Last visit was: 21 Apr 2026, 00:22 It is currently 21 Apr 2026, 00:22
Close
GMAT Club Daily Prep
Thank you for using the timer - this advanced tool can estimate your performance and suggest more practice questions. We have subscribed you to Daily Prep Questions via email.

Customized
for You

we will pick new questions that match your level based on your Timer History

Track
Your Progress

every week, we’ll send you an estimated GMAT score based on your performance

Practice
Pays

we will pick new questions that match your level based on your Timer History
Not interested in getting valuable practice questions and articles delivered to your email? No problem, unsubscribe here.
Close
Request Expert Reply
Confirm Cancel
User avatar
MrWhite
Joined: 23 Feb 2022
Last visit: 15 Apr 2026
Posts: 35
Own Kudos:
1,521
 [78]
Given Kudos: 93
Location: New Zealand
Concentration: Strategy, General Management
GMAT Focus 1: 645 Q83 V84 DI79
GMAT 1: 650 Q46 V34
GPA: 8.5/9
WE:Engineering (Consulting)
GMAT Focus 1: 645 Q83 V84 DI79
GMAT 1: 650 Q46 V34
Posts: 35
Kudos: 1,521
 [78]
6
Kudos
Add Kudos
72
Bookmarks
Bookmark this Post
Most Helpful Reply
User avatar
Regor60
Joined: 21 Nov 2021
Last visit: 19 Apr 2026
Posts: 529
Own Kudos:
419
 [32]
Given Kudos: 462
Posts: 529
Kudos: 419
 [32]
26
Kudos
Add Kudos
5
Bookmarks
Bookmark this Post
User avatar
gmatophobia
User avatar
Quant Chat Moderator
Joined: 22 Dec 2016
Last visit: 19 Apr 2026
Posts: 3,173
Own Kudos:
11,438
 [8]
Given Kudos: 1,862
Location: India
Concentration: Strategy, Leadership
Posts: 3,173
Kudos: 11,438
 [8]
5
Kudos
Add Kudos
3
Bookmarks
Bookmark this Post
General Discussion
User avatar
GMATGuruNY
Joined: 04 Aug 2010
Last visit: 02 Apr 2026
Posts: 1,347
Own Kudos:
3,903
 [3]
Given Kudos: 9
Schools:Dartmouth College
Expert
Expert reply
Posts: 1,347
Kudos: 3,903
 [3]
2
Kudos
Add Kudos
1
Bookmarks
Bookmark this Post
MrWhite
A bank teller has $255 in $5 bills and $10 bills. If the number of $10 bills is greater than the number of $5 bills, what is the maximum possible number of bills that the bank teller has?

(A) 35
(B) 33
(C) 31
(D) 29
(E) 26
Let x = the number of $5 bills and y = the number of $10 bills.
A bank teller has $255.
Thus:
­5x+10y = 255
x+2y = 51

We can PLUG IN THE ANSWERS, which represent the value of x+y: the total number of bills.
Since the question stem asks for the greatest possible number of bills, start with the greatest answer choice.
When the correct answer is plugged in, the number of $10 bills will be greater than the number of $5 bills:
y > x

A: x+y = 35
Subtracting x+y=35 from x+2y=51, we get:
(x+2y) - (x+y) = 51-35
y=16
Since x+y=35, the implication is that x=19, with the result that y < x.
Eliminate A.

B: x+y = 33
Subtracting x+y=33 from x+2y=51, we get:
(x+2y) - (x+y) = 51-33
y=18
Since x+y=33, the implication is that x=15, with the result that y > x.
Success!

­
User avatar
Dheeraj_079
Joined: 18 Jun 2024
Last visit: 22 Jan 2025
Posts: 17
Own Kudos:
Posts: 17
Kudos: 11
Kudos
Add Kudos
Bookmarks
Bookmark this Post
MrWhite
A bank teller has $255 in $5 bills and $10 bills. If the number of $10 bills is greater than the number of $5 bills, what is the maximum possible number of bills that the bank teller has?

(A) 35
(B) 33
(C) 31
(D) 29
(E) 26
­Let the number of 5$ bils be a and 10$ bills be b.
5a + 10b = 255 and b>a
from this equation we can gather that a is odd.

