Last visit was: 18 Nov 2025, 23:52 It is currently 18 Nov 2025, 23:52
Close
GMAT Club Daily Prep
Thank you for using the timer - this advanced tool can estimate your performance and suggest more practice questions. We have subscribed you to Daily Prep Questions via email.

Customized
for You

we will pick new questions that match your level based on your Timer History

Track
Your Progress

every week, we’ll send you an estimated GMAT score based on your performance

Practice
Pays

we will pick new questions that match your level based on your Timer History
Not interested in getting valuable practice questions and articles delivered to your email? No problem, unsubscribe here.
Close
Request Expert Reply
Confirm Cancel
User avatar
Bunuel
User avatar
Math Expert
Joined: 02 Sep 2009
Last visit: 18 Nov 2025
Posts: 105,377
Own Kudos:
Given Kudos: 99,977
Products:
Expert
Expert reply
Active GMAT Club Expert! Tag them with @ followed by their username for a faster response.
Posts: 105,377
Kudos: 778,143
 [18]
Kudos
Add Kudos
18
Bookmarks
Bookmark this Post
Most Helpful Reply
avatar
TahaTT
Joined: 09 Oct 2021
Last visit: 29 Jan 2023
Posts: 3
Own Kudos:
9
 [5]
Given Kudos: 41
Location: India
Posts: 3
Kudos: 9
 [5]
4
Kudos
Add Kudos
1
Bookmarks
Bookmark this Post
General Discussion
User avatar
sujoykrdatta
Joined: 26 Jun 2014
Last visit: 17 Nov 2025
Posts: 547
Own Kudos:
1,114
 [2]
Given Kudos: 13
Status:Mentor & Coach | GMAT Q51 | CAT 99.98
GMAT 1: 750 Q51 V39
Expert
Expert reply
GMAT 1: 750 Q51 V39
Posts: 547
Kudos: 1,114
 [2]
1
Kudos
Add Kudos
1
Bookmarks
Bookmark this Post
avatar
randarth
Joined: 21 Mar 2020
Last visit: 24 Jul 2022
Posts: 19
Own Kudos:
5
 [2]
Given Kudos: 27
Posts: 19
Kudos: 5
 [2]
2
Kudos
Add Kudos
Bookmarks
Bookmark this Post
sujoykrdatta
Bunuel
What is the product of all possible values of x for the equation \(4x^3 -23x^2 + 26x +8 = 0\)?

A. -4
B. -2
C. 1
D. 2
E. 4

Are You Up For the Challenge: 700 Level Questions


Let the roots of the equation be p, q, r and s
Thus, we can write:

\(4x^3 -23x^2 + 26x +8 = 4(x - p)(x - q)(x - r)(x - s)\)

Thus, comparing the constant term on both sides, we get:

\(8 = 4(-p)(-q)(-r)(-s)\)

\(=> 8 = 4pqrs\)

\(=> pqrs = 2\)

Thus, the product of the roots = 2

Answer D

It is a cubic equation. Only three roots possible.


Let the roots of the equation be p, q, and r
Thus, we can write:

\(4x^3 -23x^2 + 26x +8 = 4(x - p)(x - q)(x - r)\)

Thus, comparing the constant term on both sides, we get:

\(8 = 4(-p)(-q)(-r)\)

\(=> 8 = -4pqr\)

\(=> pqr = -2\)

Thus, the product of the roots = -2
User avatar
GMATGuruNY
Joined: 04 Aug 2010
Last visit: 18 Nov 2025
Posts: 1,344
Own Kudos:
3,796
 [2]
Given Kudos: 9
Schools:Dartmouth College
Expert
Expert reply
Posts: 1,344
Kudos: 3,796
 [2]
2
Kudos
Add Kudos
Bookmarks
Bookmark this Post
Bunuel
What is the product of all possible values of x for the equation \(4x^3 -23x^2 + 26x +8 = 0\)?

A. -4
B. -2
C. 1
D. 2
E. 4

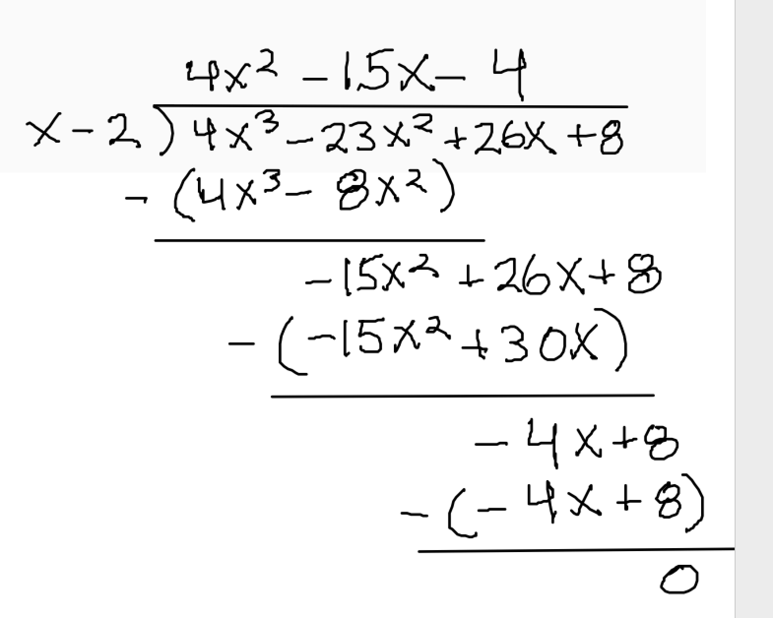
Since the last term is 8, one of the roots is probably a factor of 8:
1, 2, 4, 8

