Last visit was: 23 Apr 2026, 20:14 It is currently 23 Apr 2026, 20:14
Close
GMAT Club Daily Prep
Thank you for using the timer - this advanced tool can estimate your performance and suggest more practice questions. We have subscribed you to Daily Prep Questions via email.

Customized
for You

we will pick new questions that match your level based on your Timer History

Track
Your Progress

every week, we’ll send you an estimated GMAT score based on your performance

Practice
Pays

we will pick new questions that match your level based on your Timer History
Not interested in getting valuable practice questions and articles delivered to your email? No problem, unsubscribe here.
Close
Request Expert Reply
Confirm Cancel
User avatar
Bunuel
User avatar
Math Expert
Joined: 02 Sep 2009
Last visit: 23 Apr 2026
Posts: 109,785
Own Kudos:
Given Kudos: 105,853
Products:
Expert
Expert reply
Active GMAT Club Expert! Tag them with @ followed by their username for a faster response.
Posts: 109,785
Kudos: 810,877
Kudos
Add Kudos
Bookmarks
Bookmark this Post
User avatar
prateekchugh
Joined: 05 Aug 2017
Last visit: 27 Sep 2021
Posts: 357
Own Kudos:
Given Kudos: 277
Location: India
Concentration: Strategy, Marketing
WE:Engineering (Energy)
Posts: 357
Kudos: 591
Kudos
Add Kudos
Bookmarks
Bookmark this Post
User avatar
vigneshvrk
Joined: 17 Sep 2019
Last visit: 13 Nov 2021
Posts: 53
Own Kudos:
Given Kudos: 13
Posts: 53
Kudos: 1
Kudos
Add Kudos
Bookmarks
Bookmark this Post
User avatar
Abhishek009
User avatar
Board of Directors
Joined: 11 Jun 2011
Last visit: 17 Dec 2025
Posts: 5,903
Own Kudos:
Given Kudos: 463
Status:QA & VA Forum Moderator
Location: India
GPA: 3.5
WE:Business Development (Commercial Banking)
Posts: 5,903
Kudos: 5,452
Kudos
Add Kudos
Bookmarks
Bookmark this Post
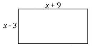
Bunuel

If the perimeter of the rectangle above is 80, what is the value of x?

A. 20

B. 19

C. 18

D. 17

E. 16


Attachment:
1.jpg

\(2{(x+9)+(x-3)} = 80\)

Or, \(2x + 6 = 40\)

Or, \(x = 17\), Answer must be (D)
User avatar
Sr1994
User avatar
Retired Moderator
Joined: 28 Nov 2019
Last visit: 27 Oct 2025
Posts: 207
Own Kudos:
Given Kudos: 89
Location: India
Schools: ISB '24 Imperial
Schools: ISB '24 Imperial
Posts: 207
Kudos: 251
Kudos
Add Kudos
Bookmarks
Bookmark this Post
2(x-3) + 2(x+9) = 80
2x-6+2x+18 = 80
4x = 80 -12
4x = 68
x = \(\frac{68}{4}\)
= 17

Answer D
User avatar
PrashantK0099
Joined: 09 Sep 2020
Last visit: 27 Oct 2020
Posts: 59
Own Kudos:
Given Kudos: 45
Location: United States
Concentration: Finance, General Management
Posts: 59
Kudos: 46
Kudos
Add Kudos
Bookmarks
Bookmark this Post
perimeter is the sum of all side


hence
2(x-3) + 2(x+9) = 80
x=17

Option D


Bunuel

If the perimeter of the rectangle above is 80, what is the value of x?

A. 20

B. 19

C. 18

D. 17

E. 16


Attachment:
1.jpg
Moderators:
Math Expert
109785 posts
Tuck School Moderator
853 posts