Last visit was: 27 Apr 2026, 11:57 It is currently 27 Apr 2026, 11:57
Close
GMAT Club Daily Prep
Thank you for using the timer - this advanced tool can estimate your performance and suggest more practice questions. We have subscribed you to Daily Prep Questions via email.

Customized
for You

we will pick new questions that match your level based on your Timer History

Track
Your Progress

every week, we’ll send you an estimated GMAT score based on your performance

Practice
Pays

we will pick new questions that match your level based on your Timer History
Not interested in getting valuable practice questions and articles delivered to your email? No problem, unsubscribe here.
Close
Request Expert Reply
Confirm Cancel
User avatar
Bunuel
User avatar
Math Expert
Joined: 02 Sep 2009
Last visit: 27 Apr 2026
Posts: 109,928
Own Kudos:
Given Kudos: 105,914
Products:
Expert
Expert reply
Active GMAT Club Expert! Tag them with @ followed by their username for a faster response.
Posts: 109,928
Kudos: 811,595
 [31]
1
Kudos
Add Kudos
30
Bookmarks
Bookmark this Post
Most Helpful Reply
User avatar
stne
Joined: 27 May 2012
Last visit: 26 Apr 2026
Posts: 1,811
Own Kudos:
2,093
 [8]
Given Kudos: 681
Posts: 1,811
Kudos: 2,093
 [8]
5
Kudos
Add Kudos
3
Bookmarks
Bookmark this Post
General Discussion
User avatar
Hacchuu
Joined: 06 Mar 2024
Last visit: 04 Aug 2024
Posts: 8
Own Kudos:
7
 [3]
Given Kudos: 80
Posts: 8
Kudos: 7
 [3]
3
Kudos
Add Kudos
Bookmarks
Bookmark this Post
User avatar
Oppenheimer1945
Joined: 16 Jul 2019
Last visit: 27 Apr 2026
Posts: 783
Own Kudos:
664
 [1]
Given Kudos: 236
Location: India
GMAT Focus 1: 645 Q90 V76 DI80
GPA: 7.81
1
Kudos
Add Kudos
Bookmarks
Bookmark this Post
(x^2-6xy+9y^2)+(y^2-2y+1)=0
=> (x-3y)^2+(y-1)^2=0
y=1, x=3y=3
User avatar
Aayushman8
Joined: 11 Jun 2024
Last visit: 29 Jun 2024
Posts: 2
Posts: 2
Kudos: 0
Kudos
Add Kudos
Bookmarks
Bookmark this Post
x^2 + 10y^2 - 6xy - 2y + 1 = 0 

10y^2 could be written as 9y^2 + y^2
So:

x^2 + 9y^2 + y^2 - 6xy - 2y + 1 = 0 
x^2 + 9y^2 - 6xy + y^2 - 2y + 1 = 0 
(x-3y)(y-1)=0
y = 1
x = 3y = 3(1)
x=3
User avatar
nagasatish
Joined: 07 Nov 2019
Last visit: 22 May 2025
Posts: 31
Own Kudos:
Given Kudos: 28
Location: India
Schools: ISB '27
GMAT Focus 1: 615 Q84 V82 DI76
Products:
Schools: ISB '27
GMAT Focus 1: 615 Q84 V82 DI76
Posts: 31
Kudos: 37
Kudos
Add Kudos
Bookmarks
Bookmark this Post
­We can convert

x2+10y2−6xy−2y+1=0

(x−3y)[size=90]2+(y−1)2=0[/size]
to

(x-3y)2+(y-1)2=0

Since squares of non zero numbers can't be zero and always be positive, Sum of squares of x-3y and y-1 should be zero.

