Last visit was: 24 Apr 2026, 12:13 It is currently 24 Apr 2026, 12:13
Close
GMAT Club Daily Prep
Thank you for using the timer - this advanced tool can estimate your performance and suggest more practice questions. We have subscribed you to Daily Prep Questions via email.

Customized
for You

we will pick new questions that match your level based on your Timer History

Track
Your Progress

every week, we’ll send you an estimated GMAT score based on your performance

Practice
Pays

we will pick new questions that match your level based on your Timer History
Not interested in getting valuable practice questions and articles delivered to your email? No problem, unsubscribe here.
Close
Request Expert Reply
Confirm Cancel
User avatar
rxs0005
Joined: 07 Jun 2004
Last visit: 21 Jun 2017
Posts: 436
Own Kudos:
3,310
 [7]
Given Kudos: 22
Location: PA
Posts: 436
Kudos: 3,310
 [7]
1
Kudos
Add Kudos
6
Bookmarks
Bookmark this Post
Most Helpful Reply
User avatar
Bunuel
User avatar
Math Expert
Joined: 02 Sep 2009
Last visit: 24 Apr 2026
Posts: 109,818
Own Kudos:
811,055
 [6]
Given Kudos: 105,873
Products:
Expert
Expert reply
Active GMAT Club Expert! Tag them with @ followed by their username for a faster response.
Posts: 109,818
Kudos: 811,055
 [6]
4
Kudos
Add Kudos
2
Bookmarks
Bookmark this Post
General Discussion
User avatar
shrouded1
User avatar
Retired Moderator
Joined: 02 Sep 2010
Last visit: 29 Apr 2018
Posts: 608
Own Kudos:
3,231
 [1]
Given Kudos: 25
Location: London
Products:
Posts: 608
Kudos: 3,231
 [1]
1
Kudos
Add Kudos
Bookmarks
Bookmark this Post
User avatar
alexn49
Joined: 18 Jul 2010
Last visit: 18 Sep 2015
Posts: 33
Own Kudos:
116
 [2]
Given Kudos: 6
Posts: 33
Kudos: 116
 [2]
2
Kudos
Add Kudos
Bookmarks
Bookmark this Post
(1) y greater than 0 :
example 1 : x = 0.5 and y = 0.2 => 1/0.7>-0.3
example 2 : x = 0.2 and y = 0.5 => -1/0.3<0.7
INSUFFICIENT

(2) x less than 0 is the same problem as before !
INSUFFICIENT

(Both) x negative, y positive but whose greater than the other (in absolute value of course)?
example 1: x = -2 and y = 3 => 1/(-5) < 1
example 2: x = -3 and y = 2 => 1/(-5) = -0.2 > -1

ANS: E.

Hope it is clear
User avatar
shrouded1
User avatar
Retired Moderator
Joined: 02 Sep 2010
Last visit: 29 Apr 2018
Posts: 608
Own Kudos:
Given Kudos: 25
Location: London
Products:
Posts: 608
Kudos: 3,231
Kudos
Add Kudos
Bookmarks
Bookmark this Post
alexn49

(Both) x negative, y positive but whose greater than the other (in absolute value of course)?
example 1: x = -2 and y = 3 => 1/(-5) < 1
example 2: x = -3 and y = 2 => 1/(-5) = -0.2 > -1

ANS: E.

Hope it is clear

Example 2 is incorrect. RHS is y-x which will be +5 not -1.

The answer should be c not e
User avatar
Bunuel
User avatar
Math Expert
Joined: 02 Sep 2009
Last visit: 24 Apr 2026
Posts: 109,818
Own Kudos:
811,055
 [3]
Given Kudos: 105,873
Products:
Expert
Expert reply
Active GMAT Club Expert! Tag them with @ followed by their username for a faster response.
Posts: 109,818
Kudos: 811,055
 [3]
3
Kudos
Add Kudos
Bookmarks
Bookmark this Post
rxs0005
Is 1 / ( x - y) < ( y - x )

y is positive

x is negative


Can someone explain the quickest way to solve this

Is \(\frac{1}{x-y}<y - x\)?

(1) y is positive, clearly insufficient, as no info about \(x\);
(2) x is negative, also insufficient, as no info about \(y\);

(1)+(2) Since y is positive and x is negative, then \(y>x\). We can re-write this as \(x-y<0\), as well as \(y-x>0\). Evaluate LHS and RHS from the question: \((LHS=\frac{1}{x-y})<0\), and \((RHS=y-x)>0\), therefore \((LHS=negative)<(RHS=positive)\). Sufficient.

Answer: C.

