Last visit was: 23 Apr 2026, 10:34 It is currently 23 Apr 2026, 10:34
Close
GMAT Club Daily Prep
Thank you for using the timer - this advanced tool can estimate your performance and suggest more practice questions. We have subscribed you to Daily Prep Questions via email.

Customized
for You

we will pick new questions that match your level based on your Timer History

Track
Your Progress

every week, we’ll send you an estimated GMAT score based on your performance

Practice
Pays

we will pick new questions that match your level based on your Timer History
Not interested in getting valuable practice questions and articles delivered to your email? No problem, unsubscribe here.
Close
Request Expert Reply
Confirm Cancel
505-555 (Easy)|   Fractions and Ratios|   Overlapping Sets|                           
User avatar
msand
Joined: 27 Dec 2009
Last visit: 27 Nov 2011
Posts: 104
Own Kudos:
963
 [166]
Given Kudos: 3
Posts: 104
Kudos: 963
 [166]
9
Kudos
Add Kudos
156
Bookmarks
Bookmark this Post
Most Helpful Reply
User avatar
Bunuel
User avatar
Math Expert
Joined: 02 Sep 2009
Last visit: 23 Apr 2026
Posts: 109,782
Own Kudos:
Given Kudos: 105,853
Products:
Expert
Expert reply
Active GMAT Club Expert! Tag them with @ followed by their username for a faster response.
Posts: 109,782
Kudos: 810,823
 [26]
15
Kudos
Add Kudos
10
Bookmarks
Bookmark this Post
User avatar
FullFathomFive
Joined: 27 May 2011
Last visit: 23 Sep 2015
Posts: 11
Own Kudos:
52
 [23]
Given Kudos: 20
Affiliations: SAG-AFTRA, AEA
Location: United States
Concentration: Technology, Strategy
GMAT Date: 04-20-2013
WE:Performing Arts (Media/Entertainment)
Posts: 11
Kudos: 52
 [23]
19
Kudos
Add Kudos
4
Bookmarks
Bookmark this Post
General Discussion
User avatar
xcusemeplz2009
Joined: 09 May 2009
Last visit: 24 Jul 2011
Posts: 109
Own Kudos:
1,148
 [3]
Given Kudos: 13
Posts: 109
Kudos: 1,148
 [3]
1
Kudos
Add Kudos
2
Bookmarks
Bookmark this Post
tot students=x

1st year student=x/2----> non majaor=4/5(x/2)-----> maj=1/5(x/2)

2nd year student=x/2---->maj=3(1/5(x/2))=3/10(x)--->non major=x/2-3/10(x)=1/5(x)

hence 1/5
avatar
Europe2011
Joined: 14 May 2010
Last visit: 18 Mar 2015
Posts: 7
Own Kudos:
2
 [2]
Location: US
Concentration: Finance
Schools:Said, Judge, HEC, Cornell, Darden, Columbia, Notre Dame, NYU, Kellog, INSEAD, Emory
GPA: 3.1 overall 3.6 in major GPA
WE 1: Consulting at Big 4
Posts: 7
Kudos: 2
 [2]
2
Kudos
Add Kudos
Bookmarks
Bookmark this Post
I think the answer choices you have provided because the answer cannot be greater than one.

Here is an easy way to think about this is by picking "smart" numbers.
Let's pick 50 for the first half of students who are 1st years and 50 for the other half who are 2nd year.
We know that 4/5 of the 1st years have not declared a major so that gives us 50*4/5=40, so 10 have declared a major.
We also know that the number of 2nd year that have not declared a major = 3 times the # of 1st year who have declared a major. This gives us 3*10=30

The question asks for fraction of 2nd years who have not declared a major over the total students.
30 have declared a major out of the 2nd year so 20 have not. Since we have 100 students (50+50), the answer is 20/100 or 1/5.

You can run a search on the web and you will find this question without the correct answer choices.

