Last visit was: 18 Nov 2025, 23:53 It is currently 18 Nov 2025, 23:53
Close
GMAT Club Daily Prep
Thank you for using the timer - this advanced tool can estimate your performance and suggest more practice questions. We have subscribed you to Daily Prep Questions via email.

Customized
for You

we will pick new questions that match your level based on your Timer History

Track
Your Progress

every week, we’ll send you an estimated GMAT score based on your performance

Practice
Pays

we will pick new questions that match your level based on your Timer History
Not interested in getting valuable practice questions and articles delivered to your email? No problem, unsubscribe here.
Close
Request Expert Reply
Confirm Cancel
User avatar
Bunuel
User avatar
Math Expert
Joined: 02 Sep 2009
Last visit: 18 Nov 2025
Posts: 105,378
Own Kudos:
Given Kudos: 99,977
Products:
Expert
Expert reply
Active GMAT Club Expert! Tag them with @ followed by their username for a faster response.
Posts: 105,378
Kudos: 778,143
 [20]
Kudos
Add Kudos
19
Bookmarks
Bookmark this Post
Most Helpful Reply
User avatar
ShreyasJavahar
Joined: 30 Sep 2019
Last visit: 24 Dec 2022
Posts: 93
Own Kudos:
67
 [8]
Given Kudos: 421
Location: India
GMAT 1: 700 Q49 V37
GMAT 2: 720 Q49 V38
GMAT 2: 720 Q49 V38
Posts: 93
Kudos: 67
 [8]
5
Kudos
Add Kudos
3
Bookmarks
Bookmark this Post
General Discussion
User avatar
nick1816
User avatar
Retired Moderator
Joined: 19 Oct 2018
Last visit: 06 Nov 2025
Posts: 1,849
Own Kudos:
8,237
 [2]
Given Kudos: 707
Location: India
Posts: 1,849
Kudos: 8,237
 [2]
Kudos
Add Kudos
2
Bookmarks
Bookmark this Post
User avatar
nick1816
User avatar
Retired Moderator
Joined: 19 Oct 2018
Last visit: 06 Nov 2025
Posts: 1,849
Own Kudos:
Given Kudos: 707
Location: India
Posts: 1,849
Kudos: 8,237
Kudos
Add Kudos
Bookmarks
Bookmark this Post
Difference between the y intercepts is not equal to the distance between 2 lines except when both lines are parallel to x-axis.

Suppose angle ABC = x

Difference between y-intercepts= AB

Distance between the 2 lines= AC

AB*sin(x)= AC


ShreyasJavahar
Bunuel
The distance between two parallel lines given by equation \(x + 2y - 3 = 0\) and \(2x + 4y - 17 = 0\) is approximately:

A. 0.85
B. 1.25
C. 1.95
D. 2.5
E. 3.25


Are You Up For the Challenge: 700 Level Questions

transform the equations into slope intercept form
1)x + 2y - 3 =0 -> y= -(x/2) + 3/2
2)2x + 4y - 17 = 0 -> y = -(x/2) + 17/4

Since the lines are parallel, you can simply take the difference between the y intercepts to get the distance between the lines

Distance = 17/4 - 3/2 = 11/4 ≈ 2.5.

Also, one could intuitively understand that 11/4 must be greater than 2 and lesser than 3, answer choice (D) -> 2.5

Attachments

Untitled.png
Untitled.png [ 5.01 KiB | Viewed 7311 times ]

User avatar
ShreyasJavahar
Joined: 30 Sep 2019
Last visit: 24 Dec 2022
Posts: 93
Own Kudos:
Given Kudos: 421
Location: India
GMAT 1: 700 Q49 V37
GMAT 2: 720 Q49 V38
GMAT 2: 720 Q49 V38
Posts: 93
Kudos: 67
Kudos
Add Kudos
Bookmarks
Bookmark this Post
nick1816
Difference between the y intercepts is not equal to the distance between 2 lines except when both lines are parallel to x-axis.

Suppose angle ABC = x

Difference between y-intercepts= AB

Distance between the 2 lines= AC

AB*sin(x)= AC


ShreyasJavahar
Bunuel
The distance between two parallel lines given by equation \(x + 2y - 3 = 0\) and \(2x + 4y - 17 = 0\) is approximately:

A. 0.85
B. 1.25
C. 1.95
D. 2.5
E. 3.25


Are You Up For the Challenge: 700 Level Questions

transform the equations into slope intercept form
1)x + 2y - 3 =0 -> y= -(x/2) + 3/2
2)2x + 4y - 17 = 0 -> y = -(x/2) + 17/4

Since the lines are parallel, you can simply take the difference between the y intercepts to get the distance between the lines

Distance = 17/4 - 3/2 = 11/4 ≈ 2.5.

