Last visit was: 22 Apr 2026, 10:30 It is currently 22 Apr 2026, 10:30
Close
GMAT Club Daily Prep
Thank you for using the timer - this advanced tool can estimate your performance and suggest more practice questions. We have subscribed you to Daily Prep Questions via email.

Customized
for You

we will pick new questions that match your level based on your Timer History

Track
Your Progress

every week, we’ll send you an estimated GMAT score based on your performance

Practice
Pays

we will pick new questions that match your level based on your Timer History
Not interested in getting valuable practice questions and articles delivered to your email? No problem, unsubscribe here.
Close
Request Expert Reply
Confirm Cancel
User avatar
Abhi077
User avatar
SC Moderator
Joined: 25 Sep 2018
Last visit: 18 Apr 2025
Posts: 1,084
Own Kudos:
2,435
 [39]
Given Kudos: 1,665
Location: United States (CA)
Concentration: Finance, Strategy
GPA: 3.97
WE:Investment Banking (Finance: Investment Banking)
Products:
Posts: 1,084
Kudos: 2,435
 [39]
2
Kudos
Add Kudos
37
Bookmarks
Bookmark this Post
Most Helpful Reply
User avatar
RJ7X0DefiningMyX
Joined: 08 Apr 2019
Last visit: 03 Apr 2020
Posts: 98
Own Kudos:
347
 [18]
Given Kudos: 259
Location: India
GPA: 4
Posts: 98
Kudos: 347
 [18]
14
Kudos
Add Kudos
4
Bookmarks
Bookmark this Post
User avatar
ScottTargetTestPrep
User avatar
Target Test Prep Representative
Joined: 14 Oct 2015
Last visit: 22 Apr 2026
Posts: 22,276
Own Kudos:
26,528
 [13]
Given Kudos: 302
Status:Founder & CEO
Affiliations: Target Test Prep
Location: United States (CA)
Expert
Expert reply
Active GMAT Club Expert! Tag them with @ followed by their username for a faster response.
Posts: 22,276
Kudos: 26,528
 [13]
10
Kudos
Add Kudos
3
Bookmarks
Bookmark this Post
General Discussion
User avatar
vishalkazone
Joined: 08 Sep 2008
Last visit: 22 Mar 2024
Posts: 101
Own Kudos:
113
 [5]
Given Kudos: 17
Location: India
Concentration: Operations, General Management
Schools: ISB '20
GPA: 3.8
WE:Operations (Transportation)
Schools: ISB '20
Posts: 101
Kudos: 113
 [5]
4
Kudos
Add Kudos
1
Bookmarks
Bookmark this Post
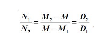
M/ S = (Difference of sales person from all avg)/ (Difference of managers from all )
=25000/50000
1:2
Answer: D

For above here is formula:
Attachments

File comment: Weighted average formula
formula.JPG
formula.JPG [ 12.93 KiB | Viewed 10044 times ]

User avatar
Mo2men
Joined: 26 Mar 2013
Last visit: 09 May 2023
Posts: 2,426
Own Kudos:
Given Kudos: 641
Concentration: Operations, Strategy
Schools: Erasmus (II)
Products:
Schools: Erasmus (II)
Posts: 2,426
Kudos: 1,508
Kudos
Add Kudos
Bookmarks
Bookmark this Post
Abhi077
At a particular company, the average income of managers is $50,000 more than the average of all the employees. The average income of salespeople is $25,000 less than the average of all of the employees. What is the ratio of managers to saleseople?
A) 2:1
B) 3:2
C) 4:3
D) 1:2
E) 1:4


Dear GMATGuruNY

Can you share your thoughts in solving such problem?

Thanks in advance
User avatar
GMATGuruNY
Joined: 04 Aug 2010
Last visit: 02 Apr 2026
Posts: 1,347
Own Kudos:
3,904
 [8]
Given Kudos: 9
Schools:Dartmouth College
Expert
Expert reply
Posts: 1,347
Kudos: 3,904
 [8]
4
Kudos
Add Kudos
4
Bookmarks
Bookmark this Post
Mo2men
Abhi077
At a particular company, the average income of managers is $50,000 more than the average of all the employees. The average income of salespeople is $25,000 less than the average of all of the employees. What is the ratio of managers to saleseople?
A) 2:1
B) 3:2
C) 4:3
D) 1:2
E) 1:4


Dear GMATGuruNY

Can you share your thoughts in solving such problem?

Thanks in advance

Let the average salary of all the employees = 50,000, implying that the average salary of the managers = 50,000 + 50,000 = 100,000 and that the average salary of the salespeople = 50,000 - 25,000 = 25,000.
To determine the ratio of managers to salespeople, use alligation.

