Last visit was: 23 Apr 2026, 10:18 It is currently 23 Apr 2026, 10:18
Close
GMAT Club Daily Prep
Thank you for using the timer - this advanced tool can estimate your performance and suggest more practice questions. We have subscribed you to Daily Prep Questions via email.

Customized
for You

we will pick new questions that match your level based on your Timer History

Track
Your Progress

every week, we’ll send you an estimated GMAT score based on your performance

Practice
Pays

we will pick new questions that match your level based on your Timer History
Not interested in getting valuable practice questions and articles delivered to your email? No problem, unsubscribe here.
Close
Request Expert Reply
Confirm Cancel
User avatar
emmak
Joined: 09 Feb 2013
Last visit: 08 Jul 2014
Posts: 103
Own Kudos:
4,856
 [53]
Given Kudos: 17
Posts: 103
Kudos: 4,856
 [53]
8
Kudos
Add Kudos
45
Bookmarks
Bookmark this Post
Most Helpful Reply
User avatar
mikemcgarry
User avatar
Magoosh GMAT Instructor
Joined: 28 Dec 2011
Last visit: 06 Aug 2018
Posts: 4,474
Own Kudos:
30,880
 [20]
Given Kudos: 130
Expert
Expert reply
Posts: 4,474
Kudos: 30,880
 [20]
11
Kudos
Add Kudos
9
Bookmarks
Bookmark this Post
User avatar
PerfectScores
Joined: 20 Dec 2013
Last visit: 29 Nov 2025
Posts: 103
Own Kudos:
281
 [6]
Given Kudos: 1
Expert
Expert reply
Posts: 103
Kudos: 281
 [6]
4
Kudos
Add Kudos
2
Bookmarks
Bookmark this Post
General Discussion
avatar
pprange
Joined: 23 Apr 2014
Last visit: 16 May 2015
Posts: 2
Own Kudos:
Given Kudos: 45
Concentration: Sustainability, Marketing
WE:Consulting (Energy)
Posts: 2
Kudos: 5
Kudos
Add Kudos
Bookmarks
Bookmark this Post
Mike, you are amazing at explaining things! I did a Veritas Prep exam and had trouble understanding their explanation so I searched it up on the forum. Turns out you're explaining things here just as well as Magoosh. Thank you, I am so happy I purchased Magoosh!
avatar
sanket1991
Joined: 14 Sep 2014
Last visit: 22 Aug 2015
Posts: 74
Own Kudos:
109
 [1]
Given Kudos: 51
WE:Engineering (Consulting)
Posts: 74
Kudos: 109
 [1]
1
Kudos
Add Kudos
Bookmarks
Bookmark this Post
mikemcgarry
If we draw a circumcircle around a 45-45-90 (this) triangle, we can solve this question within 1 minute :-D
By drawing circle we will get "a/ 2^1/2" as radii and we already know side as 'a'
we get 45-45-90 triangles with side "a/ 2^1/2" and hypotenuse as 'a'

perimeter _/2 * a + a = p - a

Hope I am correct in this approach... :oops:
User avatar
mikemcgarry
User avatar
Magoosh GMAT Instructor
Joined: 28 Dec 2011
Last visit: 06 Aug 2018
Posts: 4,474
Own Kudos:
30,880
 [2]
Given Kudos: 130
Expert
Expert reply
Posts: 4,474
Kudos: 30,880
 [2]
1
Kudos
Add Kudos
1
Bookmarks
Bookmark this Post
sanket1991
mikemcgarry
If we draw a circumcircle around a 45-45-90 (this) triangle, we can solve this question within 1 minute :-D
By drawing circle we will get a/\sqrt{2} as radii and we already know side as a
we get 45-45-90 triangles with side a/\sqrt{2} and hyp. a

perimeter \sqrt{2}a + a = p - a

Hope I am correct in this approach... :oops:
Dear sanket1991,
I'm happy to respond. :-) Your approach is correct and insightful.

