Last visit was: 24 Apr 2026, 11:40 It is currently 24 Apr 2026, 11:40
Close
GMAT Club Daily Prep
Thank you for using the timer - this advanced tool can estimate your performance and suggest more practice questions. We have subscribed you to Daily Prep Questions via email.

Customized
for You

we will pick new questions that match your level based on your Timer History

Track
Your Progress

every week, we’ll send you an estimated GMAT score based on your performance

Practice
Pays

we will pick new questions that match your level based on your Timer History
Not interested in getting valuable practice questions and articles delivered to your email? No problem, unsubscribe here.
Close
Request Expert Reply
Confirm Cancel
User avatar
Bunuel
User avatar
Math Expert
Joined: 02 Sep 2009
Last visit: 24 Apr 2026
Posts: 109,817
Own Kudos:
Given Kudos: 105,873
Products:
Expert
Expert reply
Active GMAT Club Expert! Tag them with @ followed by their username for a faster response.
Posts: 109,817
Kudos: 811,046
 [22]
Kudos
Add Kudos
22
Bookmarks
Bookmark this Post
User avatar
GMATinsight
User avatar
Major Poster
Joined: 08 Jul 2010
Last visit: 24 Apr 2026
Posts: 6,977
Own Kudos:
16,914
 [4]
Given Kudos: 128
Status:GMAT/GRE Tutor l Admission Consultant l On-Demand Course creator
Location: India
GMAT: QUANT+DI EXPERT
Schools: IIM (A) ISB '24
GMAT 1: 750 Q51 V41
WE:Education (Education)
Products:
Expert
Expert reply
Schools: IIM (A) ISB '24
GMAT 1: 750 Q51 V41
Posts: 6,977
Kudos: 16,914
 [4]
3
Kudos
Add Kudos
1
Bookmarks
Bookmark this Post
User avatar
lucajava
Joined: 21 Feb 2019
Last visit: 18 Jul 2019
Posts: 68
Own Kudos:
353
 [4]
Given Kudos: 66
Location: Italy
Posts: 68
Kudos: 353
 [4]
4
Kudos
Add Kudos
Bookmarks
Bookmark this Post
User avatar
Yoaerez
Joined: 08 Jul 2024
Last visit: 27 Apr 2025
Posts: 20
Own Kudos:
Given Kudos: 9
Posts: 20
Kudos: 28
Kudos
Add Kudos
Bookmarks
Bookmark this Post
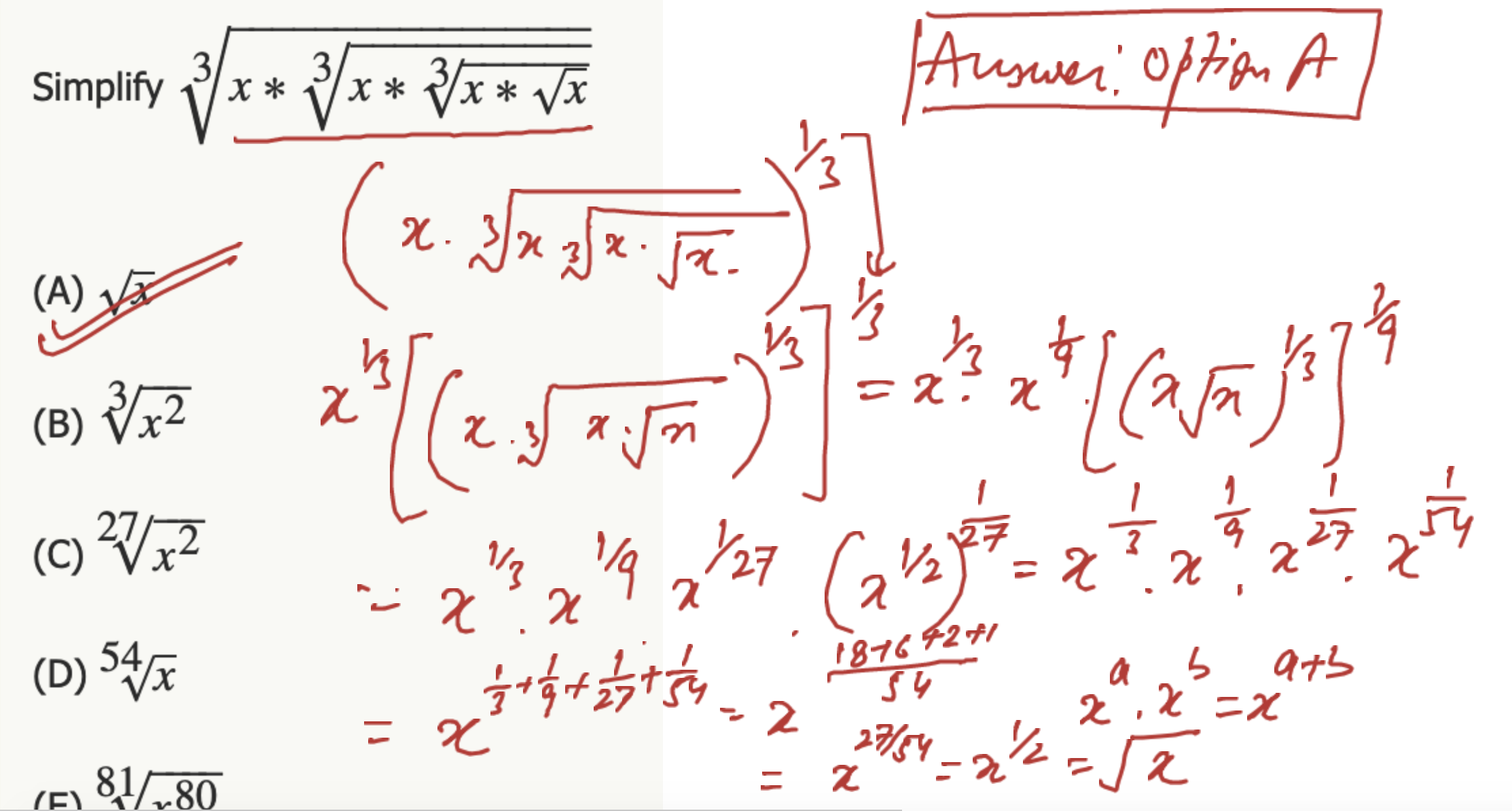
let's choose 25 for x

we have 3 cube roots:

the first one is ∛(25*√25) = ∛(125) = 5

Second one is ∛25*the answer of our first cube root which is 5. so the result is also 5.

Third and last one is again ∛25*5 = 5.

so simplifying the whole term gets you 5, which is the square root of 25.

A is the answer.
User avatar
bumpbot
User avatar
Non-Human User
Joined: 09 Sep 2013
Last visit: 04 Jan 2021
Posts: 38,974
Own Kudos:
Posts: 38,974
Kudos: 1,117
Kudos
Add Kudos
Bookmarks
Bookmark this Post
Automated notice from GMAT Club BumpBot:

A member just gave Kudos to this thread, showing it’s still useful. I’ve bumped it to the top so more people can benefit. Feel free to add your own questions or solutions.

This post was generated automatically.
Moderators:
Math Expert
109816 posts
Tuck School Moderator
853 posts