Last visit was: 23 Apr 2026, 16:07 It is currently 23 Apr 2026, 16:07
Close
GMAT Club Daily Prep
Thank you for using the timer - this advanced tool can estimate your performance and suggest more practice questions. We have subscribed you to Daily Prep Questions via email.

Customized
for You

we will pick new questions that match your level based on your Timer History

Track
Your Progress

every week, we’ll send you an estimated GMAT score based on your performance

Practice
Pays

we will pick new questions that match your level based on your Timer History
Not interested in getting valuable practice questions and articles delivered to your email? No problem, unsubscribe here.
Close
Request Expert Reply
Confirm Cancel
505-555 (Easy)|   Percent and Interest Problems|                     
User avatar
Walkabout
Joined: 02 Dec 2012
Last visit: 04 Feb 2026
Posts: 172
Own Kudos:
29,264
 [75]
Given Kudos: 51
Products:
Posts: 172
Kudos: 29,264
 [75]
13
Kudos
Add Kudos
62
Bookmarks
Bookmark this Post
Most Helpful Reply
User avatar
Bunuel
User avatar
Math Expert
Joined: 02 Sep 2009
Last visit: 23 Apr 2026
Posts: 109,785
Own Kudos:
Given Kudos: 105,853
Products:
Expert
Expert reply
Active GMAT Club Expert! Tag them with @ followed by their username for a faster response.
Posts: 109,785
Kudos: 810,869
 [17]
10
Kudos
Add Kudos
7
Bookmarks
Bookmark this Post
General Discussion
User avatar
hfbamafan
Joined: 29 Mar 2010
Last visit: 27 Feb 2019
Posts: 90
Own Kudos:
Given Kudos: 16
Location: United States
Concentration: Finance, International Business
GMAT 1: 590 Q28 V38
GPA: 2.54
WE:Accounting (Hospitality and Tourism)
GMAT 1: 590 Q28 V38
Posts: 90
Kudos: 591
Kudos
Add Kudos
Bookmarks
Bookmark this Post
User avatar
Bunuel
User avatar
Math Expert
Joined: 02 Sep 2009
Last visit: 23 Apr 2026
Posts: 109,785
Own Kudos:
810,869
 [2]
Given Kudos: 105,853
Products:
Expert
Expert reply
Active GMAT Club Expert! Tag them with @ followed by their username for a faster response.
Posts: 109,785
Kudos: 810,869
 [2]
1
Kudos
Add Kudos
1
Bookmarks
Bookmark this Post
hfbamafan
Mary's income is 60 percent more than Tim's income, and Tim's income is 40 percent less than Juan's income. What percent of Juan's income is Mary's income?

(A) 124%
(B) 120%
(C) 96%
(D) 80%
(E) 64%

I am working on trying to nail down these questions.

Is there a way to solve this problem by assuming that Mary's income is 160, which is 60% more than Juan's?

Or does that just cause problems.

Thanks,
Hunter

You can do this way, though the way proposed in my post is better:

Mary's income = 160.
Tim's income = 100;
Juan's income = 100/0.6 = 500/3.

(160)/(500/3)*100 = 480/500*100 =96%.\
User avatar
ibtrippinyo
Joined: 24 Jun 2013
Last visit: 17 Sep 2015
Posts: 11
Own Kudos:
3
 [2]
Given Kudos: 8
Posts: 11
Kudos: 3
 [2]
2
Kudos
Add Kudos
Bookmarks
Bookmark this Post
If Tim's income is 100
and Marys income is 160
Juan's income, J, can be found by dividing Tim's income by .6
100 = .6J
J = 167

Mary's income as a percentage of Juan's is then
160/167 = .96
(you can just estimate the .96 by looking at the answer choices)
(also Mr. Bunuels method is way better)
User avatar
hfbamafan
Joined: 29 Mar 2010
Last visit: 27 Feb 2019
Posts: 90
Own Kudos:
Given Kudos: 16
Location: United States
Concentration: Finance, International Business
GMAT 1: 590 Q28 V38
GPA: 2.54
WE:Accounting (Hospitality and Tourism)
GMAT 1: 590 Q28 V38
Posts: 90
Kudos: 591
Kudos
Add Kudos
Bookmarks
Bookmark this Post
Thanks alot.