I would say: if you are going to write math on GC, it would be good to learn the conventions for writing proper math symbols on this site. See:
writing-mathematical-formulas-in-the-gmat-club-forums-this-72468.html

Best of luck, my friend.
Mike :-)
User avatar
oss198
Joined: 18 Jul 2013
Last visit: 01 Jan 2023
Posts: 68
Own Kudos:
Given Kudos: 120
Location: Italy
GMAT 1: 600 Q42 V31
GMAT 2: 700 Q48 V38
GPA: 3.75
GMAT 2: 700 Q48 V38
Posts: 68
Kudos: 431
Kudos
Add Kudos
Bookmarks
Bookmark this Post
mikemcgarry

Now, we draw AD, dividing the ABC into two smaller congruent triangles. AC = a is not the hypotenuse, so each leg is

AD = CD = \(\frac{a}{sqrt(2)}\) = \(\frac{a*sqrt(2)}{2}\)


Hi,
I don't really get it. Could you tell me what do you mean by "AC = a is not the hypotenuse, so each leg is

AD = CD" ?
User avatar
mikemcgarry
User avatar
Magoosh GMAT Instructor
Joined: 28 Dec 2011
Last visit: 06 Aug 2018
Posts: 4,474
Own Kudos:
30,880
 [1]
Given Kudos: 130
Expert
Expert reply
Posts: 4,474
Kudos: 30,880
 [1]
Kudos
Add Kudos
1
Bookmarks
Bookmark this Post
oss198
mikemcgarry

Now, we draw AD, dividing the ABC into two smaller congruent triangles. AC = a is not the hypotenuse, so each leg is

AD = CD = \(\frac{a}{sqrt(2)}\) = \(\frac{a*sqrt(2)}{2}\)


Hi,
I don't really get it. Could you tell me what do you mean by "AC = a is not the hypotenuse, so each leg is

AD = CD" ?
Dear oss198,
I'm sorry, my friend! That was a typo, and no one else pointed it out until now. When I said:
AC = a is not the hypotenuse, so each leg is ...
I meant
AC = a is now the hypotenuse, so each leg is ...
I just changed that in the post above. Thank you for pointing this out.

Does all this make sense now?
Mike :-)
User avatar
oss198
Joined: 18 Jul 2013
Last visit: 01 Jan 2023
Posts: 68
Own Kudos:
Given Kudos: 120
Location: Italy
GMAT 1: 600 Q42 V31
GMAT 2: 700 Q48 V38
GPA: 3.75
GMAT 2: 700 Q48 V38
Posts: 68
Kudos: 431
Kudos
Add Kudos
Bookmarks
Bookmark this Post
mikemcgarry
oss198
mikemcgarry

Now, we draw AD, dividing the ABC into two smaller congruent triangles. AC = a is not the hypotenuse, so each leg is

AD = CD = \(\frac{a}{sqrt(2)}\) = \(\frac{a*sqrt(2)}{2}\)


Hi,
I don't really get it. Could you tell me what do you mean by "AC = a is not the hypotenuse, so each leg is

AD = CD" ?
Dear oss198,
I'm sorry, my friend! That was a typo, and no one else pointed it out until now. When I said:
AC = a is not the hypotenuse, so each leg is ...
I meant
AC = a is now the hypotenuse, so each leg is ...
I just changed that in the post above. Thank you for pointing this out.

Does all this make sense now?
Mike :-)

