Last visit was: 21 Apr 2026, 06:54 It is currently 21 Apr 2026, 06:54
Close
GMAT Club Daily Prep
Thank you for using the timer - this advanced tool can estimate your performance and suggest more practice questions. We have subscribed you to Daily Prep Questions via email.

Customized
for You

we will pick new questions that match your level based on your Timer History

Track
Your Progress

every week, we’ll send you an estimated GMAT score based on your performance

Practice
Pays

we will pick new questions that match your level based on your Timer History
Not interested in getting valuable practice questions and articles delivered to your email? No problem, unsubscribe here.
Close
Request Expert Reply
Confirm Cancel
User avatar
crystxl
Joined: 08 Nov 2022
Last visit: 30 Mar 2026
Posts: 6
Own Kudos:
1
 [1]
Given Kudos: 73
Posts: 6
Kudos: 1
 [1]
1
Kudos
Add Kudos
Bookmarks
Bookmark this Post
User avatar
prepapr
Joined: 06 Jan 2025
Last visit: 01 Apr 2026
Posts: 90
Own Kudos:
82
 [1]
Given Kudos: 3
GMAT Focus 1: 615 Q85 V80 DI77
GMAT Focus 1: 615 Q85 V80 DI77
Posts: 90
Kudos: 82
 [1]
1
Kudos
Add Kudos
Bookmarks
Bookmark this Post
User avatar
bhnirush
Joined: 16 Nov 2025
Last visit: 29 Jan 2026
Posts: 11
Own Kudos:
7
 [1]
Given Kudos: 1
GMAT 1: 740 Q50 V40
GMAT 1: 740 Q50 V40
Posts: 11
Kudos: 7
 [1]
1
Kudos
Add Kudos
Bookmarks
Bookmark this Post
User avatar
jai169
Joined: 25 May 2024
Last visit: 22 Mar 2026
Posts: 10
Own Kudos:
7
 [1]
Given Kudos: 3
Posts: 10
Kudos: 7
 [1]
1
Kudos
Add Kudos
Bookmarks
Bookmark this Post
The first few keyword to notice in this question is Cyclist continues to ride Farther(opposite direction) also speed in th equestion is given in 3 minutes per mile
so we will solve in same way

first lets find out how much he can travel in time 10 pm to 10:48 pm in 48 minutes
so we can cross-multiplication in this scenario

3 minute ------ 1mile
48 minut-------- X Mile

x=(48*1)/3= 16 miles

so now we know he can travel 16 miles total in which he is already farther from home 10 miles so now we can get additional miles he can travel is 16-10= 6
but in 6 miles he has to travel half a miles in each direction farther an again when he has to come back to home. so additional miles he can travel is 6/2= 3 miles
Answer is 3 miles (B)


Bunuel
At 10:00 p.m., a cyclist is 10 miles from home on a straight road. From that time on, the cyclist continues riding farther from home at a constant speed of 3 minutes per mile, then turns around and rides back toward home at the same speed along the same road. If the cyclist must arrive back home at 10:48 p.m., how many additional miles can the cyclist travel away from home after 10:00 p.m. before turning around?

A. 2
B. 3
C. 6
D. 9
E. 12
User avatar
ayaazansari97
Joined: 21 Mar 2024
Last visit: 04 Apr 2026
Posts: 4
Own Kudos:
4
 [1]
Given Kudos: 24
Products:
Posts: 4
Kudos: 4
 [1]
1
Kudos
Add Kudos
Bookmarks
Bookmark this Post
Imagine a straight line:
|--x--|--------10 Miles--------|Home|

Given: 3 mins/miles => 1/3 miles/mins
Total Distance travelled between 10PM to 10:48PM -> x (away from home) + x (towards home after turning around) + 10 Miles
Total Time: 48 Mins

Total Distance (Miles) = Speed (miles/mins) * Time (Mins)
2x + 10 = (1/3)*48
2x + 10 = 16
2x = 6
x = 3