Step 1: Draw a number line, with the averages for the managers and salespeople on the ends and the average for all the employees in the middle:
M 100,000-------------------50,000------------------25,000 S

Step 2: Calculate the distances between the averages.
M 100,000-----50,000-----50,000-----25,000-----25,000 S

Step 3: Determine the ratio in the mixture.
The ratio of M to S is equal to the RECIPROCAL of the distances in red.
M:S = 25000:50000 = 1:2

User avatar
Palladin
Joined: 19 Jun 2019
Last visit: 25 May 2021
Posts: 33
Own Kudos:
50
 [1]
Given Kudos: 109
Status:Classified
Posts: 33
Kudos: 50
 [1]
1
Kudos
Add Kudos
Bookmarks
Bookmark this Post
Abhi077
At a particular company, the average income of managers is $50,000 more than the average of all the employees. The average income of salespeople is $25,000 less than the average of all of the employees. What is the ratio of managers to salespeople?
A) 2:1
B) 3:2
C) 4:3
D) 1:2
E) 1:4

The question requires us to assume that the managers and the salespeople are the only members of that company.
Shouldn't it be acknowledged in the question?
User avatar
ishitaz
Joined: 25 Aug 2020
Last visit: 02 Oct 2025
Posts: 7
Own Kudos:
Given Kudos: 119
Posts: 7
Kudos: 5
Kudos
Add Kudos
Bookmarks
Bookmark this Post
Total Employees = Total Managers + Total Salespeople
E = M + S

Let average of managers be Ma = Ms / M where Ms is sum of salaries of Managers,
average of salespeople be Sa = Ss / S where Ss is sum of salaries of Salespeople,
average of total employees be Ea = Es / E where Es is sum of salaries of All Employees

Given in the question,
Ma = 50,000 + Ea
Sa = Ea - 25,000

Now, from our variables declared
Ms/M = 50,000 + Ea
Ms = M*(50,000 + Ea) ------------------ Equation 1
Ss/S = Ea - 25,000
Ss = S*(Ea - 25,000) -------------------- Equation 2

Average of employees can also be written as,
Ea = (Ms + Ss)/(M + S)

Substitue eqns 1 and 2,

Ea = [ M*(50,000 + Ea) + S*(Ea - 25,000) ] / (M + S)

Ea (M + S) = [ M*(50,000 + Ea) + S*(Ea - 25,000) ]
Ea (M + S) = 50,000M + Ea*M + Ea*S - 25,000*S
Ea (M + S) = Ea (M + S) + 50,000M - 25,000*S
0 = 50,000M - 25,000*S
50,000*M = 25,000*S
S/M = 25,000/50,000

S/M = 1:2

Hence, Option D
Hope that helps!

Thanks,
Ishita Roy
User avatar
sambitspm
Joined: 05 Aug 2019
Last visit: 13 Jan 2022
Posts: 317
Own Kudos:
Given Kudos: 130
Location: India
Concentration: Leadership, Technology
GMAT 1: 600 Q50 V22
GMAT 2: 670 Q50 V28 (Online)
GPA: 4
GMAT 2: 670 Q50 V28 (Online)
Posts: 317
Kudos: 311
Kudos
Add Kudos
Bookmarks
Bookmark this Post
Palladin
Abhi077
At a particular company, the average income of managers is $50,000 more than the average of all the employees. The average income of salespeople is $25,000 less than the average of all of the employees. What is the ratio of managers to salespeople?
A) 2:1
B) 3:2
C) 4:3
D) 1:2
E) 1:4

The question requires us to assume that the managers and the salespeople are the only members of that company.
Shouldn't it be acknowledged in the question?

I also think the assumption must have been stated here. Without that the calculations could have been something else. As we can see in the screenshot.

ScottTargetTestPrep
Palladin
Attachments

1.png
1.png [ 487.58 KiB | Viewed 7553 times ]

User avatar
trovo
Joined: 18 Jun 2024
Last visit: 09 Apr 2025
Posts: 2
Given Kudos: 3
Posts: 2
Kudos: 0
Kudos
Add Kudos
Bookmarks
Bookmark this Post
where in the Q does it say all number of employees = number of managers + number of salespersons?
User avatar
anish0953
Joined: 20 May 2024
Last visit: 13 Mar 2025
Posts: 83
Own Kudos:
Given Kudos: 102
Location: United Kingdom
Concentration: Leadership, Entrepreneurship
GPA: 9.2
WE:Business Development (Finance)
Products:
Posts: 83
Kudos: 49
Kudos
Add Kudos
Bookmarks
Bookmark this Post
trovo
where in the Q does it say all number of employees = number of managers + number of salespersons?
­exactly , i was also wondering the same . I thought there were some other employess as well . poorly worded or is it just me 
User avatar
GMATGuruNY
Joined: 04 Aug 2010
Last visit: 02 Apr 2026
Posts: 1,347
Own Kudos:
3,904
 [1]
Given Kudos: 9
Schools:Dartmouth College
Expert
Expert reply
Posts: 1,347
Kudos: 3,904
 [1]
1
Kudos
Add Kudos
Bookmarks
Bookmark this Post
While it is possible that the company is composed only of managers and salespeople, this condition is not required.