So y=1

substitute y=1 in x-3y=0

x=3
User avatar
HarshavardhanR
Joined: 16 Mar 2023
Last visit: 27 Apr 2026
Posts: 495
Own Kudos:
578
 [1]
Given Kudos: 68
Status:Independent GMAT Tutor
Affiliations: Ex - Director, Subject Matter Expertise at e-GMAT
Products:
Expert
Expert reply
Active GMAT Club Expert! Tag them with @ followed by their username for a faster response.
Posts: 495
Kudos: 578
 [1]
1
Kudos
Add Kudos
Bookmarks
Bookmark this Post
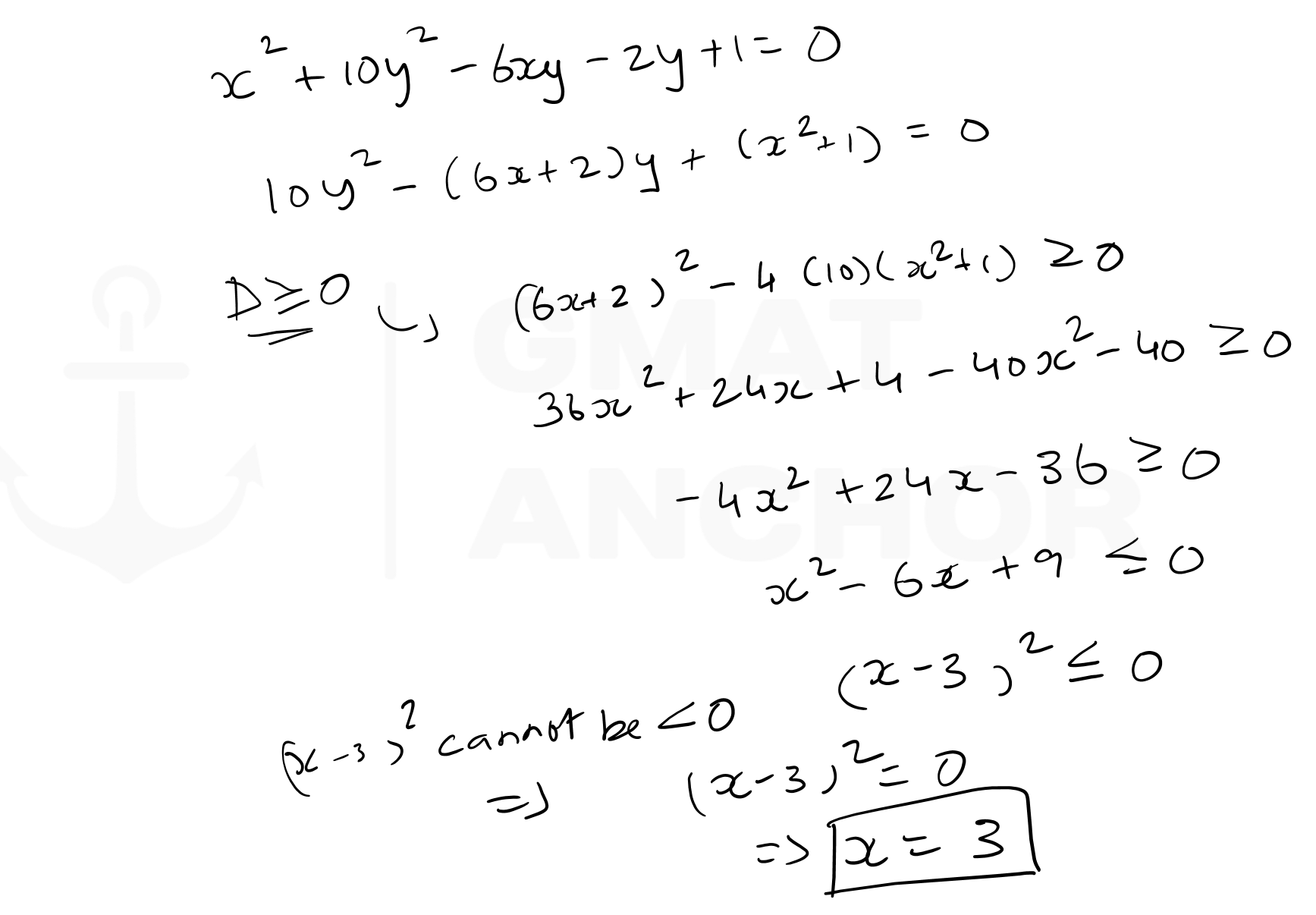
­Another way to solve this: 

___
Harsha
Enthu about all things GMAT | Exploring the GMAT space | My website: gmatanchor.com
 
Attachment:
GMAT-Club-Forum-1a3qc7be.png
GMAT-Club-Forum-1a3qc7be.png [ 161.5 KiB | Viewed 1114 times ]
User avatar
bumpbot
User avatar
Non-Human User
Joined: 09 Sep 2013
Last visit: 04 Jan 2021
Posts: 38,986
Own Kudos:
Posts: 38,986
Kudos: 1,119
Kudos
Add Kudos
Bookmarks
Bookmark this Post
Automated notice from GMAT Club BumpBot:

A member just gave Kudos to this thread, showing it’s still useful. I’ve bumped it to the top so more people can benefit. Feel free to add your own questions or solutions.

This post was generated automatically.
Moderators:
Math Expert
109928 posts
Tuck School Moderator
852 posts