This problem area seems to be the hardest for me to think through logically.

I need to work hard on word problems, even though I know that they are easy.
avatar
PareshGmat
Joined: 27 Dec 2012
Last visit: 10 Jul 2016
Posts: 1,531
Own Kudos:
8,271
 [1]
Given Kudos: 193
Status:The Best Or Nothing
Location: India
Concentration: General Management, Technology
WE:Information Technology (Computer Software)
Posts: 1,531
Kudos: 8,271
 [1]
1
Kudos
Add Kudos
Bookmarks
Bookmark this Post
Answer = (C) 96%

Refer chart below:

\(\frac{96}{100} * 100 = 96\)
Attachments

mary.jpg
mary.jpg [ 14.21 KiB | Viewed 54552 times ]

User avatar
colorblind
Joined: 30 Dec 2015
Last visit: 23 Jun 2020
Posts: 52
Own Kudos:
158
 [3]
Given Kudos: 173
GPA: 3.92
WE:Engineering (Aerospace and Defense)
Posts: 52
Kudos: 158
 [3]
3
Kudos
Add Kudos
Bookmarks
Bookmark this Post
Given:
M = 1.6 T = 8/5T; [how did i get 8/5? 60% = 3/5 & 160% = 1+(3/5) = 8/5]
T = 0.6J = 3/5J;
Substitute T:
M = 8/5 * (3/5)J
M = 24/25J;
You can either calculate 24/25 (I wouldn't) or know that 24/25 is little less than 1 ~= 0.96 (the only answer choice which is little less than 1)
Hence,
M = 0.96J or 96%J

OR

M = 1.6 * 0.6*J = [(1+0.6)*(0.6)]J = [0.6 + 0.36]J = 0.96J
User avatar
mcelroytutoring
Joined: 10 Jul 2015
Last visit: 19 Mar 2026
Posts: 1,206
Own Kudos:
2,675
 [4]
Given Kudos: 282
Status:Expert GMAT, GRE, and LSAT Tutor / Coach
Affiliations: Harvard University, A.B. with honors in Government, 2002
Location: United States (CO)
Age: 45 (10 years and counting on GMAT Club!)
GMAT 1: 770 Q47 V48
GMAT 2: 730 Q44 V47
GMAT 3: 750 Q50 V42
GMAT 4: 730 Q48 V42 (Online)
GRE 1: Q168 V169
GRE 2: Q170 V170
Expert
Expert reply
GMAT 4: 730 Q48 V42 (Online)
GRE 1: Q168 V169
GRE 2: Q170 V170
Posts: 1,206
Kudos: 2,675
 [4]
4
Kudos
Add Kudos
Bookmarks
Bookmark this Post
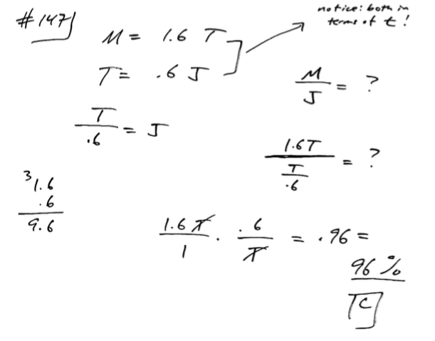
Attached is a visual that should help.
Attachments

Screen Shot 2016-05-10 at 5.53.13 PM.png
Screen Shot 2016-05-10 at 5.53.13 PM.png [ 59.67 KiB | Viewed 46542 times ]

User avatar
JeffTargetTestPrep
User avatar
Target Test Prep Representative
Joined: 04 Mar 2011
Last visit: 05 Jan 2024
Posts: 2,974
Own Kudos:
8,710
 [2]
Given Kudos: 1,646
Status:Head GMAT Instructor
Affiliations: Target Test Prep
Expert
Expert reply
Posts: 2,974
Kudos: 8,710
 [2]
Kudos
Add Kudos
2
Bookmarks
Bookmark this Post
Walkabout
Mary's income is 60 percent more than Tim's income, and Tim's income is 40 percent less than Juan's income. What percent of Juan's income is Mary's income?