In my earlier solution:
Average salary for managers = 100,000
Average salary for salespeople = 25,000
Average salary for all employees = 50,000
Ratio of managers to salespeople = 1:2

Let the company have 1 manager and 2 salespeople.
Thus:
Total income for the 1 manager = 1(100,000) = 100,000
Total income for the 2 salespeople = 2(25,000) = 50,000

Case 1: 1 manager, 2 salespeople, no other employees
Average salary for all 3 employees = \(\frac{150,000}{3} = 50,000\)

Case 2: 1 manager, 2 salespeople, and 2 other employees, for a total of 5 workers
Since the average salary for all 5 workers must be 50,000, the total income for all 5 workers = 5(50,000) = 250,000
Total income for the 2 other employees = 250,000 - (100,000 + 50,000) = 100,000
Average salary for the 2 other employees = \(\frac{100,000}{2} = 50,000\)

Case 3: 1 manager, 2 salespeople, and 7 other employees, for a total of 10 workers
Since the average salary for all 10 workers must be 50,000, the total income for all 10 workers = 10(50,000) = 500,000
Total income for the 7 other employees = 500,000 - (100,000 + 50,000) = 350,000
Average salary for the 7 other employees = \(\frac{350,000}{7} = 50,000\)

As the cases above illustrate, it is not necessary that the company be composed only of managers and salespeople.
The only requirement is that, if there are other employees, their average salary (50,000 in Cases 2 and 3 above) must be equal to the average salary for the whole company (also 50,000 in the cases above).­
User avatar
vishy001
Joined: 09 Jul 2021
Last visit: 17 Apr 2025
Posts: 22
Own Kudos:
Given Kudos: 26
Location: India
Schools: Sloan (MIT)
Schools: Sloan (MIT)
Posts: 22
Kudos: 4
Kudos
Add Kudos
Bookmarks
Bookmark this Post
Is it mentioned or implied in the question that number of employees = number of managers + number of sales people as everyone here are solving? What if it is assumed that number of employees include security, IT staff, CEOs etc? Isn't it the rule in gmat quant to not assume anything and only infer from the question? Since it is not clear what constitutes the number of employees, the question falls flat I feel.
User avatar
Bunuel
User avatar
Math Expert
Joined: 02 Sep 2009
Last visit: 22 Apr 2026
Posts: 109,747
Own Kudos:
Given Kudos: 105,820
Products:
Expert
Expert reply
Active GMAT Club Expert! Tag them with @ followed by their username for a faster response.
Posts: 109,747
Kudos: 810,636
Kudos
Add Kudos
Bookmarks
Bookmark this Post
vishy001
At a particular company, the average income of managers is $50,000 more than the average of all the employees. The average income of salespeople is $25,000 less than the average of all of the employees. What is the ratio of managers to saleseople?

A) 2:1
B) 3:2
C) 4:3
D) 1:2
E) 1:4

Is it mentioned or implied in the question that number of employees = number of managers + number of sales people as everyone here are solving? What if it is assumed that number of employees include security, IT staff, CEOs etc? Isn't it the rule in gmat quant to not assume anything and only infer from the question? Since it is not clear what constitutes the number of employees, the question falls flat I feel.
Yes, the question should have specified that the number of employees equals the number of managers plus salespeople. Without this, you'd have to assume there are only those two types of employees to solve it, otherwise, it would be unsolvable.

For example, if there's 1 manager with a salary of 100, 1 salesperson with a salary of 25, and 1 other employee with a salary of 25, the average salary would be (100 + 25 + 25)/3 = 50. In this case, the ratio of managers to salespeople would be 1:1.

Alternatively, if there are 2 managers with salaries of 100 each, 1 salesperson with a salary of 25, and 3 other employees with salaries of 25 each, the average salary would be (2 * 100 + 25 + 3 * 25)/6 = 50. In this scenario, the ratio of managers to salespeople would be 2:1.
User avatar
bumpbot
User avatar
Non-Human User
Joined: 09 Sep 2013
Last visit: 04 Jan 2021
Posts: 38,967
Own Kudos:
Posts: 38,967
Kudos: 1,117
Kudos
Add Kudos
Bookmarks
Bookmark this Post
Automated notice from GMAT Club BumpBot:

A member just gave Kudos to this thread, showing it’s still useful. I’ve bumped it to the top so more people can benefit. Feel free to add your own questions or solutions.

This post was generated automatically.
Moderators:
Math Expert
109747 posts
Tuck School Moderator
853 posts