Last visit was: 19 May 2026, 02:17 It is currently 19 May 2026, 02:17
Close
GMAT Club Daily Prep
Thank you for using the timer - this advanced tool can estimate your performance and suggest more practice questions. We have subscribed you to Daily Prep Questions via email.

Customized
for You

we will pick new questions that match your level based on your Timer History

Track
Your Progress

every week, we’ll send you an estimated GMAT score based on your performance

Practice
Pays

we will pick new questions that match your level based on your Timer History
Not interested in getting valuable practice questions and articles delivered to your email? No problem, unsubscribe here.
Close
Request Expert Reply
Confirm Cancel
User avatar
Bunuel
User avatar
Math Expert
Joined: 02 Sep 2009
Last visit: 18 May 2026
Posts: 110,695
Own Kudos:
Given Kudos: 106,313
Products:
Expert
Expert reply
Active GMAT Club Expert! Tag them with @ followed by their username for a faster response.
Posts: 110,695
Kudos: 815,651
 [46]
4
Kudos
Add Kudos
42
Bookmarks
Bookmark this Post
Most Helpful Reply
User avatar
MartyMurray
Joined: 11 Aug 2023
Last visit: 19 May 2026
Posts: 1,928
Own Kudos:
7,285
 [13]
Given Kudos: 218
GMAT 1: 800 Q51 V51
Expert
Expert reply
Active GMAT Club Expert! Tag them with @ followed by their username for a faster response.
GMAT 1: 800 Q51 V51
Posts: 1,928
Kudos: 7,285
 [13]
4
Kudos
Add Kudos
9
Bookmarks
Bookmark this Post
User avatar
gmatophobia
User avatar
Quant Chat Moderator
Joined: 22 Dec 2016
Last visit: 10 May 2026
Posts: 3,173
Own Kudos:
11,575
 [5]
Given Kudos: 1,860
Location: India
Concentration: Strategy, Leadership
Posts: 3,173
Kudos: 11,575
 [5]
1
Kudos
Add Kudos
4
Bookmarks
Bookmark this Post
General Discussion
User avatar
Paras96
Joined: 11 Sep 2022
Last visit: 30 Dec 2023
Posts: 455
Own Kudos:
Given Kudos: 2
Location: India
Paras: Bhawsar
GMAT 1: 590 Q47 V24
GMAT 2: 580 Q49 V21
GMAT 3: 700 Q49 V35
GPA: 3.2
WE:Project Management (Other)
GMAT 3: 700 Q49 V35
Posts: 455
Kudos: 338
Kudos
Add Kudos
Bookmarks
Bookmark this Post
Step 1: Multiply x by 3.
= 3x
Step 2: Take the square root of the result of step 1.
= (3x)^0.5
Step 3: Take the reciprocal of the result of step 2.
=(3x)^(-0.5)
Step 4: Add 1 to the result of step 3.
= 1 + [(3x)^(-0.5)] = ( 1 + [(3x)^(0.5)] )/ [(3x)^(0.5)]
Step 5: Square the result of step 4.
( 1 + [(3x)^(0.5)] )/ [(3x)^(0.5)]^2
= ( 1 + [(3x)^(0.5)] )^2/3x
= [1 + 3x + 2*(3x)^(0.5)]/3x

Hence D
User avatar
JeffTargetTestPrep
User avatar
Target Test Prep Representative
Joined: 04 Mar 2011
Last visit: 05 Jan 2024
Posts: 2,974
Own Kudos:
Given Kudos: 1,646
Status:Head GMAT Instructor
Affiliations: Target Test Prep
Expert
Expert reply
Posts: 2,974
Kudos: 8,744
Kudos
Add Kudos
Bookmarks
Bookmark this Post
Bunuel
Step 1: Multiply x by 3.
Step 2: Take the square root of the result of step 1.
Step 3: Take the reciprocal of the result of step 2.
Step 4: Add 1 to the result of step 3.
Step 5: Square the result of step 4.
The five steps shown will result in an expression equivalent to which of the following?

