Official ExplanationIf s is the side length of a cube, then the cube’s volume = \(s^3\). Here, \(64 = s^3,\) so \(s = 4,\). Then AB = 4, and MA = NB = 2 in the figure below, because M and N are midpoints of two of the edges.

Now draw MB and form the two right triangles, MAB and MBN.

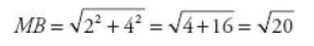
MB is the hypotenuse of a right triangle with legs equal to 2 and 4, so

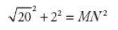
by the Pythagorean Theorem. This length becomes a leg in the second right triangle MBN.

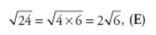
Therefore,
Answer: EAttachment:
GMAT-Club-Forum-pcayy9do.png [ 9.54 KiB | Viewed 283 times ]
Attachment:
GMAT-Club-Forum-qlkecpct.png [ 11.33 KiB | Viewed 283 times ]
Attachment:
GMAT-Club-Forum-ajb0953u.png [ 6.8 KiB | Viewed 285 times ]
Attachment:
GMAT-Club-Forum-vrvpczp1.png [ 4.52 KiB | Viewed 285 times ]
Attachment:
GMAT-Club-Forum-rk501dgi.png [ 5.98 KiB | Viewed 283 times ]