Last visit was: 23 Apr 2026, 00:59 It is currently 23 Apr 2026, 00:59
Close
GMAT Club Daily Prep
Thank you for using the timer - this advanced tool can estimate your performance and suggest more practice questions. We have subscribed you to Daily Prep Questions via email.

Customized
for You

we will pick new questions that match your level based on your Timer History

Track
Your Progress

every week, we’ll send you an estimated GMAT score based on your performance

Practice
Pays

we will pick new questions that match your level based on your Timer History
Not interested in getting valuable practice questions and articles delivered to your email? No problem, unsubscribe here.
Close
Request Expert Reply
Confirm Cancel
User avatar
Bunuel
User avatar
Math Expert
Joined: 02 Sep 2009
Last visit: 22 Apr 2026
Posts: 109,763
Own Kudos:
Given Kudos: 105,850
Products:
Expert
Expert reply
Active GMAT Club Expert! Tag them with @ followed by their username for a faster response.
Posts: 109,763
Kudos: 810,712
 [31]
3
Kudos
Add Kudos
28
Bookmarks
Bookmark this Post
Most Helpful Reply
avatar
bluesquare
Joined: 29 Mar 2015
Last visit: 01 Dec 2016
Posts: 39
Own Kudos:
65
 [6]
Given Kudos: 9
Location: United States
Products:
Posts: 39
Kudos: 65
 [6]
5
Kudos
Add Kudos
1
Bookmarks
Bookmark this Post
General Discussion
User avatar
GMATinsight
User avatar
Major Poster
Joined: 08 Jul 2010
Last visit: 23 Apr 2026
Posts: 6,976
Own Kudos:
16,904
 [3]
Given Kudos: 128
Status:GMAT/GRE Tutor l Admission Consultant l On-Demand Course creator
Location: India
GMAT: QUANT+DI EXPERT
Schools: IIM (A) ISB '24
GMAT 1: 750 Q51 V41
WE:Education (Education)
Products:
Expert
Expert reply
Schools: IIM (A) ISB '24
GMAT 1: 750 Q51 V41
Posts: 6,976
Kudos: 16,904
 [3]
3
Kudos
Add Kudos
Bookmarks
Bookmark this Post
User avatar
Bunuel
User avatar
Math Expert
Joined: 02 Sep 2009
Last visit: 22 Apr 2026
Posts: 109,763
Own Kudos:
810,712
 [4]
Given Kudos: 105,850
Products:
Expert
Expert reply
Active GMAT Club Expert! Tag them with @ followed by their username for a faster response.
Posts: 109,763
Kudos: 810,712
 [4]
1
Kudos
Add Kudos
3
Bookmarks
Bookmark this Post
Bunuel
If the function f(n) is defined as f(n) = n/(n + 1), for all integer values of n such that n ≠ –1, which of the following must be true?

I. f(x + 1) > f (x)
II. f(x) > 0
III. f(x) ≠ 0

(A) I only
(B) II only
(C) I and II only
(D) I and III only
(E) II and III only


Kudos for a correct solution.

MANHATTAN GMAT OFFICIAL SOLUTION:

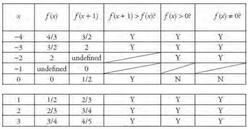
Set up a chart to test a representative set of possible x values, including positives, negatives, and zero:
Attachment:
2015-06-15_1214.png
2015-06-15_1214.png [ 81.8 KiB | Viewed 14025 times ]
I. ALWAYS TRUE: In all cases where f(x) and f(x + 1) were defined, f(x + 1) > f(x).

II. USUALLY TRUE: However, f(x) can equal 0 when x = 0.

III. USUALLY TRUE: However, f(x) can equal 0 when x = 0.

Therefore, only statement I must be true.

