Last visit was: 24 Apr 2026, 17:02 It is currently 24 Apr 2026, 17:02
Close
GMAT Club Daily Prep
Thank you for using the timer - this advanced tool can estimate your performance and suggest more practice questions. We have subscribed you to Daily Prep Questions via email.

Customized
for You

we will pick new questions that match your level based on your Timer History

Track
Your Progress

every week, we’ll send you an estimated GMAT score based on your performance

Practice
Pays

we will pick new questions that match your level based on your Timer History
Not interested in getting valuable practice questions and articles delivered to your email? No problem, unsubscribe here.
Close
Request Expert Reply
Confirm Cancel
605-655 (Medium)|   Number Properties|                                 
User avatar
Walkabout
Joined: 02 Dec 2012
Last visit: 04 Feb 2026
Posts: 172
Own Kudos:
Given Kudos: 51
Products:
Posts: 172
Kudos: 29,271
 [451]
30
Kudos
Add Kudos
419
Bookmarks
Bookmark this Post
Most Helpful Reply
User avatar
Bunuel
User avatar
Math Expert
Joined: 02 Sep 2009
Last visit: 24 Apr 2026
Posts: 109,818
Own Kudos:
Given Kudos: 105,873
Products:
Expert
Expert reply
Active GMAT Club Expert! Tag them with @ followed by their username for a faster response.
Posts: 109,818
Kudos: 811,078
 [148]
72
Kudos
Add Kudos
76
Bookmarks
Bookmark this Post
avatar
PareshGmat
Joined: 27 Dec 2012
Last visit: 10 Jul 2016
Posts: 1,531
Own Kudos:
8,274
 [62]
Given Kudos: 193
Status:The Best Or Nothing
Location: India
Concentration: General Management, Technology
WE:Information Technology (Computer Software)
Posts: 1,531
Kudos: 8,274
 [62]
46
Kudos
Add Kudos
16
Bookmarks
Bookmark this Post
User avatar
BrentGMATPrepNow
User avatar
Major Poster
Joined: 12 Sep 2015
Last visit: 31 Oct 2025
Posts: 6,733
Own Kudos:
36,459
 [32]
Given Kudos: 799
Location: Canada
Expert
Expert reply
Posts: 6,733
Kudos: 36,459
 [32]
18
Kudos
Add Kudos
14
Bookmarks
Bookmark this Post
Walkabout
If 3 < x < 100, for how many values of x is x/3 the square of a prime number?

(A) Two
(B) Three
(C) Four
(D) Five
(E) Nine

We want values of x (where 3 < x < 100) such that x/3 is the square of a prime number.
So, let's start checking squares of prime numbers.
Some prime numbers are 2, 3, 5, 7, 11, etc

2² = 4 and (3)(4) = 12. So, x = 12 meets the given conditions.
3² = 9 and (3)(9) = 27. So, x = 27 meets the given condition
5² = 25 and (3)(25) = 75. So, x = 75 meets the given conditions.
7² = 49 and (3)(49) = 147. No good. We need values of x such that 3 < x < 100

So, there are exactly 3 values of x that meet the given conditions.
Answer: B
General Discussion
User avatar
Abhii46
Joined: 12 Mar 2012
Last visit: 31 Jul 2015
Posts: 64
Own Kudos:
553
 [6]
Given Kudos: 22
Location: India
Concentration: Technology, Strategy
GMAT 1: 710 Q49 V36
GPA: 3.2
WE:Information Technology (Computer Software)
GMAT 1: 710 Q49 V36
Posts: 64
Kudos: 553
 [6]
4
Kudos
Add Kudos
2
Bookmarks
Bookmark this Post
x/3 is a square or we can take x/3 as y^2; x = y^2 * 3.
Since x should be between 3 and 100, y^2 can take squares 4, 9 and 25.
Answer B.
avatar
karanamin
Joined: 26 May 2012
Last visit: 27 Jun 2013
Posts: 12
Own Kudos:
32
 [18]
Given Kudos: 7
Concentration: Marketing, Technology
GMAT Date: 09-17-2012
Products:
Posts: 12
Kudos: 32
 [18]
15
Kudos
Add Kudos
3
Bookmarks
Bookmark this Post
For x/3 to be a square of a prime number, x = (prime no)^2 x 3

List squares of some prime nos:
4,9,25,49

x can be:

4x3, 9x3 and 25x3

Anything above 25x3 will make x>100, but we are given that 3<x<100

Hence, 3 nos, Option B.
User avatar
Edvento
Joined: 08 Apr 2012
Last visit: 06 Jul 2014
Posts: 95
Own Kudos:
247
 [6]
Given Kudos: 14
Posts: 95
Kudos: 247
 [6]
2
Kudos
Add Kudos
4
Bookmarks
Bookmark this Post
Walkabout
If 3 < x < 100, for how many values of x is x/3 the square of a prime number?