Thank you for your answer Mike, I'm sorry but can you now precise how do you conclude that AD = CD?
User avatar
mikemcgarry
User avatar
Magoosh GMAT Instructor
Joined: 28 Dec 2011
Last visit: 06 Aug 2018
Posts: 4,474
Own Kudos:
30,880
 [1]
Given Kudos: 130
Expert
Expert reply
Posts: 4,474
Kudos: 30,880
 [1]
1
Kudos
Add Kudos
Bookmarks
Bookmark this Post
oss198
Thank you for your answer Mike, I'm sorry but can you now precise how do you conclude that AD = CD?
I'm happy to respond. :-)
My friend, you have to know the Isosceles Triangle Theorem, one of the cornerstones of Geometry:
https://magoosh.com/gmat/2012/isosceles- ... -the-gmat/
We know that angle ACD = 45 degrees, and we know that segment AD bisects the right angle, so angle DAC is 45 degrees. Because those two angles are equal, it absolutely must be true that AD = CD.
Does this make sense?
Mike :-)
User avatar
oss198
Joined: 18 Jul 2013
Last visit: 01 Jan 2023
Posts: 68
Own Kudos:
431
 [1]
Given Kudos: 120
Location: Italy
GMAT 1: 600 Q42 V31
GMAT 2: 700 Q48 V38
GPA: 3.75
GMAT 2: 700 Q48 V38
Posts: 68
Kudos: 431
 [1]
1
Kudos
Add Kudos
Bookmarks
Bookmark this Post
mikemcgarry
oss198
Thank you for your answer Mike, I'm sorry but can you now precise how do you conclude that AD = CD?
I'm happy to respond. :-)
My friend, you have to know the Isosceles Triangle Theorem, one of the cornerstones of Geometry:
https://magoosh.com/gmat/2012/isosceles- ... -the-gmat/
We know that angle ACD = 45 degrees, and we know that segment AD bisects the right angle, so angle DAC is 45 degrees. Because those two angles are equal, it absolutely must be true that AD = CD.
Does this make sense?
Mike :-)

ooh right i didn't see that :oops:

thank you so much!
User avatar
usre123
Joined: 30 Mar 2013
Last visit: 25 Nov 2022
Posts: 73
Own Kudos:
Given Kudos: 197
Location: United States
GMAT 1: 760 Q50 V44
GMAT 1: 760 Q50 V44
Posts: 73
Kudos: 234
Kudos
Add Kudos
Bookmarks
Bookmark this Post
mikemcgarry
emmak
An isosceles right triangle with a leg of length "a" and perimeter "p" is further divided into two similar triangles of equal area. Which of the following represents the perimeter of one of these smaller triangles?
A. p/2
B. p−a
C. (p+a)/2
D. 2a
E. \(p-a\sqrt{2}\)
This is a HARD question. A good challenging question :-) --- probably at the upper limit of difficulty of what the GMAT would ask.

Here's a blog about the properties of 45-45-90 triangles:
https://magoosh.com/gmat/2012/the-gmats- ... triangles/
Attachment:
isosceles right triangle, split in two.JPG
We know the legs have length a, so the hypotenuse BC = \(a*sqrt(2)\). Therefore the perimeter, p, equals
p = \(2a + a*sqrt(2)\)

OK, hold onto that piece and put it aside a moment.

Now, we draw AD, dividing the ABC into two smaller congruent triangles. AC = a is now the hypotenuse, so each leg is

AD = CD = \(\frac{a}{sqrt(2)}\) = \(\frac{a*sqrt(2)}{2}\)

Incidentally, on that final step, "rationalizing the denominator", here's a blog article:
https://magoosh.com/gmat/2013/gmat-math- ... uare-root/

Therefore, AD + CD = \(a*sqrt(2)\), and

new perimeter = AC + AD + CD = \(a + a*sqrt(2)\)

The only difference between this "new perimeter" and p is the extra "a", so

p = \(2a + a*sqrt(2)\) = \(a + a + a*sqrt(2)\) = a + "new perimeter"

So,

new perimeter = p - a

Answer = (B)

Let me know if anyone reading this has any questions.

Mike :-)



Hi,
Is AD=DC always (triangle on the right) in such a scenario. I thought it should be equal, but spent maybe a minute proving it to myself.
avatar
reddyMBA
Joined: 04 Mar 2010
Last visit: 09 Oct 2016
Posts: 5
Own Kudos:
30
 [2]
Given Kudos: 1
Products:
Posts: 5
Kudos: 30
 [2]
Kudos
Add Kudos
2
Bookmarks
Bookmark this Post
Just wanted to share, Kind of an easy but tricky question...

Q.) An isosceles right triangle with a leg of length a and perimeter p is further divided into two similar triangles of equal area. Which of the following represents the perimeter of one of these smaller triangles?