OR: Is \(\frac{1}{x-y}<y - x\) --> is \(\frac{1}{x-y}+x-y<0\) --> is \(\frac{1+(x-y)^2}{x-y}<0\)?

(1) \(y\) is positive, clearly insufficient, as no info about \(x\);
(2) \(x\) is negative, also insufficient, as no info about \(y\);

(1)+(2) Is \(\frac{1+(x-y)^2}{x-y}<0\)? Now, nominator in this fraction is always positive (1 plus some non-negative number), but denominator is always negative as \(x-y=negative-positive=negative\) (for example: -3-2=-5).So we would have is \(\frac{positive}{negative}<0\)? Which is true. Sufficient.

Answer: C.

Hope it helps.
User avatar
feruz77
Joined: 08 Oct 2010
Last visit: 22 Dec 2021
Posts: 169
Own Kudos:
Given Kudos: 974
Location: Uzbekistan
Concentration: Finance and accounting
Schools:Johnson, Fuqua, Simon, Mendoza
GPA: 4.0
WE 3: 10
Posts: 169
Kudos: 2,611
Kudos
Add Kudos
Bookmarks
Bookmark this Post
1 / ( x - y) < ( y - x ) -- > 1< (y-x)*(x-y) -- > 1<-x^2+2xy-y^2 -- > the question is -1> x^2-2xy+y^2 ?

With regard to the stmt (1) it follows from -1> x^2-2xy+y^2 that x^2+y^2 is always greater than -2xy for any term of x and y. Hence, x^2-2xy+y^2>-1. Even if x were equal to zero, the result will not change. SUFF.

The same solution, i.e. x^2-2xy+y^2>-1, is true also for the case when x is negative according to stmt (2). Here, again it does not matter whether x and y are positive or negative because x^2+y^2 is always greater than -2xy. Here we do not need to know the term of y, anyway the result will not change. Hence stmt (2) - SUFF.
Hence, the ans. is D.
User avatar
Bunuel
User avatar
Math Expert
Joined: 02 Sep 2009
Last visit: 24 Apr 2026
Posts: 109,818
Own Kudos:
Given Kudos: 105,873
Products:
Expert
Expert reply
Active GMAT Club Expert! Tag them with @ followed by their username for a faster response.
Posts: 109,818
Kudos: 811,055
Kudos
Add Kudos
Bookmarks
Bookmark this Post
feruz77
1 / ( x - y) < ( y - x ) -- > 1< (y-x)*(x-y) -- > 1<-x^2+2xy-y^2 -- > the question is -1> x^2-2xy+y^2 ?

With regard to the stmt (1) it follows from -1> x^2-2xy+y^2 that x^2+y^2 is always greater than -2xy for any term of x and y. Hence, x^2-2xy+y^2>-1. Even if x were equal to zero, the result will not change. SUFF.

The same solution, i.e. x^2-2xy+y^2>-1, is true also for the case when x is negative according to stmt (2). Here, again it does not matter whether x and y are positive or negative because x^2+y^2 is always greater than -2xy. Here we do not need to know the term of y, anyway the result will not change. Hence stmt (2) - SUFF.
Hence, the ans. is D.

Never multiply (or reduce) an inequality by variable (or by an expression with variable) if you don't know the sign of it.

So you can not multiply 1/(x-y)<(y-x ) by x-y and write 1<(y-x)*(x-y) because you don't know whether x-y is positive or negative: if it's positive then you should write 1<(y-x)*(x-y) but if its negative then you should flip the sign and write 1>(y-x)*(x-y)