(A) Two
(B) Three
(C) Four
(D) Five
(E) Nine

I think Bunnuel has given a perfect explanation that needs no further detailing.

I just want to highlight a point in these types of questions. For the questions that ask "how many values of x".. they will usually be of consecutive numbers. But when the numbers asked are primes, then it is manual counting that is required because prime numbers do not follow any standard pattern. They will definitely be countable and the total will usually be less than 25 in GMAT.
avatar
anu1984
Joined: 28 Feb 2012
Last visit: 30 Aug 2013
Posts: 1
Own Kudos:
1
 [1]
Given Kudos: 5
1
Kudos
Add Kudos
Bookmarks
Bookmark this Post
Walkabout
If 3 < x < 100, for how many values of x is x/3 the square of a prime number?

(A) Two
(B) Three
(C) Four
(D) Five
(E) Nine


I got confused in this question...why are we considering values 2 and 3 when it is given that 3<x<100...
User avatar
Bunuel
User avatar
Math Expert
Joined: 02 Sep 2009
Last visit: 24 Apr 2026
Posts: 109,818
Own Kudos:
811,078
 [9]
Given Kudos: 105,873
Products:
Expert
Expert reply
Active GMAT Club Expert! Tag them with @ followed by their username for a faster response.
Posts: 109,818
Kudos: 811,078
 [9]
6
Kudos
Add Kudos
3
Bookmarks
Bookmark this Post
anu1984
Walkabout
If 3 < x < 100, for how many values of x is x/3 the square of a prime number?

(A) Two
(B) Three
(C) Four
(D) Five
(E) Nine


I got confused in this question...why are we considering values 2 and 3 when it is given that 3<x<100...

The question is: for how many values of x is x/3 the square of a prime number.

The answer is: for three values of x (namely for 12, 27, and 75) x/3 is the square of a prime number.

Hope it's clear.
User avatar
russ9
Joined: 15 Aug 2013
Last visit: 20 Apr 2015
Posts: 170
Own Kudos:
Given Kudos: 23
Posts: 170
Kudos: 426
Kudos
Add Kudos
Bookmarks
Bookmark this Post
Bunuel
russ9
Bunuel

Going through the explanation, I get *why* the answer is 3 but unfortunately, I wouldn't have been able to come to that solution on my own.

If I treat this problem as substitution, i can sub x=Prime^2 * 3 and then solve but why did you take the other route? Why did you divide both sides of the inequality by 3?

You should use whichever approach suits you the best and gives the correct answer in minimum time.

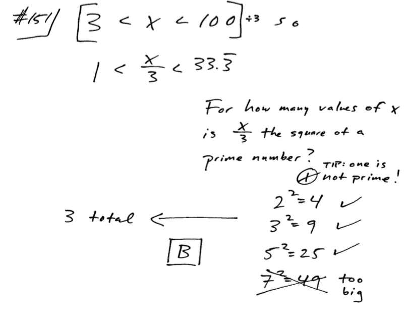
As for my solution, I divided by 3 because this way I directly get the range for x/3 (\(1<\frac{x}{3}<33\frac{1}{3}\)), and it becomes easier to evaluate the number of values for it.

Hi Bunuel,

Can you perhaps recommend a few similar problems?

Thanks!
User avatar
Bunuel
User avatar
Math Expert
Joined: 02 Sep 2009
Last visit: 24 Apr 2026
Posts: 109,818
Own Kudos:
811,078
 [1]
Given Kudos: 105,873
Products:
Expert
Expert reply
Active GMAT Club Expert! Tag them with @ followed by their username for a faster response.
Posts: 109,818
Kudos: 811,078
 [1]
Kudos
Add Kudos
1
Bookmarks
Bookmark this Post
russ9
Bunuel
russ9


You should use whichever approach suits you the best and gives the correct answer in minimum time.

As for my solution, I divided by 3 because this way I directly get the range for x/3 (\(1<\frac{x}{3}<33\frac{1}{3}\)), and it becomes easier to evaluate the number of values for it.

Hi Bunuel,

Can you perhaps recommend a few similar problems?

Thanks!

Check this one: for-how-many-values-of-k-is-12-12-the-least-common-multiple-86737.html
avatar
GMATarget700
Joined: 18 Oct 2014
Last visit: 02 Nov 2014
Posts: 1
Own Kudos:
3
 [3]
Given Kudos: 4
Posts: 1
Kudos: 3
 [3]
3
Kudos
Add Kudos
Bookmarks
Bookmark this Post
Walkabout
If 3 < x < 100, for how many values of x is x/3 the square of a prime number?

