Last visit was: 23 Apr 2026, 22:19 It is currently 23 Apr 2026, 22:19
Close
GMAT Club Daily Prep
Thank you for using the timer - this advanced tool can estimate your performance and suggest more practice questions. We have subscribed you to Daily Prep Questions via email.

Customized
for You

we will pick new questions that match your level based on your Timer History

Track
Your Progress

every week, we’ll send you an estimated GMAT score based on your performance

Practice
Pays

we will pick new questions that match your level based on your Timer History
Not interested in getting valuable practice questions and articles delivered to your email? No problem, unsubscribe here.
Close
Request Expert Reply
Confirm Cancel
User avatar
Bunuel
User avatar
Math Expert
Joined: 02 Sep 2009
Last visit: 23 Apr 2026
Posts: 109,800
Own Kudos:
810,888
 [1]
Given Kudos: 105,867
Products:
Expert
Expert reply
Active GMAT Club Expert! Tag them with @ followed by their username for a faster response.
Posts: 109,800
Kudos: 810,888
 [1]
Kudos
Add Kudos
1
Bookmarks
Bookmark this Post
User avatar
Bunuel
User avatar
Math Expert
Joined: 02 Sep 2009
Last visit: 23 Apr 2026
Posts: 109,800
Own Kudos:
Given Kudos: 105,867
Products:
Expert
Expert reply
Active GMAT Club Expert! Tag them with @ followed by their username for a faster response.
Posts: 109,800
Kudos: 810,888
Kudos
Add Kudos
Bookmarks
Bookmark this Post
User avatar
Rucha.Shukla
Joined: 17 Jan 2024
Last visit: 10 Jul 2025
Posts: 91
Own Kudos:
Given Kudos: 688
Location: India
Posts: 91
Kudos: 79
Kudos
Add Kudos
Bookmarks
Bookmark this Post
User avatar
Rucha.Shukla
Joined: 17 Jan 2024
Last visit: 10 Jul 2025
Posts: 91
Own Kudos:
79
 [1]
Given Kudos: 688
Location: India
Posts: 91
Kudos: 79
 [1]
1
Kudos
Add Kudos
Bookmarks
Bookmark this Post
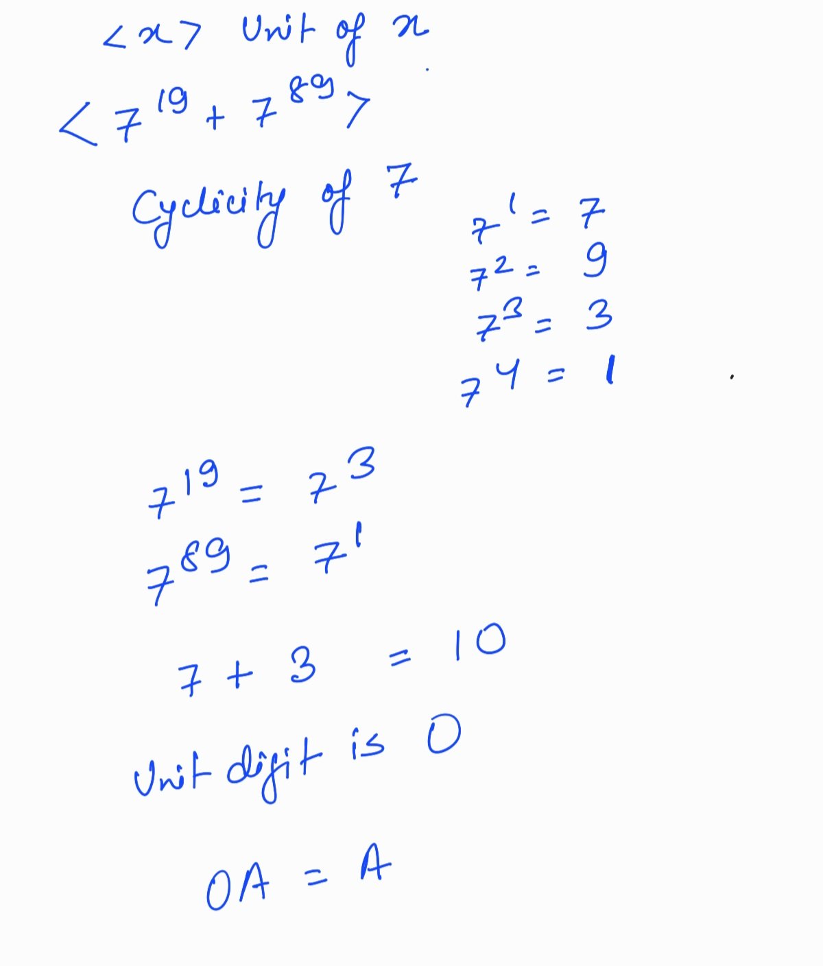
A. 0 ?

Cyclicity of 7 is 4 (7,9,3,1)

19/4 gives remainder 3 = units digit at 3rd power = 3

89/4 gives remainder 1 = units digit at 1st power= 7

7 + 3 = 1(0)

Posted from my mobile device
User avatar
Pallavimalik2597
Joined: 05 Aug 2022
Last visit: 15 Feb 2026
Posts: 22
Own Kudos:
40
 [1]
Given Kudos: 25
Posts: 22
Kudos: 40
 [1]
1
Kudos
Add Kudos
Bookmarks
Bookmark this Post
We need to find the trend when 7 is multiplied by 7 multiple times

7*7=49
7^3=343 ends with 3
7^4= ends with 1

7,9,3,1 and this pattern keeps on repeating.

So 7^19 can be re written as (7)^16+3 = (7^4)^4*7^3 which means 7^3 will define the end number =3

Same exercise we have to do for 7^89, end digit wil be 7

So total of 7+3=10

Posted from my mobile device
User avatar
VivekSri
Joined: 01 May 2022
Last visit: 05 Feb 2026
Posts: 468
Own Kudos:
770
 [1]
Given Kudos: 117
Location: India
WE:Engineering (Consulting)
Posts: 468
Kudos: 770
 [1]
1
Kudos
Add Kudos
Bookmarks
Bookmark this Post
Bunuel
\(<x>\) denotes the unit digit of x. For example, \(<123> = 3\). What is \(<7^{19}+7^{89}>\)?

A. 0
B. 1
C. 3
D. 8
E. 9


Attachments

Screenshot_20240126_111222_Samsung Notes.jpg
Screenshot_20240126_111222_Samsung Notes.jpg [ 107.27 KiB | Viewed 1491 times ]

Moderators:
Math Expert
109795 posts
Tuck School Moderator
853 posts