Last visit was: 24 Apr 2026, 18:25 It is currently 24 Apr 2026, 18:25
Close
GMAT Club Daily Prep
Thank you for using the timer - this advanced tool can estimate your performance and suggest more practice questions. We have subscribed you to Daily Prep Questions via email.

Customized
for You

we will pick new questions that match your level based on your Timer History

Track
Your Progress

every week, we’ll send you an estimated GMAT score based on your performance

Practice
Pays

we will pick new questions that match your level based on your Timer History
Not interested in getting valuable practice questions and articles delivered to your email? No problem, unsubscribe here.
Close
Request Expert Reply
Confirm Cancel
555-605 (Medium)|   Algebra|   Word Problems|                  
User avatar
Bunuel
User avatar
Math Expert
Joined: 02 Sep 2009
Last visit: 24 Apr 2026
Posts: 109,818
Own Kudos:
Given Kudos: 105,873
Products:
Expert
Expert reply
Active GMAT Club Expert! Tag them with @ followed by their username for a faster response.
Posts: 109,818
Kudos: 811,084
 [49]
3
Kudos
Add Kudos
45
Bookmarks
Bookmark this Post
Most Helpful Reply
User avatar
Bunuel
User avatar
Math Expert
Joined: 02 Sep 2009
Last visit: 24 Apr 2026
Posts: 109,818
Own Kudos:
Given Kudos: 105,873
Products:
Expert
Expert reply
Active GMAT Club Expert! Tag them with @ followed by their username for a faster response.
Posts: 109,818
Kudos: 811,084
 [12]
8
Kudos
Add Kudos
4
Bookmarks
Bookmark this Post
User avatar
WoundedTiger
Joined: 25 Apr 2012
Last visit: 03 Jan 2026
Posts: 520
Own Kudos:
2,584
 [5]
Given Kudos: 740
Location: India
GPA: 3.21
WE:Business Development (Other)
Products:
Posts: 520
Kudos: 2,584
 [5]
3
Kudos
Add Kudos
2
Bookmarks
Bookmark this Post
General Discussion
avatar
AKG1593
Joined: 20 Dec 2013
Last visit: 30 Mar 2024
Posts: 180
Own Kudos:
329
 [2]
Given Kudos: 35
Location: India
Posts: 180
Kudos: 329
 [2]
1
Kudos
Add Kudos
1
Bookmarks
Bookmark this Post
Option E.
From S1:Let price per paperback=x &
price per hardcover=y
2x+3y=12.50.Not suff since two variables,one equation can't be solved.

From S2:4x+6y=25
Nothing but 2(2x+3y)=25
OR repetition of eqn from S1.Not suff.

Combining we can't sove since both are basically the same equations.
User avatar
Manofsteel
Joined: 03 Aug 2012
Last visit: 27 Jul 2019
Posts: 42
Own Kudos:
110
 [1]
Given Kudos: 28
Status:Never Give up!!!
Location: India
Concentration: Finance, General Management
Posts: 42
Kudos: 110
 [1]
1
Kudos
Add Kudos
Bookmarks
Bookmark this Post
Let the price of paperbacks be 'x'
the price of hard cover book be 'y'

From Statement 1:- Joe bought 2 paperback books and 3 hardcover books for $12.50.
Thus 2x+3y = 12.50
This is one equation with 2 unknowns hence it cannot be solved. So statement 1 alone is insufficient

From Statement 2:- Paul bought 4 paperback books and 6 hardcover books for $25.00
Thus 4x+6y = 25
Again it is one equation with 2 unknowns. So statement 2 alone is insufficient.

Combining both the statements we get 2 equations:-
1. 2x+3y = 12.5
2. 4x+6y = 25

Now linear equations with 2 unknowns can only be solved it both the equations are different i.e not the same or multiplies of each other.
Here equation 2 is a multiple of equation 1. Equation 2 = (Equation 1)x2

Thus this pair of equations cannot be solved. and hence even after combining both the equations the solution is not possible.

Hence Option (E) is the answer
User avatar
dheeraj24
Joined: 01 Sep 2013
Last visit: 26 Jul 2015
Posts: 85
Own Kudos:
Given Kudos: 74
Status:suffer now and live forever as a champion!!!
Location: India
Dheeraj: Madaraboina
GPA: 3.5
WE:Information Technology (Computer Software)
Posts: 85
Kudos: 352
Kudos
Add Kudos
Bookmarks
Bookmark this Post
Bunuel
SOLUTION

A bookstore that sells used books sells each of its paperback books for a certain price and each of its hardcover books for a certain price. If Joe, Maria, and Paul bought books in this store, how much did Maria pay for 1 paperback book and 1 hardcover book?

We should find the value of p+h, where p is the price of one paperback and h is the price of one hard cover book.

(1) Joe bought 2 paperback books and 3 hardcover books for $12.50 --> 2p + 3h = 12.5. Not sufficient.

(2) Paul bought 4 paperback books and 6 hardcover books for $25.00 --> 4p + 6h = 25. Not sufficient.

(1)+(2) We can get 4p + 6h = 25 by multiplying 2p + 3h = 12.5 by 2, thus even when combining the statements we still have only one equation. Not sufficient.

Answer: E.



Hi Bunuel ,

Can't we get Answer as' D' by using trial and error method.

2 PB + 3 HC = 12.50$
The equation satisfies for PB =4 AND HC = 1.5 ;This is the only pair that satisifies the above equation ;
Therefore, can't we say that for one PB +one HC = 2+ 1.5 = 3.5 $

Please explain whether my approach is correct (or ) wrong.

