Last visit was: 21 Apr 2026, 23:50 It is currently 21 Apr 2026, 23:50
Close
GMAT Club Daily Prep
Thank you for using the timer - this advanced tool can estimate your performance and suggest more practice questions. We have subscribed you to Daily Prep Questions via email.

Customized
for You

we will pick new questions that match your level based on your Timer History

Track
Your Progress

every week, we’ll send you an estimated GMAT score based on your performance

Practice
Pays

we will pick new questions that match your level based on your Timer History
Not interested in getting valuable practice questions and articles delivered to your email? No problem, unsubscribe here.
Close
Request Expert Reply
Confirm Cancel
User avatar
MrWallSt
Joined: 21 Nov 2013
Last visit: 03 Feb 2016
Posts: 11
Own Kudos:
99
 [89]
Given Kudos: 9
Posts: 11
Kudos: 99
 [89]
1
Kudos
Add Kudos
88
Bookmarks
Bookmark this Post
Most Helpful Reply
User avatar
KarishmaB
Joined: 16 Oct 2010
Last visit: 21 Apr 2026
Posts: 16,439
Own Kudos:
79,378
 [20]
Given Kudos: 484
Location: Pune, India
Expert
Expert reply
Active GMAT Club Expert! Tag them with @ followed by their username for a faster response.
Posts: 16,439
Kudos: 79,378
 [20]
13
Kudos
Add Kudos
7
Bookmarks
Bookmark this Post
General Discussion
User avatar
MrWallSt
Joined: 21 Nov 2013
Last visit: 03 Feb 2016
Posts: 11
Own Kudos:
Given Kudos: 9
Posts: 11
Kudos: 99
Kudos
Add Kudos
Bookmarks
Bookmark this Post
User avatar
CrackverbalGMAT
User avatar
Major Poster
Joined: 03 Oct 2013
Last visit: 21 Apr 2026
Posts: 4,846
Own Kudos:
9,180
 [4]
Given Kudos: 226
Affiliations: CrackVerbal
Location: India
Expert
Expert reply
Posts: 4,846
Kudos: 9,180
 [4]
3
Kudos
Add Kudos
1
Bookmarks
Bookmark this Post
MrWallSt
If x / (x+y) = n, and x / (x-y) = m, then x/y=? (|x| does not equal |y|, xy does not equal 0)

A. 3mn/2
B. (3m)/(2n)
C. (n * (m+2))/2
D. 2nm / (m-n)
E. (n^2 - m^2) / nm

Let us say x = 3, y = 1, n = 0.75, m = 1.5

x/y = 3

(A) 3(3/2)(3/4) = 9/8 (Eliminated)
(B) 3(3/2) 2(3/4) = (Eliminated)
(C) (3/4) (3/2 + 2)/2 = (Eliminated)
(D) 2(3/4)(3/2)/(.75) = 3 (BINGO!)
(E) Eliminated

Hence answer is D
avatar
Alaukik
Joined: 01 Aug 2014
Last visit: 13 Feb 2017
Posts: 36
Own Kudos:
Given Kudos: 46
Location: India
GPA: 3.65
Posts: 36
Kudos: 16
Kudos
Add Kudos
Bookmarks
Bookmark this Post
CrackVerbalGMAT
MrWallSt
If x / (x+y) = n, and x / (x-y) = m, then x/y=? (|x| does not equal |y|, xy does not equal 0)

A. 3mn/2
B. (3m)/(2n)
C. (n * (m+2))/2
D. 2nm / (m-n)
E. (n^2 - m^2) / nm

Let us say x = 3, y = 1, n = 0.75, m = 1.5

x/y = 3

(A) 3(3/2)(3/4) = 9/8 (Eliminated)
(B) 3(3/2) 2(3/4) = (Eliminated)
(C) (3/4) (3/2 + 2)/2 = (Eliminated)
(D) 2(3/4)(3/2)/(.75) = 3 (BINGO!)
(E) Eliminated

Hence answer is D

Sorry for opening a long answered question.

with algebric solution, i am getting many answers in terms of m & n. so the problem needed to be solved by picking numbers.
when we pick x = 3 & y = 1. I am getting B & D both as answer and but with x = 2 & y= 3. I am getting D as an answer. shouldnt it be unique for all numbers, since there is no restriction (like x, y = consequetive or x>y or viceversa) on picking numbers.
User avatar
KarishmaB
Joined: 16 Oct 2010
Last visit: 21 Apr 2026
Posts: 16,439
Own Kudos:
79,378
 [2]
Given Kudos: 484
Location: Pune, India
Expert
Expert reply
Active GMAT Club Expert! Tag them with @ followed by their username for a faster response.
Posts: 16,439
Kudos: 79,378
 [2]
Kudos
Add Kudos
2
Bookmarks
Bookmark this Post
Alaukik
CrackVerbalGMAT
MrWallSt
If x / (x+y) = n, and x / (x-y) = m, then x/y=? (|x| does not equal |y|, xy does not equal 0)