Option: B
User avatar
harsha12344556
Joined: 24 May 2021
Last visit: 24 Jan 2026
Posts: 8
Own Kudos:
6
 [1]
Given Kudos: 4
Location: India
Concentration: Finance, Entrepreneurship
GPA: 10
Posts: 8
Kudos: 6
 [1]
1
Kudos
Add Kudos
Bookmarks
Bookmark this Post
Firstly the distance between house and cyclist is 10 miles and Now in the question it is mentioned he takes 3 minutes per mile, and he returns back at 10:48pm which means 48 minutes to be back so , which means 16 miles in totally from 10:00pm, he can travel 3 more miles away from where he is right now which means 3 away from 10 miles.
User avatar
crimson_king
Joined: 21 Dec 2023
Last visit: 21 Apr 2026
Posts: 152
Own Kudos:
156
 [1]
Given Kudos: 113
GRE 1: Q170 V170
GRE 1: Q170 V170
Posts: 152
Kudos: 156
 [1]
1
Kudos
Add Kudos
Bookmarks
Bookmark this Post
Outward Trip = x miles post 10 pm
Return Trip = x+10 miles (since the initial distance is 10 meters away)

Total Distance travelled = x+x+10 = 2x+10
Now, total time taken = Distance/Speed (in miles per minute) or Distance* Speed (minutes/mile)
Speed = 3 minutes per mile
Total time = (2x+10)*3 = 6x+30 = 48
6x=18
x=3 miles

So the cyclist can go an additional 3 miles to fulfill the conditions. Hence the answer is Option (B) 3
User avatar
Praveena_10
Joined: 01 Jan 2024
Last visit: 16 Apr 2026
Posts: 46
Own Kudos:
47
 [1]
Given Kudos: 24
Location: India
GPA: 7.3
WE:Engineering (Energy)
1
Kudos
Add Kudos
Bookmarks
Bookmark this Post
Let the Distance travelled from home after 10 be x miles
Time taken to travel x miles= 3x min
For travelling back home the total distance covered = 10+x miles
Time taken for travelling back = 3(10+x)
Total distance travelled after 10:00 clock = 2x+10
Total time = 3x+3(10+x)= 6x+30
6x+30=48
x=3 miles.
User avatar
gmat147
Joined: 23 Mar 2025
Last visit: 20 Apr 2026
Posts: 15
Own Kudos:
12
 [1]
Given Kudos: 3
Location: India
Products:
Posts: 15
Kudos: 12
 [1]
1
Kudos
Add Kudos
Bookmarks
Bookmark this Post
The cyclist has to be back by 10:48 giving him a travel time of 48mins.
rate is given by 3min per mile and let "x" be the extra distance travelled
=> 3x + 3(x+10) = 48
=> x = 3
User avatar
eeshajain
Joined: 31 May 2024
Last visit: 04 Apr 2026
Posts: 38
Own Kudos:
9
 [1]
Given Kudos: 285
Location: India
Concentration: General Management, Real Estate
Schools: IIM
Products:
Schools: IIM
Posts: 38
Kudos: 9
 [1]
1
Kudos
Add Kudos
Bookmarks
Bookmark this Post
Let x be the additional distance the cyclist can travel before turning back home,
Pt. A - point when the cyclist is 10M away from home
Pt. B - point of U-turn
Distance b/w pt. AB - X

H-----------------A---------------->B
10m @10PM X |
H<----------------------------------B
@10.48pm (10+X)

total distance the cyclist will cover from 10pm to 10:48pm = 2x+10

total distance covered in 48 mins speed of 1mile/3mins = 48x1/3=16miles
2x+10=16
solving for x, x=3miles.

additional distance covered before making the u-turn is 3miles.
User avatar
Saks116
Joined: 05 Apr 2022
Last visit: 20 Apr 2026
Posts: 41
Own Kudos:
22
 [1]
Given Kudos: 32
Location: India
Products:
Posts: 41
Kudos: 22
 [1]
1
Kudos
Add Kudos
Bookmarks
Bookmark this Post
Total didtance = 10 + X +X +10 = 2X+10
I'm only intetrested in, after 10 miles journey. Therefore before turning and after turning same distance will be cover and than, again 10 miles.
Those last 10 miles will take 3o mins to cover as speed is given.
reminaing 18 mins will be consumed in before turning and after turning.
3 miles/min, therefore he will cover 3 miles and takes U turn again 3 miles --> Total time 18 mins .
Thus ans is 3 Miles