Help is appreciated. :)
User avatar
Bunuel
User avatar
Math Expert
Joined: 02 Sep 2009
Last visit: 24 Apr 2026
Posts: 109,818
Own Kudos:
Given Kudos: 105,873
Products:
Expert
Expert reply
Active GMAT Club Expert! Tag them with @ followed by their username for a faster response.
Posts: 109,818
Kudos: 811,084
Kudos
Add Kudos
Bookmarks
Bookmark this Post
dheeraj24
Bunuel
SOLUTION

A bookstore that sells used books sells each of its paperback books for a certain price and each of its hardcover books for a certain price. If Joe, Maria, and Paul bought books in this store, how much did Maria pay for 1 paperback book and 1 hardcover book?

We should find the value of p+h, where p is the price of one paperback and h is the price of one hard cover book.

(1) Joe bought 2 paperback books and 3 hardcover books for $12.50 --> 2p + 3h = 12.5. Not sufficient.

(2) Paul bought 4 paperback books and 6 hardcover books for $25.00 --> 4p + 6h = 25. Not sufficient.

(1)+(2) We can get 4p + 6h = 25 by multiplying 2p + 3h = 12.5 by 2, thus even when combining the statements we still have only one equation. Not sufficient.

Answer: E.



Hi Bunuel ,

Can't we get Answer as' D' by using trial and error method.

2 PB + 3 HC = 12.50$
The equation satisfies for PB =4 AND HC = 1.5 ;This is the only pair that satisifies the above equation ;
Therefore, can't we say that for one PB +one HC = 2+ 1.5 = 3.5 $

Please explain whether my approach is correct (or ) wrong.

Help is appreciated. :)

How did you get that p=4 and h=1.5 is the only solution of 2p + 3h = 12.5 ? What about p=4.75 and h=1, p=3.25 and h=2, ... ?
User avatar
mcelroytutoring
Joined: 10 Jul 2015
Last visit: 19 Mar 2026
Posts: 1,206
Own Kudos:
Given Kudos: 282
Status:Expert GMAT, GRE, and LSAT Tutor / Coach
Affiliations: Harvard University, A.B. with honors in Government, 2002
Location: United States (CO)
Age: 45 (10 years and counting on GMAT Club!)
GMAT 1: 770 Q47 V48
GMAT 2: 730 Q44 V47
GMAT 3: 750 Q50 V42
GMAT 4: 730 Q48 V42 (Online)
GRE 1: Q168 V169
GRE 2: Q170 V170
Expert
Expert reply
GMAT 4: 730 Q48 V42 (Online)
GRE 1: Q168 V169
GRE 2: Q170 V170
Posts: 1,206
Kudos: 2,675
Kudos
Add Kudos
Bookmarks
Bookmark this Post
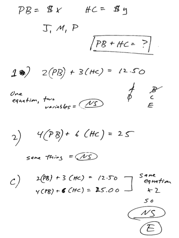
Here is a visual that should help.

Observations:

1) Since the cost of all the goods is the same for everyone, it is irrelevant who bought what, so don't bother complicating the question by including this information.

2) Usually, when we have two equations with two variables, this is sufficient...unless the 2nd equation happens to be the same as the first, which is what happened here.
Attachments

Screen Shot 2016-03-28 at 6.17.35 PM.png
Screen Shot 2016-03-28 at 6.17.35 PM.png [ 110.42 KiB | Viewed 39976 times ]

User avatar
KanishkM
Joined: 09 Mar 2018
Last visit: 18 Dec 2021
Posts: 755
Own Kudos:
Given Kudos: 123
Location: India
Posts: 755
Kudos: 512
Kudos
Add Kudos
Bookmarks
Bookmark this Post
Bunuel
The Official Guide For GMAT® Quantitative Review, 2ND Edition

A bookstore that sells used books sells each of its paperback books for a certain price and each of its hardcover books for a certain price. If Joe, Maria, and Paul bought books in this store, how much did Maria pay for 1 paperback book and 1 hardcover book?

(1) Joe bought 2 paperback books and 3 hardcover books for $12.50.
(2) Paul bought 4 paperback books and 6 hardcover books for $25.00.


What i have noticed in such question types is that, we dont have any relationship between these 3 people, if we had some relationship, we could have actually commented on the cost of 1 paperback book and 1 hardcover book for Maria, Since nothing is there and both the statements give the same relationship

answer is E

from 1) 2 x + 3 y = 12.50
from 2) 2x + 3y = 12.50
User avatar
DanTheGMATMan
Joined: 02 Oct 2015
Last visit: 23 Apr 2026
Posts: 380
Own Kudos:
Given Kudos: 9
Expert
Expert reply
Posts: 380
Kudos: 267
Kudos
Add Kudos
Bookmarks
Bookmark this Post
Check out this video explanation:­

­
User avatar
totaltestprepNick
Joined: 25 Aug 2014
Last visit: 24 Apr 2026
Posts: 469
Own Kudos:
Given Kudos: 2
GMAT 1: 750 Q49 V42
GMAT 1: 750 Q49 V42
Posts: 469
Kudos: 4
Kudos
Add Kudos
Bookmarks
Bookmark this Post
Bunuel
A bookstore that sells used books sells each of its paperback books for a certain price and each of its hardcover books for a certain price. If Joe, Maria, and Paul bought books in this store, how much did Maria pay for 1 paperback book and 1 hardcover book?

(1) Joe bought 2 paperback books and 3 hardcover books for $12.50.
(2) Paul bought 4 paperback books and 6 hardcover books for $25.00.





Nick Slavkovich, GMAT/GRE tutor with 20+ years of experience

[email protected]
Moderators:
Math Expert
109818 posts
498 posts
212 posts