To maximised the number of notes, a and b must be nearby with the caveat that b > a
It is possible for value a = 15 and b = 8.

Hence answer is B
User avatar
GMATinsight
User avatar
Major Poster
Joined: 08 Jul 2010
Last visit: 19 Apr 2026
Posts: 6,975
Own Kudos:
Given Kudos: 128
Status:GMAT/GRE Tutor l Admission Consultant l On-Demand Course creator
Location: India
GMAT: QUANT+DI EXPERT
Schools: IIM (A) ISB '24
GMAT 1: 750 Q51 V41
WE:Education (Education)
Products:
Expert
Expert reply
Schools: IIM (A) ISB '24
GMAT 1: 750 Q51 V41
Posts: 6,975
Kudos: 16,890
Kudos
Add Kudos
Bookmarks
Bookmark this Post
MrWhite
A bank teller has $255 in $5 bills and $10 bills. If the number of $10 bills is greater than the number of $5 bills, what is the maximum possible number of bills that the bank teller has?

(A) 35
(B) 33
(C) 31
(D) 29
(E) 26
­ $255 in $5 bills and $10 bills

Let, there are x $5 bill and y $10 bills

so, 5x + 10y = 255
i.e. x + 2y = 51

Given, the number of $10 bills is greater than the number of $5 bills, i.e. y > x

Let's write all solutions possible
(x, y) = (1, 25) OR (3, 24) OR (5, 23) OR (7, 22) OR (9, 21) OR (11, 20) OR (13, 19) OR (15, 18) OR (17, 17)

i.e. \((x+y)_{max} = 15+18 = 33 \)

Answer: Option B
User avatar
KarishmaB
Joined: 16 Oct 2010
Last visit: 20 Apr 2026
Posts: 16,438
Own Kudos:
79,368
 [7]
Given Kudos: 484
Location: Pune, India
Expert
Expert reply
Active GMAT Club Expert! Tag them with @ followed by their username for a faster response.
Posts: 16,438
Kudos: 79,368
 [7]
7
Kudos
Add Kudos
Bookmarks
Bookmark this Post
MrWhite
A bank teller has $255 in $5 bills and $10 bills. If the number of $10 bills is greater than the number of $5 bills, what is the maximum possible number of bills that the bank teller has?

(A) 35
(B) 33
(C) 31
(D) 29
(E) 26
Responding to a pm:
­
This is an application of integer solutions to equations. Check here
Integer Solutions to equation in 2 variables: https://anaprep.com/algebra-integer-sol ... iables/Say we have F $5 bills and T $10 bills.

5F + 10T = 255
F + 2T = 51
We know that there are many solutions possible starting from T = 0, F = 51.
More the $10 bills, fewer the total number of bills. We want $10 bills to be more than $5 bills but just about. So let's try to make them equal.

T + 2T = 3T = 51
T = 17

Hence if F = T = 17, then $5 bills are 17, $10 bills are 17.
But we need more $10 bills so let's make $10 bills 18. This means that F goes down to 15 (For every 1 extra bill of $10, we reduce two bills of $5 to keep the sum same)

So we have 18 + 15 = 33 total bills at max.

Answer (B)


If we had to minimize the number of bills with more $10 bills than $5 bills, all we need to do is get all $10 bills as much as possible. To make $255, I can get $250 by using 25 $10 bills and only 1 bill of $5.
So minimum number of bills would be 25 + 1 = 26


If we had to minimize the number of bills with more $5 bills, then we do the same as original question but when we reach the point of F = T = 17, then we increase F by 2 and reduce T by 1 to get 19 + 16 = 35 bills.
User avatar
SRIVISHUDDHA22
Joined: 08 Jan 2025
Last visit: 20 Apr 2026
Posts: 94
Own Kudos:
60
 [1]
Given Kudos: 332
Location: India
Schools: ISB '26
GPA: 9
Products:
Schools: ISB '26
Posts: 94
Kudos: 60
 [1]
1
Kudos
Add Kudos
Bookmarks
Bookmark this Post