Thanks
User avatar
prasannajeet
Joined: 26 Feb 2012
Last visit: 10 Nov 2017
Posts: 74
Own Kudos:
140
 [1]
Given Kudos: 56
Location: India
Concentration: General Management, Finance
WE:Engineering (Telecommunications)
Posts: 74
Kudos: 140
 [1]
1
Kudos
Add Kudos
Bookmarks
Bookmark this Post
In this kind of problem table structure is the weapon for me...

Let 2X would be total student which revealed that 1 yrs student is X and 2nd Yr is X as well.

No form the table




MAJOR NO MAJOR Total Student
1st yr Student x/5 4x/5 x
2nd yr Student 3x/5 2x/5 x
Total Student 4x/5 6x/5 2x

From the table 2nd yr student with major is 2x/5 so the answer would be =2x/5/2x =>1/5 Ans

Rgds
Prasannajeet
avatar
PareshGmat
Joined: 27 Dec 2012
Last visit: 10 Jul 2016
Posts: 1,531
Own Kudos:
8,271
 [1]
Given Kudos: 193
Status:The Best Or Nothing
Location: India
Concentration: General Management, Technology
WE:Information Technology (Computer Software)
Posts: 1,531
Kudos: 8,271
 [1]
1
Kudos
Add Kudos
Bookmarks
Bookmark this Post
First ............................................. Second ........................................ Total

x ........................................................ x ................................................ 2x

Major........... NotMajor ................... Major ............ NotMajor ..........

\(\frac{4x}{5}\) ................ \(\frac{x}{5}\) ........................ \(\frac{3x}{5}\) ................... \(\frac{2x}{5}\) ...................... 2x


Fraction \(= \frac{\frac{2x}{5}}{2x} = \frac{1}{5}\)

Answer = B
User avatar
mcelroytutoring
Joined: 10 Jul 2015
Last visit: 19 Mar 2026
Posts: 1,206
Own Kudos:
2,675
 [2]
Given Kudos: 282
Status:Expert GMAT, GRE, and LSAT Tutor / Coach
Affiliations: Harvard University, A.B. with honors in Government, 2002
Location: United States (CO)
Age: 45 (10 years and counting on GMAT Club!)
GMAT 1: 770 Q47 V48
GMAT 2: 730 Q44 V47
GMAT 3: 750 Q50 V42
GMAT 4: 730 Q48 V42 (Online)
GRE 1: Q168 V169
GRE 2: Q170 V170
Expert
Expert reply
GMAT 4: 730 Q48 V42 (Online)
GRE 1: Q168 V169
GRE 2: Q170 V170
Posts: 1,206
Kudos: 2,675
 [2]
2
Kudos
Add Kudos
Bookmarks
Bookmark this Post
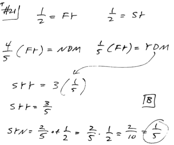
Attached is a visual that should help.

FY = First Year
SY = Second Year
NDM = Not Decided on Major
YDM = Yes Decided on Major
SYY = Senior Year Yes
SYN = Senior Year No


Attachments

Screen Shot 2016-05-05 at 6.59.42 PM.png
Screen Shot 2016-05-05 at 6.59.42 PM.png [ 68.47 KiB | Viewed 55216 times ]

User avatar
KarishmaB
Joined: 16 Oct 2010
Last visit: 23 Apr 2026
Posts: 16,441
Own Kudos:
79,396
 [2]
Given Kudos: 484
Location: Pune, India
Expert
Expert reply
Active GMAT Club Expert! Tag them with @ followed by their username for a faster response.
Posts: 16,441
Kudos: 79,396
 [2]
2
Kudos
Add Kudos
Bookmarks
Bookmark this Post
mojorising800
Of all the students in a certain dormitory, 1/2 are first-year students and the rest are second-year students. If 4/5 of the first-year students have not declared a major and if the fraction of second-year students who have declared a major is 3 times the fraction of first-year students who have declared a major, what fraction of all the students in the dormitory are second-year students who have not declared a major?

A. 151
B. 51
C. 154
D. 31
E. 52

Say there are in all 100 students. Use a matrix:
50 are first year and 50 are second year students.

........................Major Dec................Major not dec..............Total
First Year............................................................................50
Second Yr...........................................................................50
Total

4/5 * 50 = 40 not declared major first year students.