A. \(\frac{1 + 3x}{3x}\)

B. \(\frac{1 + 9x}{9x}\)

C. \(\frac{1}{3x + 3\sqrt{3x} +1}\)

D. \(\frac{1 + 2\sqrt{3x} +3x}{3x}\)

E. \(\frac{1 + 6\sqrt{x} +9x}{9x}\)

Step 1: 3x

Step 2: √(3x)

Step 3: 1/√(3x)

Step 4: 1/√(3x) + 1 =1/√(3x) + √(3x)/√(3x) =
[1 + √(3x)]/√(3x)

Step 5: [[1 + √(3x)]/√(3x)]^2 =
(1 + 2√(3x) + 3x)/(3x)

Answer: D
User avatar
HarshavardhanR
Joined: 16 Mar 2023
Last visit: 19 May 2026
Posts: 513
Own Kudos:
588
 [2]
Given Kudos: 72
Status:Independent GMAT Tutor
Affiliations: Ex - Director, Subject Matter Expertise at e-GMAT
Expert
Expert reply
Posts: 513
Kudos: 588
 [2]
2
Kudos
Add Kudos
Bookmarks
Bookmark this Post


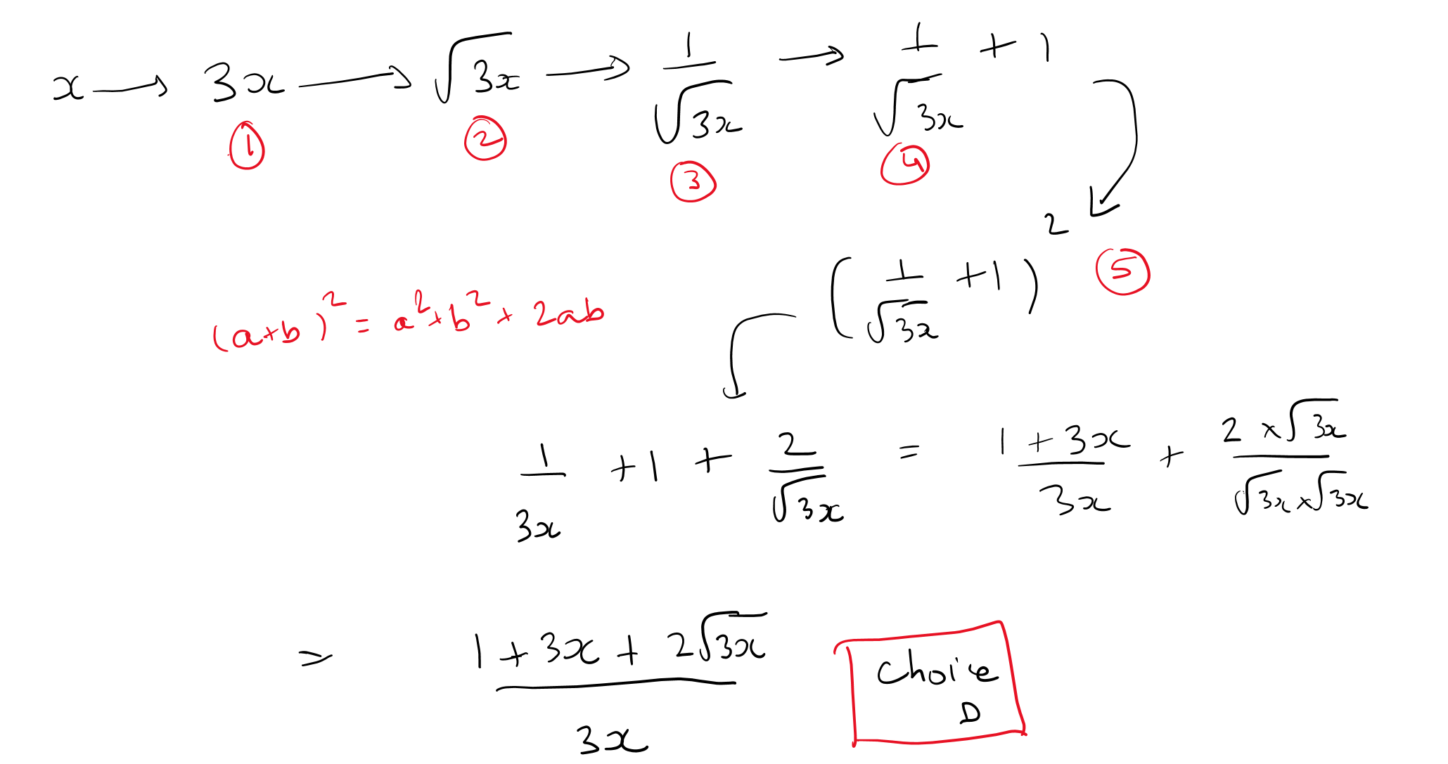
Harsha
Attachment:
GMAT-Club-Forum-v206nk4f.png
GMAT-Club-Forum-v206nk4f.png [ 137.23 KiB | Viewed 6235 times ]
User avatar
reighlyschultz
Joined: 21 Jul 2022
Last visit: 24 Oct 2025
Posts: 5
Own Kudos:
2
 [1]
Given Kudos: 6
Products:
Posts: 5
Kudos: 2
 [1]
1
Kudos
Add Kudos
Bookmarks
Bookmark this Post
What might be easier for some people in this case is to plug in a number as well since we are multiplying by 3 and then taking a square root it makes sense to take 3 as our "x".