(A) 124%
(B) 120%
(C) 96%
(D) 80%
(E) 64%

To solve this problem we create variables for the income of Mary, Tim, and Juan, and then set up some equations.

T = Tim’s income

M = Mary’s income

J = Juan’s income

We are given that Mary’s income is 60% more than Tim’s. Thus, we can say:

M = 1.6T

We are also given that Tim’s income is 40% less than Juan’s income. So we can say:

T = 0.6J

We are asked to determine the percent of Juan’s income that Mary’s income is. For this we can set up the expression:

M/J x 100%

To complete this problem we must express Juan's income and Mary’s income in terms of a common variable. That common variable is T. Thus, we have:

M = 1.6T

J = T/0.6

So finally we can substitute T/0.6 for J and 1.6T for M

M/J x 100%

(1.6T)/(T/0.6) x 100%

(1.6T) x (0.6/T) x 100%

The T’s cancel and we have:

1.6 x 0.6 x 100%

0.96 x 100% = 96%

Answer C.

For some students, an easier way to solve this is to use convenient numbers. If we "pretend" that Juan's income is J = $100, and Tim's income is 40% less than Juan's, then Tim's income is: 100 – (100)(.40) = $60. We also are told that Mary's income is 60% more than Tim's: 60 + (60)(.60) = 60 + 36 = $96.

Now we can easily determine the percent of Juan's income that Mary's income represents: (96/100) x 100% = 96%.
User avatar
sashiim20
Joined: 04 Dec 2015
Last visit: 05 Jun 2024
Posts: 608
Own Kudos:
1,973
 [1]
Given Kudos: 276
Location: India
Concentration: Technology, Strategy
WE:Information Technology (Consulting)
Kudos
Add Kudos
1
Bookmarks
Bookmark this Post
Mary's income is 60 percent more than Tim's income, and Tim's income is 40 percent less than Juan's income. What percent of Juan's income is Mary's income?

(A) 124%
(B) 120%
(C) 96%
(D) 80%
(E) 64%

Let Juan's income be = 100
Tim's income = 40% less than Juan's income = 60% of 100 = \(\frac{60}{100}\) x 100 = 60
Mary's income = 60% more than Tim's income = 160% of 60 = \(\frac{160}{100}\) x 60 = 96
Required percentage = Mary income/Juan's income = \(\frac{96}{100}\) = 96%
Answer C....

_________________
Kindly press "+1 Kudos" to appreciate :)
User avatar
BrentGMATPrepNow
User avatar
Major Poster
Joined: 12 Sep 2015
Last visit: 31 Oct 2025
Posts: 6,733
Own Kudos:
36,451
 [1]
Given Kudos: 799
Location: Canada
Expert
Expert reply
Posts: 6,733
Kudos: 36,451
 [1]
Kudos
Add Kudos
1
Bookmarks
Bookmark this Post
Walkabout
Mary's income is 60 percent more than Tim's income, and Tim's income is 40 percent less than Juan's income. What percent of Juan's income is Mary's income?

(A) 124%
(B) 120%
(C) 96%
(D) 80%
(E) 64%

I suggest that we choose some nice values that meet the given conditions.

Tim's income is 40 percent less than Juan's income.
Let Juan's income = $100
40% of $100 = $40
This means Tim's income = $100 - $40 = $60

Mary's income is 60 percent more than Tim's income
60% of $60 = $36
So Mary's income = $60+ $36 = $96

What percent of Juan's income is Mary's income?
Juan's income = $100
Mary's income = $96

So, Mary's income is 96% of Juan's income
Answer: C
User avatar
EMPOWERgmatRichC
User avatar
Major Poster
Joined: 19 Dec 2014
Last visit: 31 Dec 2023
Posts: 21,777
Own Kudos:
Given Kudos: 450
Status:GMAT Assassin/Co-Founder
Affiliations: EMPOWERgmat
Location: United States (CA)
GMAT 1: 800 Q51 V49
GRE 1: Q170 V170
Expert
Expert reply
GMAT 1: 800 Q51 V49
GRE 1: Q170 V170
Posts: 21,777
Kudos: 13,047
Kudos
Add Kudos
Bookmarks
Bookmark this Post
Hi All,

Brent has provided an explanation that focuses on TESTing Values; I'm a big fan of this approach and I highly recommend it. As an alternative, here's the algebra approach:

We'll need to translate the "math phrases" into actual equations.