........................Major Dec................Major not dec..............Total
First Year................10..................................40....................50
Second Yr...........................................................................50
Total

second-year students who have declared a major is 3 times the fraction of first-year students who have declared a major

........................Major Dec................Major not dec..............Total
First Year................10..................................40.....................50
Second Yr...............30..................................20......................50
Total

So second year students who've not declared a major is 20/100 = 1/5

Answer (B)
User avatar
HanoiGMATtutor
Joined: 24 Jun 2016
Last visit: 25 Sep 2019
Posts: 333
Own Kudos:
144
 [1]
Given Kudos: 21
GMAT 1: 770 Q60 V60
GPA: 4
GMAT 1: 770 Q60 V60
Posts: 333
Kudos: 144
 [1]
Kudos
Add Kudos
1
Bookmarks
Bookmark this Post
\((1-(1-4/5)*3)*(1-1/2)=1/5\)

Answer choice B.
User avatar
CyberStein
Joined: 21 Jun 2017
Last visit: 02 Jun 2023
Posts: 58
Own Kudos:
Given Kudos: 3
Posts: 58
Kudos: 47
Kudos
Add Kudos
Bookmarks
Bookmark this Post
This problem is 99 in og 2017.

T = total students in dorm
4/5 first year no declared major = 4/5(.5T) = .4T = # first year no major
.5T - .4T = .1T = 1st year w/ major
.1T x 3 = .3T
2nd year no major = .5T - .3T = .2T = 2nd no declared
.2T does not equal 2/5!

.2T / T = .2 = 1/5
User avatar
generis
User avatar
Senior SC Moderator
Joined: 22 May 2016
Last visit: 18 Jun 2022
Posts: 5,258
Own Kudos:
37,726
 [7]
Given Kudos: 9,464
Expert
Expert reply
Posts: 5,258
Kudos: 37,726
 [7]
6
Kudos
Add Kudos
1
Bookmarks
Bookmark this Post
msand
Of all the students in a certain dormitory, 1/2 are first-year students and the rest are second-year students. If 4/5 of the first-year students have not declared a major and if the fraction of second-year students who have declared a major is 3 times the fraction of first-year students who have declared a major, what fraction of all the students in the dormitory are second-year students who have not declared a major?

A. 1/15
B. 1/5
C. 4/15
D. 1/3
E. 2/5
Attachment:
matrix111.png
matrix111.png [ 17.63 KiB | Viewed 52909 times ]
Double matrix works well here, at least for me. I assumed 60 total students.

1. Number of dormitory students = 60. Half are first-year students = 30. So the other half, second-year students = 30

2. \(\frac{4}{5}\) of first-year students have NOT declared a major: \(\frac{4}{5}\) * 30 = 24

3. First-year students who HAVE declared a major = 30 total - 24 not = 6 who have

4. The fraction of second-year students who have declared a major is three times the fraction of first-year students who have declared a major. First-year declared = 6. Second-year declared = 3 * 6 = 18

5. Second-year students who have NOT declared a major: 30 total second-year students - 18 who have declared = 12 second-year students who have not

6. What fraction of ALL students are second-year students who have not declared a major? \(\frac{12}{60} = \frac{1}{5}\)

Answer B
User avatar
kill3rlook5
Joined: 14 Dec 2016
Last visit: 24 Apr 2019
Posts: 46
Own Kudos:
Given Kudos: 158
Status:Searching for something I've been searching..LOL
Location: India
Concentration: Healthcare, Operations
Schools: Ross '20
GMAT 1: 590 Q35 V42
GPA: 3.5
WE:Medicine and Health (Healthcare/Pharmaceuticals)
Schools: Ross '20
GMAT 1: 590 Q35 V42
Posts: 46
Kudos: 104
Kudos
Add Kudos
Bookmarks
Bookmark this Post
msand
Of all the students in a certain dormitory, 1/2 are first-year students and the rest are second-year students. If 4/5 of the first-year students have not declared a major and if the fraction of second-year students who have declared a major is 3 times the fraction of first-year students who have declared a major, what fraction of all the students in the dormitory are second-year students who have not declared a major?