Also, one could intuitively understand that 11/4 must be greater than 2 and lesser than 3, answer choice (D) -> 2.5

Ahh, you're right, my bad. Thanks for pointing it out.
User avatar
SaikatRoy
Joined: 03 Jan 2020
Last visit: 20 Nov 2020
Posts: 33
Own Kudos:
Posts: 33
Kudos: 15
Kudos
Add Kudos
Bookmarks
Bookmark this Post
The equations given are
1)x + 2y - 3 =0
2)2x + 4y - 17 = 0

The same equations in y=mx + c form gives
1) y= -(x/2) + 3/2
2) y = -(x/2) + 17/4

Now both lines being parallel have same slopes.
Also for distance between two lines, the distance between y intercepts is what we need to calculate.
Hence y intercept putting x=0 gives 3/2 and 17/4.
Hence Distance = 17/4 - 3/2 = 11/4 or 2.5

Answer choice is (D)
User avatar
exc4libur
Joined: 24 Nov 2016
Last visit: 22 Mar 2022
Posts: 1,684
Own Kudos:
1,447
 [1]
Given Kudos: 607
Location: United States
Posts: 1,684
Kudos: 1,447
 [1]
1
Kudos
Add Kudos
Bookmarks
Bookmark this Post
Bunuel
The distance between two parallel lines given by equation \(x + 2y - 3 = 0\) and \(2x + 4y - 17 = 0\) is approximately:

A. 0.85
B. 1.25
C. 1.95
D. 2.5
E. 3.25

Distance Parallel Lines: \(\frac{|c_2-c_1|}{\sqrt{Aˆ2+Bˆ2}}\)

Line form: \(Ax+By+C\) where A,B_1 and A,B_2 must be equal

\(x + 2y - 3 = 0…2x+4y-6\) and \(2x + 4y - 17 = 0\)

A=2, B=4, c_1=-6, c_2=-17

\(\frac{|c_2-c_1|}{\sqrt{Aˆ2+Bˆ2}}=\frac{|-17-(-6)|}{\sqrt{2ˆ2+4ˆ2}}=\frac{11}{\sqrt{20}}=aprox2.5\)

Ans (D)
User avatar
Maria240895chile
Joined: 23 Apr 2021
Last visit: 07 Jun 2023
Posts: 115
Own Kudos:
59
 [2]
Given Kudos: 115
Posts: 115
Kudos: 59
 [2]
1
Kudos
Add Kudos
1
Bookmarks
Bookmark this Post
Bunuel
The distance between two parallel lines given by equation \(x + 2y - 3 = 0\) and \(2x + 4y - 17 = 0\) is approximately:

A. 0.85
B. 1.25
C. 1.95
D. 2.5
E. 3.25


Are You Up For the Challenge: 700 Level Questions

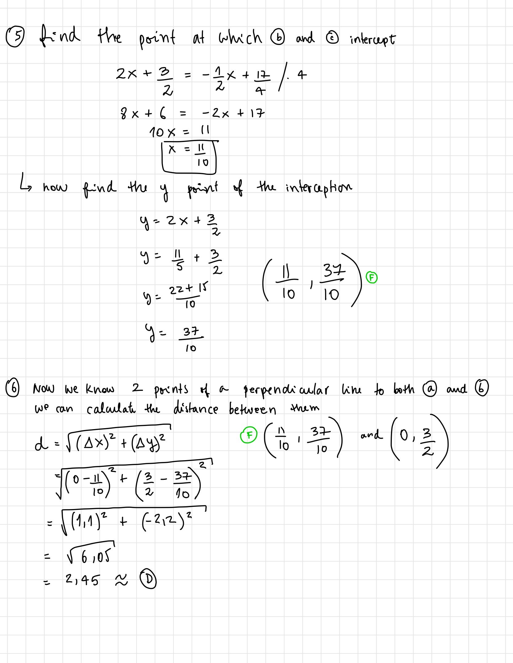
I do not like to use formulas when you can use other method, so basically what I did is draw both lines, find a perpendicular line to both lines, and with equations, points and slope I was able to find a new point at the intersection and then apply the formula for distante of 2 points. See the attachment with the solution.
Attachments

C-3.jpg
C-3.jpg [ 527.36 KiB | Viewed 3624 times ]

C-4.jpg
C-4.jpg [ 439.78 KiB | Viewed 3611 times ]

User avatar
bumpbot
User avatar
Non-Human User
Joined: 09 Sep 2013
Last visit: 04 Jan 2021
Posts: 38,582
Own Kudos:
Posts: 38,582
Kudos: 1,079
Kudos
Add Kudos
Bookmarks
Bookmark this Post
Hello from the GMAT Club BumpBot!

Thanks to another GMAT Club member, I have just discovered this valuable topic, yet it had no discussion for over a year. I am now bumping it up - doing my job. I think you may find it valuable (esp those replies with Kudos).

Want to see all other topics I dig out? Follow me (click follow button on profile). You will receive a summary of all topics I bump in your profile area as well as via email.
Moderators:
Math Expert
105378 posts
Tuck School Moderator
805 posts