dave13
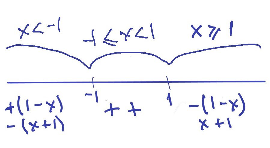
For range x<-1
i get this
(1-x)-(-x-1) = 0
1-x+x+1=0
2=0 is this result correct ? i ask this question because as per other posts two ranges yield the same value of 0
as per one post in this thread when we have |1 - x| - |x + 1| = 0 we need to change from|1 - x| to | x -1| Is it a must to switch places? And Why? And when ?
so in this case |x-1| - |x + 1| = 0
For range x<-1
I get (x-1) - (-x-1) = 0
x-1+x+1 = 0
2x=0
x=0
As For range -1≤x<1
i get (1-x)-(x+1) =0
1-x-x-1=0
-2x=0
x = 0
solution for this range looks correct ...hopefully

|x - 1| = |1 - x|
You can use it in either format but to avoid confusion and give a consistent method, I suggest to always convert. We are familiar with expressions such as (x + a) or (x - a) and know that the transition points are at -a or a. The overall process just gets a bit more intuitive.
Try to solve the question using both expressions separately and see how things vary.
Fro example,
When x < -1,
|x - 1| = - (x - 1)
But |1 - x| = (1 - x)
So your equations will change accordingly but of course you will get the same answer in either case.
"For range x<-1
I get (x-1) - (-x-1) = 0
x-1+x+1 = 0
2x=0
x=0
"
You are solving for x < -1 and you get x = 0. So there is NO value of x in the range x < -1.