"Mary's income is 60% more than Tim's income"

M = 1.6T

"Tim's income is 40% less than Juan's income"

T = .6J

"What percent of Juan's income is Mary's income?"

We already have a value for M (above); now we need to take the second equation and solve for J…

T = .6J
T = 3J/5
5T/3 = J

We're asked for the value of M/J….

M = 1.6T
J = 1.666T

1.6T/1.666T = 1.6/1.666 = a little less than 1 = a little less than 100%

The only answer that's close is answer
GMAT assassins aren't born, they're made,
Rich
User avatar
MITIMITIM
Joined: 14 Jan 2021
Last visit: 06 Jun 2022
Posts: 50
Own Kudos:
Given Kudos: 66
Location: France
Schools: Harvard '24
Schools: Harvard '24
Posts: 50
Kudos: 8
Kudos
Add Kudos
Bookmarks
Bookmark this Post
Bunuel

so basically "What percent of Juan's income is Mary's income?" -> when there is "of Juan" = Juan is the denominator?

Quote:
You can do this way, though the way proposed in my post is better:

Mary's income = 160.
Tim's income = 100;
Juan's income = 100/0.6 = 500/3.

(160)/(500/3)*100 = 480/500*100 =96%.\

Many thanks :-)
User avatar
ArnauG
Joined: 23 Dec 2022
Last visit: 14 Oct 2023
Posts: 284
Own Kudos:
Given Kudos: 199
Posts: 284
Kudos: 43
Kudos
Add Kudos
Bookmarks
Bookmark this Post
Given:
Tim's income = x
Juan's income = 100% (or 1 times) of x

Tim's income is 40% less than Juan's income, so Tim's income can be expressed as:
Tim's income = (100% - 40%) * Juan's income = 60% * Juan's income = 0.6 * Juan's income

Mary's income is 60% more than Tim's income, so Mary's income can be expressed as:
Mary's income = (100% + 60%) * Tim's income = 160% * Tim's income = 1.6 * Tim's income

Substituting the value of Tim's income from the earlier calculation:
Mary's income = 1.6 * (0.6 * Juan's income) = 0.96 * Juan's income

Therefore, Mary's income is 96% of Juan's income, which corresponds to option (C) in the given choices.
User avatar
plpurva
Joined: 12 Nov 2024
Last visit: 15 Feb 2026
Posts: 19
Own Kudos:
Given Kudos: 31
Location: India
GPA: 6.2
WE:Analyst (Consulting)
Posts: 19
Kudos: 9
Kudos
Add Kudos
Bookmarks
Bookmark this Post
Assuming that the number is 100
Mary= 160% of Tim's income
Tim = 60% of Juan's income

Substituting Tim's income:
Mary= (160/100 * 60/100 )Juan's income
Mary= 96% Juan's income

Walkabout
Mary's income is 60 percent more than Tim's income, and Tim's income is 40 percent less than Juan's income. What percent of Juan's income is Mary's income?

(A) 124%
(B) 120%
(C) 96%
(D) 80%
(E) 64%
User avatar
totaltestprepNick
Joined: 25 Aug 2014
Last visit: 23 Apr 2026
Posts: 469
Own Kudos:
Given Kudos: 2
GMAT 1: 750 Q49 V42
GMAT 1: 750 Q49 V42
Posts: 469
Kudos: 4
Kudos
Add Kudos
Bookmarks
Bookmark this Post
Walkabout
Mary's income is 60 percent more than Tim's income, and Tim's income is 40 percent less than Juan's income. What percent of Juan's income is Mary's income?

(A) 124%
(B) 120%
(C) 96%
(D) 80%
(E) 64%





Nick Slavkovich, GMAT/GRE tutor with 20+ years of experience

[email protected]
Moderators:
Math Expert
109785 posts
Tuck School Moderator
853 posts