Last visit was: 22 Apr 2026, 20:28 It is currently 22 Apr 2026, 20:28
Close
GMAT Club Daily Prep
Thank you for using the timer - this advanced tool can estimate your performance and suggest more practice questions. We have subscribed you to Daily Prep Questions via email.

Customized
for You

we will pick new questions that match your level based on your Timer History

Track
Your Progress

every week, we’ll send you an estimated GMAT score based on your performance

Practice
Pays

we will pick new questions that match your level based on your Timer History
Not interested in getting valuable practice questions and articles delivered to your email? No problem, unsubscribe here.
Close
Request Expert Reply
Confirm Cancel
User avatar
Bunuel
User avatar
Math Expert
Joined: 02 Sep 2009
Last visit: 22 Apr 2026
Posts: 109,754
Own Kudos:
Given Kudos: 105,823
Products:
Expert
Expert reply
Active GMAT Club Expert! Tag them with @ followed by their username for a faster response.
Posts: 109,754
Kudos: 810,684
 [26]
Kudos
Add Kudos
26
Bookmarks
Bookmark this Post
Most Helpful Reply
User avatar
$!vakumar.m
Joined: 06 Dec 2021
Last visit: 25 Aug 2025
Posts: 487
Own Kudos:
644
 [6]
Given Kudos: 737
Location: India
Concentration: Technology, International Business
GPA: 4
WE:Human Resources (Telecommunications)
Posts: 487
Kudos: 644
 [6]
4
Kudos
Add Kudos
2
Bookmarks
Bookmark this Post
General Discussion
User avatar
$!vakumar.m
Joined: 06 Dec 2021
Last visit: 25 Aug 2025
Posts: 487
Own Kudos:
Given Kudos: 737
Location: India
Concentration: Technology, International Business
GPA: 4
WE:Human Resources (Telecommunications)
Posts: 487
Kudos: 644
Kudos
Add Kudos
Bookmarks
Bookmark this Post
User avatar
prachisaraf
Joined: 03 Jan 2023
Last visit: 31 Jul 2023
Posts: 27
Own Kudos:
Given Kudos: 299
Posts: 27
Kudos: 4
Kudos
Add Kudos
Bookmarks
Bookmark this Post
Can someone provide a detailed solution ?
User avatar
HoudaSR
Joined: 08 Aug 2022
Last visit: 24 Nov 2023
Posts: 72
Own Kudos:
48
 [1]
Given Kudos: 181
Location: Morocco
WE:Advertising (Non-Profit and Government)
1
Kudos
Add Kudos
Bookmarks
Bookmark this Post
prachisaraf
Can someone provide a detailed solution ?

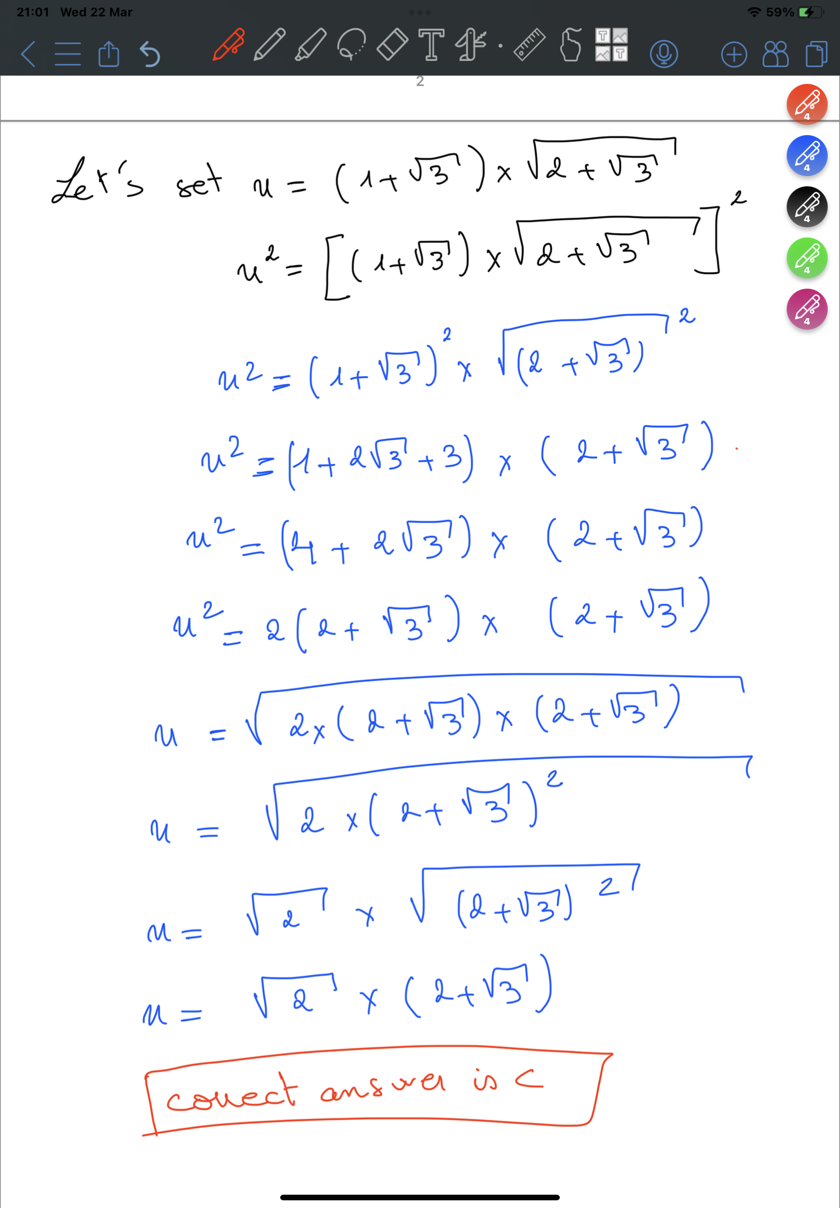
Please find in the picture below the detailed answer
Attachments

IMG_0838.PNG
IMG_0838.PNG [ 1.06 MiB | Viewed 4249 times ]

User avatar
bumpbot
User avatar
Non-Human User
Joined: 09 Sep 2013
Last visit: 04 Jan 2021
Posts: 38,965
Own Kudos:
1,117
 [1]
Posts: 38,965
Kudos: 1,117
 [1]
1
Kudos
Add Kudos
Bookmarks
Bookmark this Post
Automated notice from GMAT Club BumpBot:

A member just gave Kudos to this thread, showing it’s still useful. I’ve bumped it to the top so more people can benefit. Feel free to add your own questions or solutions.

This post was generated automatically.
Moderators:
Math Expert
109754 posts
Tuck School Moderator
853 posts