OA for this question is C not D, refer to the posts above for a solution.
User avatar
dabral
User avatar
Tutor
Joined: 19 Apr 2009
Last visit: 29 Nov 2024
Posts: 557
Own Kudos:
666
 [4]
Given Kudos: 19
Affiliations: GMATQuantum
Expert
Expert reply
Posts: 557
Kudos: 666
 [4]
4
Kudos
Add Kudos
Bookmarks
Bookmark this Post
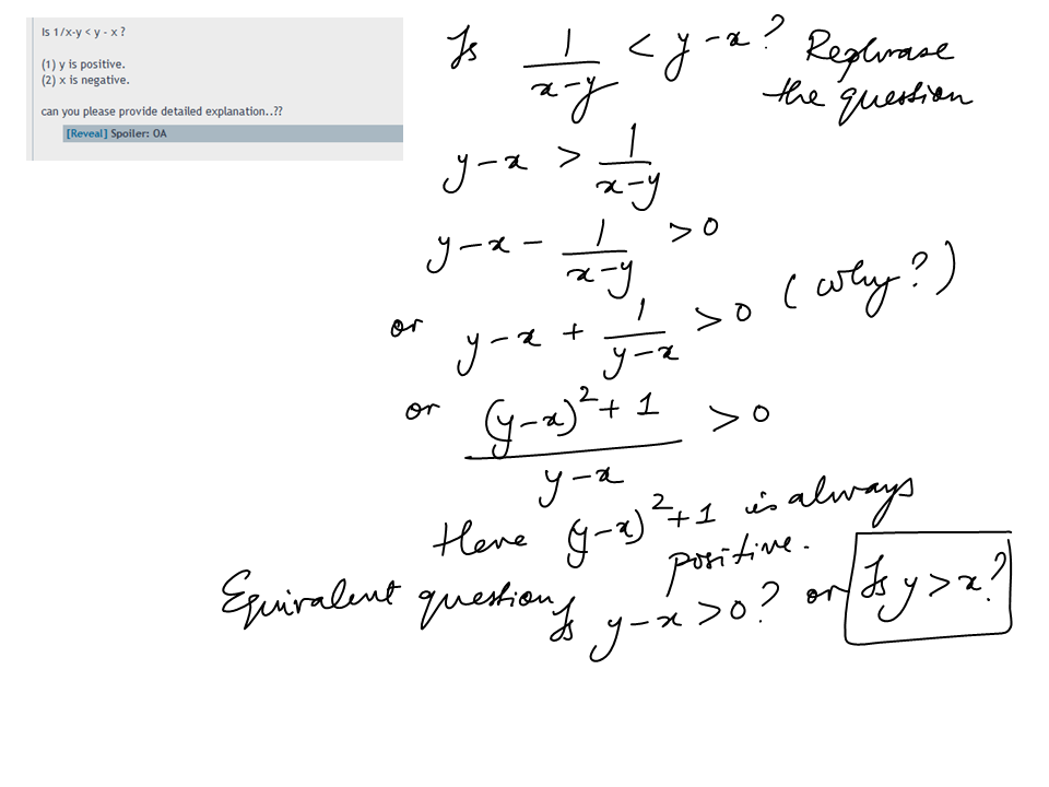
Slightly different approach, I hope everyone can see the attached images with solutions.

Dabral


Apoorva81
Is 1/x-y < y - x ?

(1) y is positive.
(2) x is negative.

can you please provide detailed explanation..??

Attachments

image1.png
image1.png [ 57.59 KiB | Viewed 8083 times ]

image2.png
image2.png [ 44.46 KiB | Viewed 8086 times ]

User avatar
NonYankee
Joined: 12 Jul 2011
Last visit: 20 Jan 2019
Posts: 121
Own Kudos:
Given Kudos: 41
Concentration: Strategy, Sustainability
WE:Business Development (Non-Profit and Government)
Products:
Posts: 121
Kudos: 705
Kudos
Add Kudos
Bookmarks
Bookmark this Post
In order to separate your x's and y's from each other, you need to know which term is larger. This is because you need to know whether x-y or y-x is negative (one of them will be, unless they are equal). Taking both statements together, you know that the two variables are not equal, and you can manipulate the inequality, keeping in mind that you need to flip the sign when multiplying or dividing by a negative number.
User avatar
NonYankee
Joined: 12 Jul 2011
Last visit: 20 Jan 2019
Posts: 121
Own Kudos:
Given Kudos: 41
Concentration: Strategy, Sustainability
WE:Business Development (Non-Profit and Government)
Products:
Posts: 121
Kudos: 705
Kudos
Add Kudos
Bookmarks
Bookmark this Post
I explained it in kind of a backwards way. The first thing you need to know in that problem is whether x and y are equal. No single statement tells you that.

Sorry for the double post, but it seems I can't edit my previous post while viewing the forum with Tapatalk.

Sent from my HTC Glacier using Tapatalk 2
avatar
rishiroadster
Joined: 19 Feb 2013
Last visit: 28 Nov 2020
Posts: 22
Own Kudos:
Given Kudos: 39
Posts: 22
Kudos: 8
Kudos
Add Kudos
Bookmarks
Bookmark this Post
Bunuel
Apoorva81
Is 1/x-y < y - x ?

(1) y is positive.
(2) x is negative.

can you please provide detailed explanation..??

Is \(\frac{1}{x-y}<y - x\)?

(1) \(y\) is positive, clearly insufficient, as no info about \(x\);
(2) \(x\) is negative, also insufficient, as no info about \(y\);

(1)+(2) We have \(y=positive\) and \(x=negative\), thus \(y>x\) (this can be rewritten as \(y-x>0\) or \(0>x-y\)). Now: \(LHS=\frac{1}{x-y}=\frac{1}{negative}=negative\), and \(RHS=y-x=positive\) thus \(\frac{1}{x-y}=negative<y-x=positive\). Sufficient.