When we test x=2, we get:
\(4x^3 -23x^2 + 26x + 8 = (4*2^3) - (23*2^2) + (26*2) + 8 = 32 - 92 + 52 + 8 = 0\)
Implication:
(x-2) is a factor of \(4x^3 -23x^2 + 26x + 8\)

Dividing x-2 into \(4x^3 -23x^2 + 26x + 8\), we get:
Attachment:
poly 4.png
poly 4.png [ 127.45 KiB | Viewed 4255 times ]

Factoring \(4x^2 - 15x - 4 = 0\), we get:
(4x+1)(x-4) = 0

Thus:
\(4x^3 -23x^2 + 26x + 8 = (x-2)(4x+1)(x-4)\)
Roots = 2, -1/4, 4
Product of the roots = \(= 2*-\frac{1}{4}*4 = -2\)

User avatar
Anvesh99
Joined: 30 May 2021
Last visit: 08 Oct 2025
Posts: 19
Own Kudos:
8
 [1]
Given Kudos: 90
Posts: 19
Kudos: 8
 [1]
1
Kudos
Add Kudos
Bookmarks
Bookmark this Post
sujoykrdatta
Bunuel
What is the product of all possible values of x for the equation \(4x^3 -23x^2 + 26x +8 = 0\)?

A. -4
B. -2
C. 1
D. 2
E. 4


Let the roots of the equation be p, q, r and s
Thus, we can write:

\(4x^3 -23x^2 + 26x +8 = 4(x - p)(x - q)(x - r)(x - s)\)

Thus, comparing the constant term on both sides, we get:

\(8 = 4(-p)(-q)(-r)(-s)\)

\(=> 8 = 4pqrs\)

\(=> pqrs = 2\)

Thus, the product of the roots = 2

Answer D


Hello sujoykrdatta,

Can you please help me understand the question as well as your approach for this question. I am unable to understand.

Thanks
User avatar
NirupaD
Joined: 15 Oct 2019
Last visit: 11 Jul 2024
Posts: 69
Own Kudos:
48
 [1]
Given Kudos: 81
Products:
Posts: 69
Kudos: 48
 [1]
1
Kudos
Add Kudos
Bookmarks
Bookmark this Post
Anvesh99
sujoykrdatta
Bunuel
What is the product of all possible values of x for the equation \(4x^3 -23x^2 + 26x +8 = 0\)?

A. -4
B. -2
C. 1
D. 2
E. 4


Let the roots of the equation be p, q, r and s
Thus, we can write:

\(4x^3 -23x^2 + 26x +8 = 4(x - p)(x - q)(x - r)(x - s)\)

Thus, comparing the constant term on both sides, we get:

\(8 = 4(-p)(-q)(-r)(-s)\)

\(=> 8 = 4pqrs\)

\(=> pqrs = 2\)

Thus, the product of the roots = 2

Answer D


Hello sujoykrdatta,

Can you please help me understand the question as well as your approach for this question. I am unable to understand.

Thanks

General Polynomial
\(f(x) = ax^n + bx^(n-1) + cx^(n-2) + ... + z\)

And then factor it like this:

f(x) = a(x−p)(x−q)(x−r)...

Then p, q, r, etc are the roots (where the polynomial equals zero)

Adding the roots gives −b/a
Multiplying the roots gives:
z/a (for even degree polynomials like quadratics)
−z/a (for odd degree polynomials like cubics)

Cubic
Now let us look at a Cubic (one degree higher than Quadratic):

\(ax^3 + bx^2 + cx + d\)

As with the Quadratic, let us expand the factors:

a(x−p)(x−q)(x−r)
= \(ax^3 − a(p+q+r)x^2 + a(pq+pr+qr)x − a(pqr)\)

And we get:

Cubic: \(ax^3 +bx^2 +cx +d\)
Expanded Factors: \(a^3 −a(p+q+r)x^2 +a(pq+pr+qr)x −apqr\)
We can now see that\( −a(p+q+r)x^2 = bx^2, \)so:

−a(p+q+r) = b
p+q+r = −b/a
And −apqr = d, so:

pqr = −d/a

Adding the roots gives −b/a (exactly the same as the Quadratic)
Multiplying the roots gives −d/a (similar to +c/a for the Quadratic)
(We also get pq+pr+qr = c/a, which can itself be useful.)

Higher Polynomials
The same pattern continues with higher polynomials.

In General:

Adding the roots gives −b/a
Multiplying the roots gives (where "z" is the constant at the end):
z/a (for even degree polynomials like quadratics)
−z/a (for odd degree polynomials like cubics)
User avatar
bumpbot
User avatar
Non-Human User
Joined: 09 Sep 2013
Last visit: 04 Jan 2021
Posts: 38,582
Own Kudos:
Posts: 38,582
Kudos: 1,079
Kudos
Add Kudos
Bookmarks
Bookmark this Post
Hello from the GMAT Club BumpBot!

Thanks to another GMAT Club member, I have just discovered this valuable topic, yet it had no discussion for over a year. I am now bumping it up - doing my job. I think you may find it valuable (esp those replies with Kudos).

Want to see all other topics I dig out? Follow me (click follow button on profile). You will receive a summary of all topics I bump in your profile area as well as via email.
Moderators:
Math Expert
105377 posts
Tuck School Moderator
805 posts