A.) p/2
B.) p−a
C.) p+a/2
D.) 2a
E.) p−a\sqrt{2}


Please give me Kudo's if you like it.
avatar
jayanth7290
Joined: 10 Feb 2013
Last visit: 06 Apr 2015
Posts: 13
Own Kudos:
Given Kudos: 6
Location: India
Concentration: General Management, Finance
GMAT Date: 05-16-2015
GPA: 3.67
WE:Programming (Computer Software)
Posts: 13
Kudos: 24
Kudos
Add Kudos
Bookmarks
Bookmark this Post
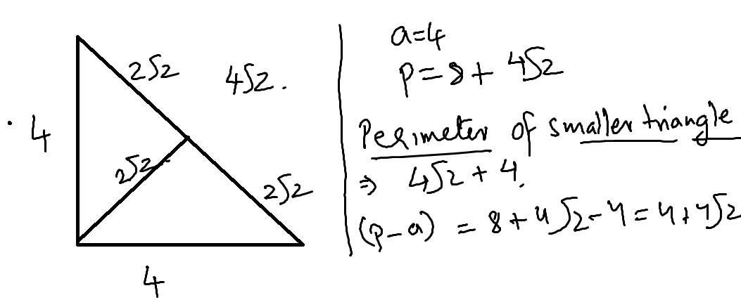
Pretty good question actually ,enjoyed solving it :)

Refer to the attachment ..Let me know if u have any query regarding my explanation


reddyMBA
Just wanted to share, Kind of an easy but tricky question...

Q.) An isosceles right triangle with a leg of length a and perimeter p is further divided into two similar triangles of equal area. Which of the following represents the perimeter of one of these smaller triangles?

A.) p/2
B.) p−a
C.) p+a/2
D.) 2a
E.) p−a\sqrt{2}


Please give me Kudo's if you like it.

Attachments

Untitled 123.jpg
Untitled 123.jpg [ 29.53 KiB | Viewed 28020 times ]

avatar
PareshGmat
Joined: 27 Dec 2012
Last visit: 10 Jul 2016
Posts: 1,531
Own Kudos:
8,271
 [1]
Given Kudos: 193
Status:The Best Or Nothing
Location: India
Concentration: General Management, Technology
WE:Information Technology (Computer Software)
Posts: 1,531
Kudos: 8,271
 [1]
Kudos
Add Kudos
1
Bookmarks
Bookmark this Post
Answer = B.) p−a

Attachment:
rt.png
rt.png [ 4.41 KiB | Viewed 27997 times ]

Figure I

Hypotenuse \(= \sqrt{a^2 + a^2} = a\sqrt{2}\)

Given that \(a + a + a\sqrt{2} = p\)

\(2a + a\sqrt{2} = p\) ............... (1)

Figure II

Divide Fig I in two parts

Two new equal size isosceles right triangles are formed,

Height & base of small isosceles right triangle \(= \frac{1}{2} a\sqrt{2} = \frac{a}{sqrt{2}}\)

Perimeter of small isosceles right triangle

\(= a + \frac{a}{sqrt{2}} + \frac{a}{sqrt{2}}\)

\(= a + a\sqrt{2}\)

\(= 2a + a\sqrt{2} - a\)

= p - a (From I)
User avatar
KarishmaB
Joined: 16 Oct 2010
Last visit: 23 Apr 2026
Posts: 16,441
Own Kudos:
Given Kudos: 484
Location: Pune, India
Expert
Expert reply
Active GMAT Club Expert! Tag them with @ followed by their username for a faster response.
Posts: 16,441
Kudos: 79,396
Kudos
Add Kudos
Bookmarks
Bookmark this Post
reddyMBA
Just wanted to share, Kind of an easy but tricky question...

Q.) An isosceles right triangle with a leg of length a and perimeter p is further divided into two similar triangles of equal area. Which of the following represents the perimeter of one of these smaller triangles?

A.) p/2
B.) p−a
C.) p+a/2
D.) 2a
E.) p−a\sqrt{2}


Please give me Kudo's if you like it.