A. 3mn/2
B. (3m)/(2n)
C. (n * (m+2))/2
D. 2nm / (m-n)
E. (n^2 - m^2) / nm

Let us say x = 3, y = 1, n = 0.75, m = 1.5

x/y = 3

(A) 3(3/2)(3/4) = 9/8 (Eliminated)
(B) 3(3/2) 2(3/4) = (Eliminated)
(C) (3/4) (3/2 + 2)/2 = (Eliminated)
(D) 2(3/4)(3/2)/(.75) = 3 (BINGO!)
(E) Eliminated

Hence answer is D

Sorry for opening a long answered question.

with algebric solution, i am getting many answers in terms of m & n. so the problem needed to be solved by picking numbers.
when we pick x = 3 & y = 1. I am getting B & D both as answer and but with x = 2 & y= 3. I am getting D as an answer. shouldnt it be unique for all numbers, since there is no restriction (like x, y = consequetive or x>y or viceversa) on picking numbers.

When you take one of the numbers as 1 or 0, or when you take numbers to be equal, you could get multiple options satisfying your conditions.

For example, if n = 1
3n/(m+n) will give the same result as 3/(m+n).

Sometimes, you will get the same answer from multiple options if the options are written intelligently. So you could need to try out 2 or even 3 sets of values.
avatar
Alaukik
Joined: 01 Aug 2014
Last visit: 13 Feb 2017
Posts: 36
Own Kudos:
Given Kudos: 46
Location: India
GPA: 3.65
Posts: 36
Kudos: 16
Kudos
Add Kudos
Bookmarks
Bookmark this Post
VeritasPrepKarishma

When you take one of the numbers as 1 or 0, or when you take numbers to be equal, you could get multiple options satisfying your conditions.

For example, if n = 1
3n/(m+n) will give the same result as 3/(m+n).

Sometimes, you will get the same answer from multiple options if the options are written intelligently. So you could need to try out 2 or even 3 sets of values.

well the question states xy != 0, so x or y cant be 0. also |x| != |y| so they cant be equal either.

I was hoping for a more bullet proof solution for this question. as 2 sets will take more time. we will get answer but at a huge expense of time.
User avatar
KarishmaB
Joined: 16 Oct 2010
Last visit: 21 Apr 2026
Posts: 16,439
Own Kudos:
Given Kudos: 484
Location: Pune, India
Expert
Expert reply
Active GMAT Club Expert! Tag them with @ followed by their username for a faster response.
Posts: 16,439
Kudos: 79,378
Kudos
Add Kudos
Bookmarks
Bookmark this Post
Alaukik
VeritasPrepKarishma

When you take one of the numbers as 1 or 0, or when you take numbers to be equal, you could get multiple options satisfying your conditions.

For example, if n = 1
3n/(m+n) will give the same result as 3/(m+n).

Sometimes, you will get the same answer from multiple options if the options are written intelligently. So you could need to try out 2 or even 3 sets of values.

well the question states xy != 0, so x or y cant be 0. also |x| != |y| so they cant be equal either.

I was hoping for a more bullet proof solution for this question. as 2 sets will take more time. we will get answer but at a huge expense of time.

Note that it is a generic comment about number plugging - not just specific to this question.

Also, I have given the algebra solution above - as "bulletproof" as you can get.
User avatar
evdo
Joined: 11 Nov 2011
Last visit: 02 Aug 2018
Posts: 43
Own Kudos:
Given Kudos: 101
Location: United States
Concentration: Finance, Human Resources
GPA: 3.33
WE:Consulting (Non-Profit and Government)
Posts: 43
Kudos: 19
Kudos
Add Kudos
Bookmarks
Bookmark this Post
VeritasPrepKarishma your solution is excellence. I am wondering, how do we know that one form of fraction (you mentioned it as case) is easier to manipulate than another? I tried to solve this problem using the original form of fraction but I ended up nowhere. Do you have the solution using original form of the fraction?
User avatar
KarishmaB
Joined: 16 Oct 2010
Last visit: 21 Apr 2026
Posts: 16,439
Own Kudos:
79,378
 [3]
Given Kudos: 484
Location: Pune, India
Expert
Expert reply
Active GMAT Club Expert! Tag them with @ followed by their username for a faster response.
Posts: 16,439
Kudos: 79,378
 [3]
3
Kudos
Add Kudos
Bookmarks
Bookmark this Post
evdo
VeritasPrepKarishma your solution is excellence. I am wondering, how do we know that one form of fraction (you mentioned it as case) is easier to manipulate than another? I tried to solve this problem using the original form of fraction but I ended up nowhere. Do you have the solution using original form of the fraction?