(A) Two
(B) Three
(C) Four
(D) Five
(E) Nine


What the question stem asks us is how many numbers within 100 are 3 times the square of a prime number?

(2^2)* 3 = 12 - less than 100 and greater than 3
(3^3)* 3 = 27 - less than 100
(5^5)* 3 = 75 - less than 100

We don't have to consider next prime 7 since (7*7)*3 > 100

Thus only 3 possible numbers.
avatar
OptimusPrepJanielle
Joined: 06 Nov 2014
Last visit: 08 Sep 2017
Posts: 1,776
Own Kudos:
Given Kudos: 23
Expert
Expert reply
Posts: 1,776
Kudos: 1,507
Kudos
Add Kudos
Bookmarks
Bookmark this Post
nahid78
If 3 < x < 100, for how many values of x is the square of a prime number?

(A) Two
(B) Three
(C) Four
(D) Five
(E) Nine

Hi nahid78,

If your question asks how many values of x, then the answer will be 5
The values would be 4, 9, 25, 49, 81

But if you have mistyped the question and we are required to find the values of (x/3)
then the values would be 12, 27, 75. Three values
User avatar
mcelroytutoring
Joined: 10 Jul 2015
Last visit: 19 Mar 2026
Posts: 1,206
Own Kudos:
2,675
 [3]
Given Kudos: 282
Status:Expert GMAT, GRE, and LSAT Tutor / Coach
Affiliations: Harvard University, A.B. with honors in Government, 2002
Location: United States (CO)
Age: 45 (10 years and counting on GMAT Club!)
GMAT 1: 770 Q47 V48
GMAT 2: 730 Q44 V47
GMAT 3: 750 Q50 V42
GMAT 4: 730 Q48 V42 (Online)
GRE 1: Q168 V169
GRE 2: Q170 V170
Expert
Expert reply
GMAT 4: 730 Q48 V42 (Online)
GRE 1: Q168 V169
GRE 2: Q170 V170
Posts: 1,206
Kudos: 2,675
 [3]
3
Kudos
Add Kudos
Bookmarks
Bookmark this Post
Attached is a visual that should help.
Attachments

Screen Shot 2016-05-25 at 9.43.06 PM.png
Screen Shot 2016-05-25 at 9.43.06 PM.png [ 104.41 KiB | Viewed 93050 times ]

User avatar
ScottTargetTestPrep
User avatar
Target Test Prep Representative
Joined: 14 Oct 2015
Last visit: 24 Apr 2026
Posts: 22,286
Own Kudos:
26,534
 [5]
Given Kudos: 302
Status:Founder & CEO
Affiliations: Target Test Prep
Location: United States (CA)
Expert
Expert reply
Active GMAT Club Expert! Tag them with @ followed by their username for a faster response.
Posts: 22,286
Kudos: 26,534
 [5]
3
Kudos
Add Kudos
2
Bookmarks
Bookmark this Post
Walkabout
If 3 < x < 100, for how many values of x is x/3 the square of a prime number?

(A) Two
(B) Three
(C) Four
(D) Five
(E) Nine

An easy way to solve this problem is to first write out all the perfect squares below 100 that result from squaring a prime number. The prime numbers to consider are 2, 3, 5, and 7. The next prime number, 11, yields 121 when it is squared, which is too large, and so we only consider the following four squared prime numbers:

4, 9, 25, 49

(Keep in mind that it’s useful to have all the perfect squares below 100 memorized and note that 4 = 2^2, 9 = 3^2, 25 = 5^2 and 49 = 7^2.)

Next, we can write the question stem as an equation.

x/3 = (prime)^2 . Now solve for x.

x = 3(prime)^2.

From our list we see that there are 3 values (4, 9 and 25) that, when we multiply them by 3, the product will remain under 100: 3(4) = 12, 3(9) = 27 and 3(25) = 75. Thus, the answer is that there are 3 values (12, 27, and 75) such that x/3 is the square of a prime number.

Answer B
User avatar
JeffTargetTestPrep
User avatar
Target Test Prep Representative
Joined: 04 Mar 2011
Last visit: 05 Jan 2024
Posts: 2,974
Own Kudos:
8,711
 [3]
Given Kudos: 1,646
Status:Head GMAT Instructor
Affiliations: Target Test Prep
Expert
Expert reply
Posts: 2,974
Kudos: 8,711
 [3]
2
Kudos
Add Kudos
1
Bookmarks
Bookmark this Post
Walkabout
If 3 < x < 100, for how many values of x is x/3 the square of a prime number?

