Official Explanation
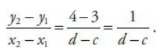
The segment whose endpoints are the centers of the two circles will have a length of 3 + 4 = 7, because the segment consists of the radii of the two circles meeting endpoint to endpoint on a straight line. Since the circles are tangent to the x-axis (intersecting at exactly one point), the radius of each circle, when drawn to the x-axis, will be perpendicular to the x-axis and will determine the center ’s y-coordinate. That is, one circle’s center is 3 units above the x-axis, and one center is 4 units above the x–axis. Then for some constants, c and d, we can think of the coordinates of the two centers as (c,3) and (d,4). To find the slope of the segment, find change in y over change in x, or

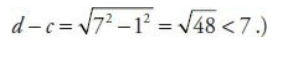
We can infer that d – c is less than 7, because it represents the length of the horizontal leg of the right triangle depicted, which must be less than the length of the triangle’s hypotenuse, 7.

Then

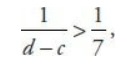
so
(A) is greater. For positive values, a larger number in the denominator makes the fraction smaller.
Answer: AAttachment:
GMAT-Club-Forum-67vnos98.png [ 123.31 KiB | Viewed 415 times ]
Attachment:
GMAT-Club-Forum-qx2uzm4l.png [ 17.71 KiB | Viewed 416 times ]
Attachment:
GMAT-Club-Forum-w7tfhe18.png [ 14.19 KiB | Viewed 416 times ]
Attachment:
GMAT-Club-Forum-ifd8dh39.png [ 6.87 KiB | Viewed 418 times ]