B
User avatar
sureshkumark
Joined: 13 Aug 2011
Last visit: 20 Apr 2026
Posts: 10
Own Kudos:
5
 [1]
Given Kudos: 9
Products:
Posts: 10
Kudos: 5
 [1]
1
Kudos
Add Kudos
Bookmarks
Bookmark this Post
The answer is choice B as the person needs to travel another 3 miles as for a total of 48 minutes, he needs to travel 16 miles. So, a total of 26 miles will be travelled. Half the distance is 13 miles.. So, 13-10 =3 miles.
User avatar
gcshekar08
Joined: 26 Aug 2025
Last visit: 24 Jan 2026
Posts: 3
Own Kudos:
3
 [1]
Posts: 3
Kudos: 3
 [1]
1
Kudos
Add Kudos
Bookmarks
Bookmark this Post
Time taken to travel = 10:48 - 10 = 48 minutes= 4/5 hr
Distance to find (D) = d+d+10 = 2d + 10
Speed = 3 miles/ minutes= 20 mph
D = s*T
D = 20 * 4/5 = 16
16 = 2d + 10
2d = 6
d = 3 miles
User avatar
SwethaReddyL
Joined: 28 Nov 2023
Last visit: 21 Apr 2026
Posts: 106
Own Kudos:
26
 [1]
Given Kudos: 266
Location: India
Products:
Posts: 106
Kudos: 26
 [1]
1
Kudos
Add Kudos
Bookmarks
Bookmark this Post
since the total time taken is 48 mins and speed are also given as minutes per mile, divide the time by speed to get the distance
48/3 = 16
since it is given that the cyclist is 10 miles away from home, excluding that the cyclist has travelled 6 miles and that is included of both from and to
6/2 = 3
So, the additional miles that cyclist travelled away from home after 10.00 pm is 3 miles

Option B
Bunuel
At 10:00 p.m., a cyclist is 10 miles from home on a straight road. From that time on, the cyclist continues riding farther from home at a constant speed of 3 minutes per mile, then turns around and rides back toward home at the same speed along the same road. If the cyclist must arrive back home at 10:48 p.m., how many additional miles can the cyclist travel away from home after 10:00 p.m. before turning around?

A. 2
B. 3
C. 6
D. 9
E. 12
User avatar
KannikaSahni
Joined: 30 Jul 2025
Last visit: 06 Apr 2026
Posts: 35
Own Kudos:
22
 [1]
Given Kudos: 14
Products:
Posts: 35
Kudos: 22
 [1]
1
Kudos
Add Kudos
Bookmarks
Bookmark this Post
Answer: B

If the cyclist takes 3 minutes per mile and has to be home by 10:48 pm, ie, in 48 minutes, he can travel a total distance of 48/3= 16 miles. Since he is 10 miles from home, he can travel an additional distance of 3 miles [(16-10)/2] before returning home.
Bunuel
At 10:00 p.m., a cyclist is 10 miles from home on a straight road. From that time on, the cyclist continues riding farther from home at a constant speed of 3 minutes per mile, then turns around and rides back toward home at the same speed along the same road. If the cyclist must arrive back home at 10:48 p.m., how many additional miles can the cyclist travel away from home after 10:00 p.m. before turning around?

A. 2
B. 3
C. 6
D. 9
E. 12
User avatar
malvikasachdev124
Joined: 16 Aug 2024
Last visit: 21 Apr 2026
Posts: 4
Own Kudos:
2
 [1]
Given Kudos: 6
Products:
Posts: 4
Kudos: 2
 [1]
1
Kudos
Add Kudos
Bookmarks
Bookmark this Post
------------|------------ <home> (forward journey)
{x} {10}


------------|-----------<home> (returning back home journey)
{x} {10}

3 minutes for 1 mile
48 minutes for 48/3=16 miles

2x+10=16
x=3
User avatar
sanjitscorps18
Joined: 26 Jan 2019
Last visit: 03 Mar 2026
Posts: 723
Own Kudos:
740
 [1]
Given Kudos: 130
Location: India
Schools: IMD'26
Products:
Schools: IMD'26
Posts: 723
Kudos: 740
 [1]
1
Kudos
Add Kudos
Bookmarks
Bookmark this Post
Bunuel
At 10:00 p.m., a cyclist is 10 miles from home on a straight road. From that time on, the cyclist continues riding farther from home at a constant speed of 3 minutes per mile, then turns around and rides back toward home at the same speed along the same road. If the cyclist must arrive back home at 10:48 p.m., how many additional miles can the cyclist travel away from home after 10:00 p.m. before turning around?