(A) Two
(B) Three
(C) Four
(D) Five
(E) Nine

We can write out all the perfect squares below 100 that result from squaring a prime number. The prime numbers to consider are 2, 3, 5, and 7. The next prime number, 11, yields 121 when it is squared, which is too large, and so we only consider the following four squared prime numbers:

4, 9, 25, 49

(Keep in mind that it’s useful to have all the perfect squares below 100 memorized and note that 4 = 2^2, 9 = 3^2, 25 = 5^2, and 49 = 7^2.)

Next, we can write the question stem as an equation.

x/3 = (prime)^2

Solving for x, we have:

x = 3(prime)^2

From our list, we see that there are 3 values (4, 9, and 25) that, when we multiply them by 3, have a product that is less than 100: 3(4) = 12, 3(9) = 27, and 3(25) = 75. Thus, there are 3 values (12, 27, and 75) such that x/3 is the square of a prime number.

Answer: B
User avatar
EMPOWERMathExpert
Joined: 15 Sep 2018
Last visit: 27 Nov 2018
Posts: 31
Own Kudos:
Posts: 31
Kudos: 50
Kudos
Add Kudos
Bookmarks
Bookmark this Post
First, we need to find the range of values for \(\frac{x}{3}\).

Given that \(3<x<100,\) we can divide all sides of the inequality and have

\(\frac{3}{3}<\frac{x}{3}<\frac{100}{3}\)
\(1<\frac{x}{3}<33\frac{1}{3}\)

With this range, there are only a few numbers that are squares of a prime number. They are:
\(2^2=4\), \(3^2=9\), \(5^2=25\)

The final answer is .
User avatar
avigutman
Joined: 17 Jul 2019
Last visit: 30 Sep 2025
Posts: 1,285
Own Kudos:
Given Kudos: 66
Location: Canada
GMAT 1: 780 Q51 V45
GMAT 2: 780 Q50 V47
GMAT 3: 770 Q50 V45
Expert
Expert reply
GMAT 3: 770 Q50 V45
Posts: 1,285
Kudos: 1,908
Kudos
Add Kudos
Bookmarks
Bookmark this Post
Video solution from Quant Reasoning:
Subscribe for more: https://www.youtube.com/QuantReasoning? ... irmation=1
User avatar
EMPOWERgmatRichC
User avatar
Major Poster
Joined: 19 Dec 2014
Last visit: 31 Dec 2023
Posts: 21,777
Own Kudos:
13,047
 [1]
Given Kudos: 450
Status:GMAT Assassin/Co-Founder
Affiliations: EMPOWERgmat
Location: United States (CA)
GMAT 1: 800 Q51 V49
GRE 1: Q170 V170
Expert
Expert reply
GMAT 1: 800 Q51 V49
GRE 1: Q170 V170
Posts: 21,777
Kudos: 13,047
 [1]
1
Kudos
Add Kudos
Bookmarks
Bookmark this Post
Hi All,

We’re told that 3 < X < 100. We’re asked for the number of possible values for X that would make X/3 the SQUARE of a PRIME NUMBER. From the answer choices, we know that there are at least 2 values, but no more than 9 values, that fit what we’re asked for, so we should be able to list them all out without too much difficulty.

To start, it’s worth noting that since X < 100, we know that the value of X/3 will be 33 or less. We’re looking for SQUARES of PRIME NUMBERS, so the number of possibilities is going to be really ‘limited’; we can start at the smallest Prime and work up…

2; 2^2 = 4…. If X=12, then 12/3 = 4 which is a square of a prime

3: 3^2 = 9… If X = 27, then 27/3 = 9 which is a square of a prime

5: 5^2 = 25… If X = 75, then 75/3 = 25 which is a square of a prime

7: 7^2 = 49… Here, we would need X to be GREATER than 100 (specifically 147, which is not allowed).

Thus, there are only 3 possible values of X that fit the ‘restrictions’ in the prompt.

Final Answer:
GMAT Assassins aren’t born, they’re made,
Rich
User avatar
woohoo921
Joined: 04 Jun 2020
Last visit: 17 Mar 2023
Posts: 493
Own Kudos:
Given Kudos: 623
Posts: 493
Kudos: 150
Kudos
Add Kudos
Bookmarks
Bookmark this Post
Walkabout
If 3 < x < 100, for how many values of x is x/3 the square of a prime number?

(A) Two
(B) Three
(C) Four
(D) Five
(E) Nine

I was plugging in numbers from 1 to 32 then

1.) dividing these numbers by 3 to see if they were prime and
2.) then squaring the primes to see if they fell before the 33 range.

6/3=2 which is a prime and 2^2=4 -> below 33
9/3=3 which is a prime and 3^2=9 --> below 33
15/3=5 which is a prime and 5^2=-->below 33

I still arrive at the correct answer, but it looks like my approach is off based on this form?
 1   2   
Moderators:
Math Expert
109818 posts
Tuck School Moderator
853 posts