Answer: C.


Why can't we do the following rephrase?

1/(x-y) < (y-x)

-1/(y-x) < (y-x)

-1 < (y-x)^2

since the RHS is a square, irrespective of x and y values the equation is satisfied.
User avatar
Bunuel
User avatar
Math Expert
Joined: 02 Sep 2009
Last visit: 24 Apr 2026
Posts: 109,818
Own Kudos:
811,055
 [1]
Given Kudos: 105,873
Products:
Expert
Expert reply
Active GMAT Club Expert! Tag them with @ followed by their username for a faster response.
Posts: 109,818
Kudos: 811,055
 [1]
1
Kudos
Add Kudos
Bookmarks
Bookmark this Post
rishiroadster
Bunuel
Apoorva81
Is 1/x-y < y - x ?

(1) y is positive.
(2) x is negative.

can you please provide detailed explanation..??

Is \(\frac{1}{x-y}<y - x\)?

(1) \(y\) is positive, clearly insufficient, as no info about \(x\);
(2) \(x\) is negative, also insufficient, as no info about \(y\);

(1)+(2) We have \(y=positive\) and \(x=negative\), thus \(y>x\) (this can be rewritten as \(y-x>0\) or \(0>x-y\)). Now: \(LHS=\frac{1}{x-y}=\frac{1}{negative}=negative\), and \(RHS=y-x=positive\) thus \(\frac{1}{x-y}=negative<y-x=positive\). Sufficient.

Answer: C.


Why can't we do the following rephrase?

1/(x-y) < (y-x)

-1/(y-x) < (y-x)

-1 < (y-x)^2

since the RHS is a square, irrespective of x and y values the equation is satisfied.

The point is that we don't know whether y-x is positive or negative. If it's positive, then yes we'd have -1 < (y-x)^2 but if it's negative, then we'd have -1 > (y-x)^2 (flip the sign when multiplying by negative value).

Never multiply (or reduce) an inequality by variable (or by an expression with variable) if you don't know the sign of it or are not certain that variable (or expression with variable) doesn't equal to zero.
User avatar
WoundedTiger
Joined: 25 Apr 2012
Last visit: 03 Jan 2026
Posts: 520
Own Kudos:
2,584
 [1]
Given Kudos: 740
Location: India
GPA: 3.21
WE:Business Development (Other)
Products:
Posts: 520
Kudos: 2,584
 [1]
Kudos
Add Kudos
1
Bookmarks
Bookmark this Post
alphonsa
Is 1/(x-y) < (y-x) ?


1) x is +ve
2) y is -ve



I took a very long time to solve this :(

Does anyone know a shortcut? or a simpler method?
:|

Source: 4gmat

The question can be re written as

\(\frac{1}{(x-y)} +( x-y )<0\)

Or
\(\frac{1+ (x-y)^2}{(x-y)} <0\)
For the expression to be less than zero,numerator and denominator should be of opp sign
Now\((x-y)^2\geq{0}\)

So numerator is positive ,therefore if denominator is negative then answer to the question is yes or else no

st 1 x is positive let x=1 and y=-10 then x-y=9answer is no
But if x=1 and y=3 then answer to the question is yes

St 1 not sufficient .. Option A and D ruled out

St 2 y is negative
If y= -3 and x =-8 then ans to the question is yes
If y=-3 and x =8 then answer to the q. Is no

St 2 alone not sufficient

Combining we see that x-y=+ve

So ans is C
User avatar
smyarga
User avatar
Tutor
Joined: 20 Apr 2012
Last visit: 06 Aug 2020
Posts: 82
Own Kudos:
822
 [3]
Given Kudos: 39
Location: Ukraine
GMAT 1: 690 Q51 V31
GMAT 2: 730 Q51 V38
WE:Education (Education)
Expert
Expert reply
GMAT 2: 730 Q51 V38
Posts: 82
Kudos: 822
 [3]
3
Kudos
Add Kudos
Bookmarks
Bookmark this Post
WoundedTiger


The question can be re written as

\(\frac{1}{(x-y)} +( x-y )<0\)

Or
\(\frac{1+ (x-y)^2}{(x-y)} <0\)
For the expression to be less than zero,numerator and denominator should be of opp sign
Now\((x-y)^2\geq{0}\)

So numerator is positive ,therefore if denominator is negative then answer to the question is yes or else no

st 1 x is positive let x=1 and y=-10 then x-y=9answer is no
But if x=1 and y=3 then answer to the question is yes

St 1 not sufficient .. Option A and D ruled out

St 2 y is negative
If y= -3 and x =-8 then ans to the question is yes
If y=-3 and x =8 then answer to the q. Is no

St 2 alone not sufficient

Combining we see that x-y=+ve

So ans is C

WoundedTiger, it's better to do one step more. In data sufficiency if you have very simple statements you need to understand what you are looking for.