The correct answer is A.
User avatar
Alex75PAris
Joined: 16 Mar 2016
Last visit: 08 Mar 2017
Posts: 100
Own Kudos:
Location: France
GMAT 1: 660 Q47 V33
GPA: 3.25
GMAT 1: 660 Q47 V33
Posts: 100
Kudos: 274
Kudos
Add Kudos
Bookmarks
Bookmark this Post
A faster way:

try some values for f(n)
f(-2) = 2
f(0) = 0
f(1) = 1/2

you see directly that II and III are wrong.
f(x)>0, wrong f(0)=0
f(x) ≠ 0, wrong f(0)=0

So, I only, since you don't have the answer choice "None".
User avatar
mbaprep2016
Joined: 29 May 2016
Last visit: 30 Jun 2018
Posts: 70
Own Kudos:
Given Kudos: 362
Posts: 70
Kudos: 101
Kudos
Add Kudos
Bookmarks
Bookmark this Post
i have a doubt please correct me where m i wrong
in A

f(x+1) > f(x), so the equation become
x+1/x+2 > x/x+1
let x =1
2/3 > 1/2 answer is yes
x= -3
-3+1/-3+2 > -3/-3+1
-2/-1 > -3/-2 i.e. 2> 3/2 yes

what x=-2 solution is not defined, how we deal with this case
avatar
bhaskar123
Joined: 30 Jul 2016
Last visit: 05 Mar 2024
Posts: 56
Own Kudos:
Given Kudos: 14
Location: India
GMAT 1: 690 Q46 V39
WE:Analyst (Real Estate)
GMAT 1: 690 Q46 V39
Posts: 56
Kudos: 94
Kudos
Add Kudos
Bookmarks
Bookmark this Post
mbaprep2016
i have a doubt please correct me where m i wrong
in A

f(x+1) > f(x), so the equation become
x+1/x+2 > x/x+1
let x =1
2/3 > 1/2 answer is yes
x= -3
-3+1/-3+2 > -3/-3+1
-2/-1 > -3/-2 i.e. 2> 3/2 yes

what x=-2 solution is not defined, how we deal with this case

Yes , for X=-2 seems a valid number to plug in, this will make f(x+1) undefined .
(x+1)/(x+2) = (-2+1)/(-2+2) will become undefined.
But question itself is not bounded by x is not equal to 2, but rather x is not equal to 1.

Can someone please clarify.
User avatar
TheNightKing
Joined: 18 Dec 2017
Last visit: 20 Mar 2024
Posts: 1,125
Own Kudos:
Given Kudos: 421
Location: United States (KS)
GMAT 1: 600 Q46 V27
GMAT 1: 600 Q46 V27
Posts: 1,125
Kudos: 1,381
Kudos
Add Kudos
Bookmarks
Bookmark this Post
Bunuel
If the function f(n) is defined as f(n) = n/(n + 1), for all integer values of n such that n ≠ –1, which of the following must be true?

I. f(x + 1) > f (x)
II. f(x) > 0
III. f(x) ≠ 0

(A) I only
(B) II only
(C) I and II only
(D) I and III only
(E) II and III only


Kudos for a correct solution.

I solved it fairly quickly so I will mention my approach.
The question is asking must be true. So let's try to make it not true.
II. f(x) > 0 -- If you try n=-2 you get the value of the function as -2. So this if false
III. f(x) ≠ 0 -- Well 0 brings the expression to 0.

Now I was actually trying to evaluate options but then I thought do I have an option which says None of these? No? Hence A.

40 seconds :)

Thank you!
User avatar
Dj06
Joined: 06 Apr 2024
Last visit: 16 Apr 2026
Posts: 7
Own Kudos:
Given Kudos: 33
Posts: 7
Kudos: 3
Kudos
Add Kudos
Bookmarks
Bookmark this Post
Solving for A as B and C can easily be eliminated at x=0

lets say f(x+1)=x+1/x+2 and f(x) = x/x+1. Cross multiplying to see if f(x+1) > f(x), we get

LHS = (x+1)(x+1) = x(x+1)+ x+1

RHS = x(x+2) = x(x+1) + x

Hence we see that LHS will also have an extra 1, doesn't matter if x is positive or negative.

PS: please replace x with n.
Moderators:
Math Expert
109763 posts
Tuck School Moderator
853 posts