A. 1/15
B. 1/5
C. 4/15
D. 1/3
E. 2/5

This question is pretty easy if we assume numbers. Used numbers because the question does not have fixed values and asks for percentages.

Assuming the total number of students in the dormitory to be 100

Given 1/2 are 1st year and other 1/2 are 2nd year. Hence 50 students each are in either year.

Given 1st year (Not decided Major)= 1stNDM=4/5th of 1st year=40

Hence 1st year (Decided Major)= 1stDM=10

Given 2nd year (Decided Major)= 2ndDM=3x1stDM=30

Hence 2nd year (Not decided Major)= 2ndNDM=100-(40+10+30)=20

Fraction of 2nd year students who havent declared a major = 20/100=1/5
User avatar
ScottTargetTestPrep
User avatar
Target Test Prep Representative
Joined: 14 Oct 2015
Last visit: 23 Apr 2026
Posts: 22,282
Own Kudos:
26,530
 [2]
Given Kudos: 302
Status:Founder & CEO
Affiliations: Target Test Prep
Location: United States (CA)
Expert
Expert reply
Active GMAT Club Expert! Tag them with @ followed by their username for a faster response.
Posts: 22,282
Kudos: 26,530
 [2]
1
Kudos
Add Kudos
1
Bookmarks
Bookmark this Post
msand
Of all the students in a certain dormitory, 1/2 are first-year students and the rest are second-year students. If 4/5 of the first-year students have not declared a major and if the fraction of second-year students who have declared a major is 3 times the fraction of first-year students who have declared a major, what fraction of all the students in the dormitory are second-year students who have not declared a major?

A. 1/15
B. 1/5
C. 4/15
D. 1/3
E. 2/5

Since 1/2 are first-year students, the other 1/2 are second-year students. Since 4/5 of the first-year students have not declared a major, so 1/5 of them have declared a major. Since the fraction of second-year students who have declared a major is 3 times the fraction of first-year students who have declared a major, 3/5 of the second-year students have declared a major. Therefore, 2/5 of the second-year students have not declared a major. Since the second-year students are 1/2 of all the students, 1/2 x 2/5 = 1/5 of all students are second-year students who have not declared a major.

Answer: B
User avatar
adkikani
User avatar
IIM School Moderator
Joined: 04 Sep 2016
Last visit: 24 Dec 2023
Posts: 1,223
Own Kudos:
Given Kudos: 1,207
Location: India
WE:Engineering (Other)
Posts: 1,223
Kudos: 1,359
Kudos
Add Kudos
Bookmarks
Bookmark this Post
pushpitkc niks18 Abhishek009 pikolo2510

Is there any better approach to find LCM of ordered set {2,3,5}?

I normally find the smallest multiple of largest no (here: 5) and see if it is divisible by
other two elements in set.

Also VeritasPrepKarishma made calculations bit easier by using starting number as 100
instead of taking LCM in spite of no percentage mentioned in problem. How do we get a hint about it?
User avatar
pushpitkc
Joined: 26 Feb 2016
Last visit: 19 Feb 2025
Posts: 2,800
Own Kudos:
Given Kudos: 47
Location: India
GPA: 3.12
Posts: 2,800
Kudos: 6,235
Kudos
Add Kudos
Bookmarks
Bookmark this Post
adkikani
pushpitkc niks18 Abhishek009 pikolo2510

Is there any better approach to find LCM of ordered set {2,3,5}?

I normally find the smallest multiple of largest no (here: 5) and see if it is divisible by
other two elements in set.

Also VeritasPrepKarishma made calculations bit easier by using starting number as 100
instead of taking LCM in spite of no percentage mentioned in problem. How do we get a hint about it?

Hi adkikani

What do you mean by a better approach to finding the LCM of the ordered set?

IMO, using the LCM of the numbers is always a better choice instead of going with a random
number. When you use a random number, there is a chance of reaching a stage where you
might reach a fraction and have to restart the process.