1. 3*3=9
2. Square Root of 9 is 3
3. Reciprocal of 3 is 1/3
4.Add 1 which is 3/3 so your new number is 4/3
5. Square 4/3 to get 16/9. Which is the number you will be checking for.

A. (1+3*3)/3*3 No
B. (1+9*3)/9*3 No
ETC
Until D where (1+2*Squared root (3*3) + 3*3)/3*3 gives us

(1+3+9)/3*3=16/9 Answer Choice D
Bunuel
Step 1: Multiply x by 3.
Step 2: Take the square root of the result of step 1.
Step 3: Take the reciprocal of the result of step 2.
Step 4: Add 1 to the result of step 3.
Step 5: Square the result of step 4.
The five steps shown will result in an expression equivalent to which of the following?

A. \(\frac{1 + 3x}{3x}\)

B. \(\frac{1 + 9x}{9x}\)

C. \(\frac{1}{3x + 3\sqrt{3x} +1}\)

D. \(\frac{1 + 2\sqrt{3x} +3x}{3x}\)

E. \(\frac{1 + 6\sqrt{x} +9x}{9x}\)
User avatar
ravjaz
Joined: 18 Mar 2025
Last visit: 17 May 2026
Posts: 15
Own Kudos:
Given Kudos: 46
Location: Malaysia
Posts: 15
Kudos: 1
Kudos
Add Kudos
Bookmarks
Bookmark this Post
Why did we not rationalise the donminator after step 4? I got confused doing this and could not get to the right answer :(
MartyMurray
The five steps shown will result in an expression equivalent to which of the following?

Step 1: Multiply x by 3.

\(3x\)

Step 2: Take the square root of the result of step 1.

\(\sqrt{3x}\)

Step 3: Take the reciprocal of the result of step 2.

\(\frac{1}{\sqrt{3x}\)

Step 4: Add 1 to the result of step 3.

\(\frac{1}{\sqrt{3x}} + 1 = \frac{1 + \sqrt{3x}}{\sqrt{3x}}\)

Step 5: Square the result of step 4.

\(\frac{1 + 2\sqrt{3x} +3x}{3x}\)

The correct answer is (D).
User avatar
bumpbot
User avatar
Non-Human User
Joined: 09 Sep 2013
Last visit: 04 Jan 2021
Posts: 39,098
Own Kudos:
Posts: 39,098
Kudos: 1,125
Kudos
Add Kudos
Bookmarks
Bookmark this Post
Automated notice from GMAT Club BumpBot:

A member just gave Kudos to this thread, showing it’s still useful. I’ve bumped it to the top so more people can benefit. Feel free to add your own questions or solutions.

This post was generated automatically.
Moderators:
Math Expert
110695 posts
Tuck School Moderator
852 posts