
 [15]
7
Kudos
Add Kudos
8
Bookmarks
Bookmark this Post
User avatar
JeffTargetTestPrep
User avatar
Target Test Prep Representative
Joined: 04 Mar 2011
Last visit: 05 Jan 2024
Posts: 2,974
Own Kudos:
8,708
 [6]
Given Kudos: 1,646
Status:Head GMAT Instructor
Affiliations: Target Test Prep
Expert
Expert reply
Posts: 2,974
Kudos: 8,708
 [6]
4
Kudos
Add Kudos
2
Bookmarks
Bookmark this Post
General Discussion
User avatar
DanTheGMATMan
Joined: 02 Oct 2015
Last visit: 18 Apr 2026
Posts: 380
Own Kudos:
267
 [1]
Given Kudos: 9
Expert
Expert reply
Posts: 380
Kudos: 267
 [1]
1
Kudos
Add Kudos
Bookmarks
Bookmark this Post
Classic exponents situation. Make the bases equal and then set the exponents equal:
User avatar
GMATinsight
User avatar
Major Poster
Joined: 08 Jul 2010
Last visit: 21 Apr 2026
Posts: 6,976
Own Kudos:
16,890
 [1]
Given Kudos: 128
Status:GMAT/GRE Tutor l Admission Consultant l On-Demand Course creator
Location: India
GMAT: QUANT+DI EXPERT
Schools: IIM (A) ISB '24
GMAT 1: 750 Q51 V41
WE:Education (Education)
Products:
Expert
Expert reply
Schools: IIM (A) ISB '24
GMAT 1: 750 Q51 V41
Posts: 6,976
Kudos: 16,890
 [1]
1
Kudos
Add Kudos
Bookmarks
Bookmark this Post
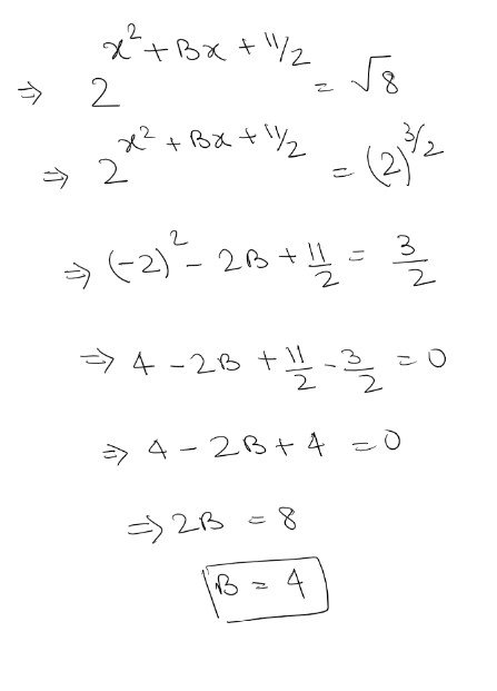
Bunuel
Suppose that x = -2 is the only number that satisfies \(2^{x^2 + Bx + \frac{11}{2}} = \sqrt{8}\). What is the value of B?

A. 3/4
B. 15/4
C. 4
D. 9/2
E. 19/4­
TRICK: It's important to bring both sides in same base so that their exponents may be equated. So in this question it's best to bring the right side in form of \(2^a\)

We know, \(2^{x^2 + Bx + \frac{11}{2}} = \sqrt{8}\)

but we also know that \(\sqrt{8} = 2^{3/2}\)

therefore, \(2^{x^2 + Bx + \frac{11}{2}} = 2^{3/2}\)

i.e. \(x^2 + Bx + \frac{11}{2} = \frac{3}{2}\)

i.e. \(x^2 + Bx + 4 = 0\)

Now, we have been given that x = -2

i.e. \((-2)^2 + B*(-2) + 4 = 0\)

i.e. B = 4

Answer: Option C

Related Video:

User avatar
etperferendis
Joined: 26 Aug 2025
Last visit: 07 Dec 2025
Posts: 3
Own Kudos:
Given Kudos: 1
Concentration: Strategy, General Management
GMAT Focus 1: 665 Q85 V82 DI82
GMAT Focus 1: 665 Q85 V82 DI82
Posts: 3
Kudos: 5
Kudos
Add Kudos
Bookmarks
Bookmark this Post
Cant i write root 8as 2 ^1 * 2^ 1/2
and hence
8 - 4B + 11 = 1?
Moderators:
Math Expert
109724 posts
Tuck School Moderator
853 posts