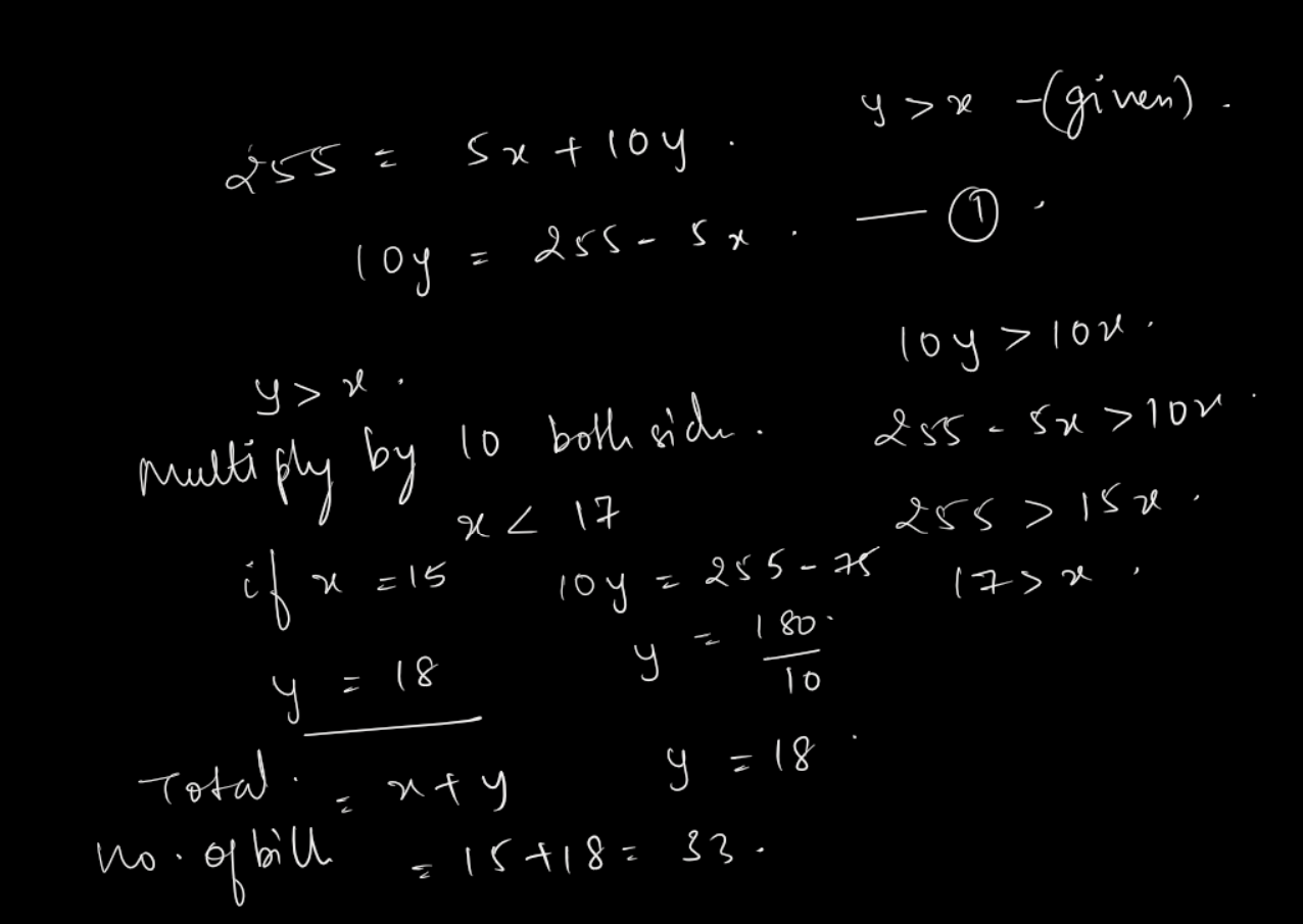
MrWhite
A bank teller has $255 in $5 bills and $10 bills. If the number of $10 bills is greater than the number of $5 bills, what is the maximum possible number of bills that the bank teller has?

(A) 35
(B) 33
(C) 31
(D) 29
(E) 26
Attachment:
GMAT-Club-Forum-s4lwsv83.png
GMAT-Club-Forum-s4lwsv83.png [ 179.25 KiB | Viewed 2821 times ]
Moderators:
Math Expert
109715 posts
Tuck School Moderator
853 posts