Attachment:
Ques3.jpg
Ques3.jpg [ 5.79 KiB | Viewed 27939 times ]
Given is the isosceles right triangle with leg of length a. The hypotenuse will be \(\sqrt{2}a\) using pythagorean theorem.
We are given \(a + a + \sqrt{2}a = p\)
\(p = 2a + \sqrt{2}a\)

When you drop an altitude to make 2 smaller similar triangles, the length of the altitude is say L.

Area of the big triangle = \((1/2)*a*a = (1/2)*\sqrt{2}a * L\)
\(L = a/\sqrt{2}\)

Perimeter of small triangle \(= a + L + \sqrt{2}a/2 = a + a/\sqrt{2} + \sqrt{2}a/2 = a + \sqrt{2}a\)
But we need the perimeter in terms of p too.
\(p = 2a + \sqrt{2}a\)
So \(\sqrt{2}a = p - 2a\)

Perimeter of small triangle \(= a + p - 2a = p - a\)

Answer (B)
avatar
DesiGmat
Joined: 27 Oct 2013
Last visit: 06 Feb 2021
Posts: 173
Own Kudos:
Given Kudos: 79
Location: India
Concentration: General Management, Technology
GMAT Date: 03-02-2015
GPA: 3.88
Posts: 173
Kudos: 237
Kudos
Add Kudos
Bookmarks
Bookmark this Post
Just to add on Karishma.

As per my knowledge, an altitude doesn't divide a triangle into 2 equal triangles having the same area.
It's the median.
In this case as the triangle is right angled triangle, and Karishma have mentioned how to calculate the longest side i.e. the hypotenuse using the Pythogorus Theorem.

there's one property of the median drawn on the hypotenuse in a right angled triangle.
Median = 1/2 * Hypotenuse = a/sqrt2

and we can accordingly proceed with the question.
Correct me if I am wrong somewhere.
avatar
PareshGmat
Joined: 27 Dec 2012
Last visit: 10 Jul 2016
Posts: 1,531
Own Kudos:
Given Kudos: 193
Status:The Best Or Nothing
Location: India
Concentration: General Management, Technology
WE:Information Technology (Computer Software)
Posts: 1,531
Kudos: 8,271
Kudos
Add Kudos
Bookmarks
Bookmark this Post
DesiGmat
Just to add on Karishma.

As per my knowledge, an altitude doesn't divide a triangle into 2 equal triangles having the same area.
It's the median.
In this case as the triangle is right angled triangle, and Karishma have mentioned how to calculate the longest side i.e. the hypotenuse using the Pythogorus Theorem.

there's one property of the median drawn on the hypotenuse in a right angled triangle.
Median = 1/2 * Hypotenuse = a/sqrt2

and we can accordingly proceed with the question.
Correct me if I am wrong somewhere.

For an Isosceles right triangle, altitude (height) = median
avatar
jayanth7290
Joined: 10 Feb 2013
Last visit: 06 Apr 2015
Posts: 13
Own Kudos:
Given Kudos: 6
Location: India
Concentration: General Management, Finance
GMAT Date: 05-16-2015
GPA: 3.67
WE:Programming (Computer Software)
Posts: 13
Kudos: 24
Kudos
Add Kudos
Bookmarks
Bookmark this Post
DesiGmat altitude is median since its an isoceles triangle so it works in this case
avatar
DesiGmat
Joined: 27 Oct 2013
Last visit: 06 Feb 2021
Posts: 173
Own Kudos:
Given Kudos: 79
Location: India
Concentration: General Management, Technology
GMAT Date: 03-02-2015
GPA: 3.88
Posts: 173
Kudos: 237
Kudos
Add Kudos
Bookmarks
Bookmark this Post
Altitute can't be the median in isoscles right angle traingle.

In the figure attached, in isosceles right angled triangle ABC, AB is an altitude but not a median.
Similarly BD is perpendicular to AC, but it doesn't mean that AD = DC

and in isoscles right angled triangle PQR, PS can be the median(not altitude) and it divides the triangle PQR into two equal traingles of same area

Correct me if i am wrong
Attachments

Q.JPG
Q.JPG [ 11.99 KiB | Viewed 27234 times ]

 1   2   
Moderators:
Math Expert
109782 posts
Tuck School Moderator
853 posts