When you need to separate the variables, multiple terms in the numerator are easy to handle since you can split them:

(x+y)/ x = x/x + y/x = 1 + y/x

But if they are in the denominator, you cannot separate them.

You can start with the equations as they are but you will eventually cross multiply to simplify the denominator. If you do different things with the equations, you will get different but equivalent expressions. So a case can be made to do the question by number plugging instead.
avatar
jmmanquez
Joined: 07 Jan 2018
Last visit: 08 Jun 2019
Posts: 5
Own Kudos:
Given Kudos: 7
Kudos
Add Kudos
Bookmarks
Bookmark this Post
Hello,

Could someone explain why is it not possible to assume that: x = n(x+y) and x = m(x-y); so n(x+y) = m(x-y) if we solve this we arrive to x/y = (n+m) / (m-n)

I know it is not the correct answer, but I would like to understand my mistake. Many thanks
User avatar
KarishmaB
Joined: 16 Oct 2010
Last visit: 21 Apr 2026
Posts: 16,439
Own Kudos:
79,378
 [1]
Given Kudos: 484
Location: Pune, India
Expert
Expert reply
Active GMAT Club Expert! Tag them with @ followed by their username for a faster response.
Posts: 16,439
Kudos: 79,378
 [1]
1
Kudos
Add Kudos
Bookmarks
Bookmark this Post
jmmanquez
Hello,

Could someone explain why is it not possible to assume that: x = n(x+y) and x = m(x-y); so n(x+y) = m(x-y) if we solve this we arrive to x/y = (n+m) / (m-n)

I know it is not the correct answer, but I would like to understand my mistake. Many thanks

It is not incorrect, it is just not what you need. Different manipulations can lead to different but equivalent expressions.
User avatar
Kinshook
User avatar
Major Poster
Joined: 03 Jun 2019
Last visit: 21 Apr 2026
Posts: 5,986
Own Kudos:
Given Kudos: 163
Location: India
GMAT 1: 690 Q50 V34
WE:Engineering (Transportation)
Products:
GMAT 1: 690 Q50 V34
Posts: 5,986
Kudos: 5,855
Kudos
Add Kudos
Bookmarks
Bookmark this Post
MrWallSt
If x/(x+y) = n, and x/(x-y) = m, then x/y = ? (|x| does not equal |y|, xy does not equal 0)

A. 3mn/2
B. (3m)/(2n)
C. (n * (m+2))/2
D. 2nm / (m-n)
E. (n^2 - m^2) / nm

Asked: If x/(x+y) = n, and x/(x-y) = m, then x/y = ? (|x| does not equal |y|, xy does not equal 0)

Let us take x = 3; y = 2
x/y = 3/2 = 1.5
3/5 = n = .6
2/1 = m = 2

A. 3mn/2
3*2*.6/2 = 1.8; NO
B. (3m)/(2n)
6*1.2 = 7.2; NO
C. (n * (m+2))/2
.6*4/2 = 1.2; NO
D. 2nm / (m-n)
2*.6*2/(2-.6) = 2.4/1.4 = 12/7; NO
E. (n^2 - m^2) / nm
(.36 - 4 )1.2 ; NO

MrWallSt
All answers seem incorrect.
Please check.
User avatar
sambitspm
Joined: 05 Aug 2019
Last visit: 13 Jan 2022
Posts: 317
Own Kudos:
311
 [1]
Given Kudos: 130
Location: India
Concentration: Leadership, Technology
GMAT 1: 600 Q50 V22
GMAT 2: 670 Q50 V28 (Online)
GPA: 4
GMAT 2: 670 Q50 V28 (Online)
Posts: 317
Kudos: 311
 [1]
1
Kudos
Add Kudos
Bookmarks
Bookmark this Post
Kindly see the attachment.
It took me around 2:45 min to solve this.

At first, my answer didn't match any of the options. I tried checking my calculation but didn't get to the right choice. Lastly, I went to replacing m and n in options and landed in D. Option D was my first guess, but since it was not exam mode, I was inclined on solving this.

VeritasKarishma, your both approaches help to get a new perspective on this question.

Attachments

1.jpeg
1.jpeg [ 100.83 KiB | Viewed 11456 times ]

User avatar
rxb266
Joined: 30 Nov 2018
Last visit: 27 Jun 2024
Posts: 138
Own Kudos:
153
 [2]
Given Kudos: 79
Location: India
Concentration: Strategy, Marketing
GPA: 4
1
Kudos
Add Kudos
1
Bookmarks
Bookmark this Post
This is the simplest question

substitute values to each variable and check with the option provided

assuming x=5 and y = 1
m =5/4 and n=5/6

and my x/y should be = 5 (ie,5/1)

only in option D when i substitute the variables I get the value as 5.. Hence my answer is D

(In Gmat the time is a luxury.. try to avoid algebra whenever possible)
User avatar
Poojita
Joined: 30 Dec 2019
Last visit: 02 Oct 2022
Posts: 69
Own Kudos:
85
 [1]
Given Kudos: 654
Location: India
Schools: LBS MFA "23
Products:
Schools: LBS MFA "23
Posts: 69
Kudos: 85
 [1]
1
Kudos
Add Kudos
Bookmarks
Bookmark this Post
sambitspm
Kindly see the attachment.
It took me around 2:45 min to solve this.