So, a little bit different solution:

The question can be re written as

\(\frac{1}{(x-y)} +( x-y )<0\)

Or
\(\frac{1+ (x-y)^2}{(x-y)} <0\)

Since \(1+(x-y)^2>0\), denominator must be negative: \(x-y<0\) or \(x<y\). Hence, we need to find: is \(x\) less than \(y\)?

(1) Don't know anything about \(y\). Insufficient
(2) Don't know anything about \(x\). Insufficient

(1)+(2) Since \(x>0\) and \(y<0\), we have \(x>y\). Sufficient

The correct answer is C.
User avatar
viksingh15
Joined: 17 Oct 2013
Last visit: 15 Nov 2022
Posts: 43
Own Kudos:
Posts: 43
Kudos: 44
Kudos
Add Kudos
Bookmarks
Bookmark this Post
smyarga
WoundedTiger


The question can be re written as

\(\frac{1}{(x-y)} +( x-y )<0\)

Or
\(\frac{1+ (x-y)^2}{(x-y)} <0\)
For the expression to be less than zero,numerator and denominator should be of opp sign
Now\((x-y)^2\geq{0}\)

So numerator is positive ,therefore if denominator is negative then answer to the question is yes or else no

st 1 x is positive let x=1 and y=-10 then x-y=9answer is no
But if x=1 and y=3 then answer to the question is yes

St 1 not sufficient .. Option A and D ruled out

St 2 y is negative
If y= -3 and x =-8 then ans to the question is yes
If y=-3 and x =8 then answer to the q. Is no

St 2 alone not sufficient

Combining we see that x-y=+ve

So ans is C

WoundedTiger, it's better to do one step more. In data sufficiency if you have very simple statements you need to understand what you are looking for.

So, a little bit different solution:

The question can be re written as

\(\frac{1}{(x-y)} +( x-y )<0\)

Or
\(\frac{1+ (x-y)^2}{(x-y)} <0\)

Since \(1+(x-y)^2>0\), denominator must be negative: \(x-y<0\) or \(x<y\). Hence, we need to find: is \(x\) less than \(y\)?

(1) Don't know anything about \(y\). Insufficient
(2) Don't know anything about \(x\). Insufficient

(1)+(2) Since \(x>0\) and \(y<0\), we have \(x>y\). Sufficient

The correct answer is C.

I tried this way.

we have 1/(x-y) < y-x

1) says x is positive, we have no value of Y, not sufficient

2) says y is negative, no value of x defined, not sufficient.

1+2 , x is +ve and y is -ve => 1/+ve < -ve => +ve < -ve, not possible.

Answer is C
User avatar
Bunuel
User avatar
Math Expert
Joined: 02 Sep 2009
Last visit: 24 Apr 2026
Posts: 109,818
Own Kudos:
811,055
 [3]
Given Kudos: 105,873
Products:
Expert
Expert reply
Active GMAT Club Expert! Tag them with @ followed by their username for a faster response.
Posts: 109,818
Kudos: 811,055
 [3]
Kudos
Add Kudos
3
Bookmarks
Bookmark this Post
User avatar
iliavko
Joined: 08 Dec 2015
Last visit: 28 Apr 2019
Posts: 255
Own Kudos:
Given Kudos: 36
GMAT 1: 600 Q44 V27
Products:
GMAT 1: 600 Q44 V27
Posts: 255
Kudos: 138
Kudos
Add Kudos
Bookmarks
Bookmark this Post
good memory, Bunuel :) you did. And I always forget where the stuff is :( thanks!
User avatar
bumpbot
User avatar
Non-Human User
Joined: 09 Sep 2013
Last visit: 04 Jan 2021
Posts: 38,975
Own Kudos:
Posts: 38,975
Kudos: 1,117
Kudos
Add Kudos
Bookmarks
Bookmark this Post
Automated notice from GMAT Club BumpBot:

A member just gave Kudos to this thread, showing it’s still useful. I’ve bumped it to the top so more people can benefit. Feel free to add your own questions or solutions.

This post was generated automatically.
Moderators:
Math Expert
109818 posts
498 posts
212 posts