A. 2
B. 3
C. 6
D. 9
E. 12

Let the cyclist travel 'a' miles from the point he is at 10 miles away from home

Then distance to cover back home = 10 + a + a = 10 + 2a

Time to travel this distance is 48 minutes

The cyclist speed = 1 miles / 3 minutes

Hence, we get

(10 + 2a) = (1/3) * 48
=> 10 + 2a = 16
=> a = 6/2 = 3

Additional miles post 10 miles would be 3 miles.

Option B
User avatar
UditVarma777
Joined: 02 Jan 2022
Last visit: 12 Apr 2026
Posts: 7
Own Kudos:
3
 [1]
Given Kudos: 30
Posts: 7
Kudos: 3
 [1]
1
Kudos
Add Kudos
Bookmarks
Bookmark this Post
in 48 minutes he has travel the remaining distance with farther away+ turnoaround+ 10 miles
he is covering 1 mile in 3 minutes so, in 48 mins he will cover 16 miles;

3+3+10 miles

3 miles is the ans
User avatar
Sujithz001
Joined: 09 Jun 2024
Last visit: 06 Feb 2026
Posts: 101
Own Kudos:
Given Kudos: 75
Posts: 101
Kudos: 46
Kudos
Add Kudos
Bookmarks
Bookmark this Post
Qn. Asked: How many more miles in excess to 10miles the cyclist can travel, if he can reach back home in 48mins.

Solution:

Speed: 3 minutes/mile. For easiness, let's take it as 1/3 miles/minute.

W.K.T, Rate * Time = Distance.

Cyclist has to complete the 10miles in-order to reach home. So, time taken for 10 miles: 3*10 = 30 minutes.

Left-out time: 18 mins.

R * T = D
1/3 * 18 = 6 miles.

Answer: 6 miles
User avatar
Tejasethb
Joined: 07 Oct 2020
Last visit: 13 Apr 2026
Posts: 21
Own Kudos:
6
 [1]
Given Kudos: 34
Posts: 21
Kudos: 6
 [1]
1
Kudos
Add Kudos
Bookmarks
Bookmark this Post
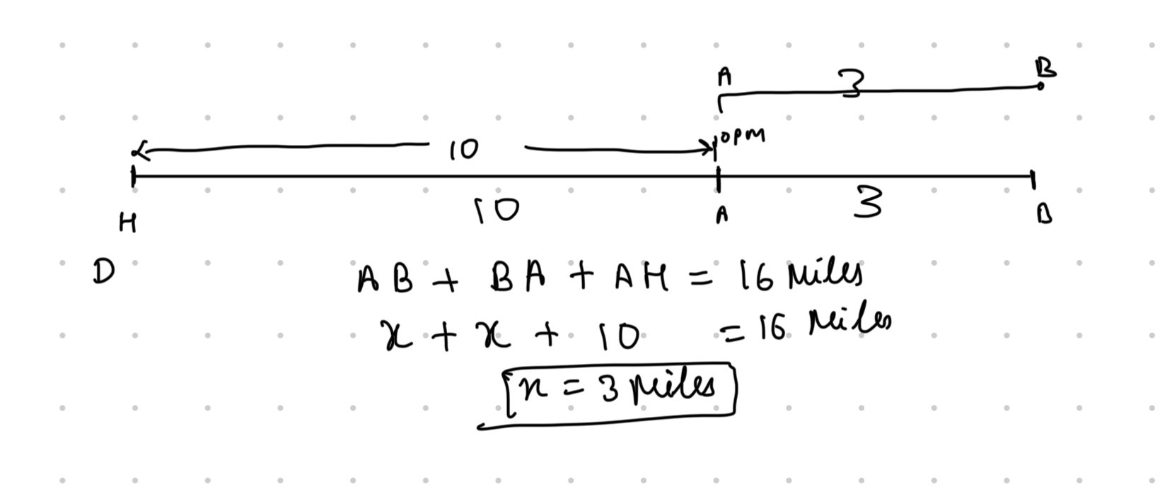
Speed= 1/3 miles in 1 min=> 48 min he traveled=> 16 miles and before turning around he need to travel 3 miles So, that he can reach at 10:48 back at his home. PFA file for diagrammatic representation of the question.
Attachments

Screenshot 2025-12-16 at 1.20.09 PM.jpeg
Screenshot 2025-12-16 at 1.20.09 PM.jpeg [ 138.23 KiB | Viewed 280 times ]

   1   2   3   4   5   6   7   8   9   
Moderators:
Math Expert
109724 posts
Tuck School Moderator
853 posts