At first, my answer didn't match any of the options. I tried checking my calculation but didn't get to the right choice. Lastly, I went to replacing m and n in options and landed in D. Option D was my first guess, but since it was not exam mode, I was inclined on solving this.

VeritasKarishma, your both approaches help to get a new perspective on this question.

Hi
I dont quite seem to understand how did you checked each answer? could you please elaborate more on that?
Also , after getting x/y as m+n/m-n , i assumed m=5 and n=4 but still none of the answer matches. could you help on that please?
User avatar
Prince1890Sharma
Joined: 19 Mar 2023
Last visit: 20 Feb 2025
Posts: 27
Own Kudos:
Given Kudos: 38
Posts: 27
Kudos: 16
Kudos
Add Kudos
Bookmarks
Bookmark this Post
Hello

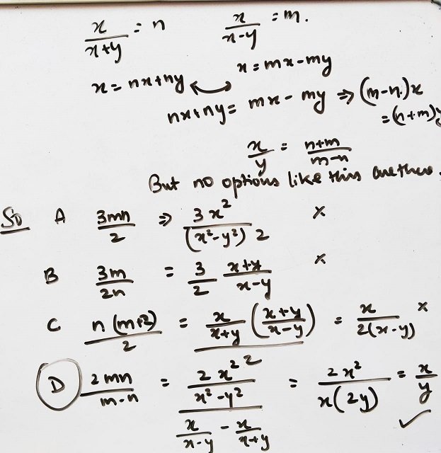
Can someone please tell what is wrong with this way of solving....none of the answer choice is matching

Posted from my mobile device
Attachments

17117791278328023142324845499614.jpg
17117791278328023142324845499614.jpg [ 377.44 KiB | Viewed 5064 times ]

User avatar
mosesjchong
Joined: 15 Mar 2024
Last visit: 04 Apr 2025
Posts: 10
Own Kudos:
Given Kudos: 10
Location: United States
Posts: 10
Kudos: 2
Kudos
Add Kudos
Bookmarks
Bookmark this Post
­KarishmaB

Or Plug in numbers: x = 2, y = 1
n = x/(x+y) = 2/3
m = x/(x-y) = 2

x/y = 2

Now put n = 2/3 and m = 2 in the options. Only option (D) gives you x/y = 2.

Hence answer (D)

When plugged in for answer (A) it also gives you 2. Is there a reason why it works for both?
 
User avatar
axeofflane
Joined: 18 Nov 2023
Last visit: 21 Apr 2026
Posts: 30
Own Kudos:
Given Kudos: 13
Location: India
Schools: Tuck '27
GPA: 9.28
Products:
Schools: Tuck '27
Posts: 30
Kudos: 2
Kudos
Add Kudos
Bookmarks
Bookmark this Post
Doesnt option A give you 2 as well? What am i missing.
KarishmaB
MrWallSt
If x / (x+y) = n, and x / (x-y) = m, then x/y=? (|x| does not equal |y|, xy does not equal 0)

A. 3mn/2
B. (3m)/(2n)
C. (n * (m+2))/2
D. 2nm / (m-n)
E. (n^2 - m^2) / nm

You can do it either algebraically or by assuming numbers:

Algebra:
Note that we are happier with (x+y)/x rather than x/(x+y) since in the former case we can make manipulations easily. So let's take the inverse of both n and m

\(\frac{1}{n} = \frac{(x+y)}{x} = 1 + \frac{y}{x}\) ....(I)
\(\frac{1}{m} = \frac{(x-y)}{x} = 1 - \frac{y}{x}\) .....(II)

Since we have both m and n in our answer, lets subtract II from I to get

\(\frac{1}{n} - \frac{1}{m} = \frac{2y}{x}\)

\(\frac{(m-n)}{2mn} = \frac{y}{x}\)

\(\frac{x}{y} = \frac{2mn}{(m-n)}\)

Answer (D)

Or Plug in numbers: x = 2, y = 1
n = x/(x+y) = 2/3
m = x/(x-y) = 2

x/y = 2

Now put n = 2/3 and m = 2 in the options. Only option (D) gives you x/y = 2.

Hence answer (D)
Moderators:
Math Expert
109740 posts
Tuck School Moderator
853 posts