For this problem, you can see the method used by generis to assume 30(LCM of 2,3,5).
The more questions you practice using this method, you will get better at choosing numbers.

Hope that helps you
User avatar
ganand
Joined: 17 May 2015
Last visit: 19 Mar 2022
Posts: 198
Own Kudos:
Given Kudos: 85
Posts: 198
Kudos: 3,826
Kudos
Add Kudos
Bookmarks
Bookmark this Post
adkikani

Is there any better approach to find LCM of ordered set {2,3,5}?

I normally find the smallest multiple of largest no (here: 5) and see if it is divisible by
other two elements in set.

Hi adkikani,

Rather taking multiple of 5 and checking every time, you can simply multiply 2*3*5 = 30.

Now, suppose we have another 3 numbers say 12, 30, and 35. To find LCM you can also use the prime factorization method.

\(12 = 2^2 *3\)
30 = 5*3*2
35 = 5*7

Now, take the maximum power of each prime number and multiply.

LCM = 2^2*3*5*7 = 420.

Hope this helps.

Thanks.
User avatar
JeffYin
User avatar
Tutor
Joined: 28 Apr 2016
Last visit: 16 Jul 2020
Posts: 40
Own Kudos:
159
 [1]
Given Kudos: 9
Location: United States
GMAT 1: 780 Q51 V47
GPA: 3.9
Expert
Expert reply
GMAT 1: 780 Q51 V47
Posts: 40
Kudos: 159
 [1]
1
Kudos
Add Kudos
Bookmarks
Bookmark this Post
If you are looking for more questions to practice the matrix box (also called double matrix) approach, I have compiled a list of questions from the Official Guide and Veritas Prep books at this link:

Matrix Boxes

For time efficiency, I generally recommend using a matrix box whenever you see a question that divides up a group into two categories in two different ways. I recommend drawing a matrix box that looks essentially like the one that generis posted in this thread. To me, matrix boxes improve efficiency because they help you to see the information in an organized way. You can also mark the boxes that you need to fill in to answer the question, so that you know exactly when you can stop because you have the information you need.

Please let me know if you have any questions, and if you want me to post a video solution!
User avatar
GMATGuruNY
Joined: 04 Aug 2010
Last visit: 02 Apr 2026
Posts: 1,347
Own Kudos:
3,905
 [1]
Given Kudos: 9
Schools:Dartmouth College
Expert
Expert reply
Posts: 1,347
Kudos: 3,905
 [1]
1
Kudos
Add Kudos
Bookmarks
Bookmark this Post
msand
Of all the students in a certain dormitory, 1/2 are first-year students and the rest are second-year students. If and if the fraction of second-year students who have declared a major is 3 times the fraction of first-year students who have declared a major, what fraction of all the students in the dormitory are second-year students who have not declared a major?

A. 1/15
B. 1/5
C. 4/15
D. 1/3
E. 2/5

I would use a double-matrix to organize the data.
That said, here is an alternate approach:

Since \(\frac{4}{5}\) of the first-year students have not declared a major, \(\frac{1}{5}\) of the first-year students HAVE declared a major.

Since the fraction of second-year students who have declared a major is 3 times the fraction of first-year students who have declared a major, \(\frac{3}{5}\) of the second-year students have declared a major, implying that \(\frac{2}{5}\) of the second-year students have NOT declared a major.

Since \(\frac{1}{2}\) of the students are second-year students, and \(\frac{2}{5}\) of these second-year students have not declared a major, \(\frac{1}{2} * \frac{2}{5} = \frac{1}{5}\) of the students are second-year students who have not declared a major.

avatar
anum23
Joined: 19 May 2016
Last visit: 19 Jul 2020
Posts: 15
Own Kudos:
Given Kudos: 34
Location: Pakistan
Concentration: Marketing, Strategy
GPA: 3.1
Posts: 15
Kudos: 7
Kudos
Add Kudos
Bookmarks
Bookmark this Post
MATRIX BOX is the way to solve a question like this!
 1   2   
Moderators:
Math Expert
109782 posts
Tuck School Moderator
853 posts