Last visit was: 21 Apr 2026, 20:42 It is currently 21 Apr 2026, 20:42
Close
GMAT Club Daily Prep
Thank you for using the timer - this advanced tool can estimate your performance and suggest more practice questions. We have subscribed you to Daily Prep Questions via email.

Customized
for You

we will pick new questions that match your level based on your Timer History

Track
Your Progress

every week, we’ll send you an estimated GMAT score based on your performance

Practice
Pays

we will pick new questions that match your level based on your Timer History
Not interested in getting valuable practice questions and articles delivered to your email? No problem, unsubscribe here.
Close
Request Expert Reply
Confirm Cancel
User avatar
jlgdr
Joined: 06 Sep 2013
Last visit: 24 Jul 2015
Posts: 1,302
Own Kudos:
2,974
 [57]
Given Kudos: 355
Concentration: Finance
Posts: 1,302
Kudos: 2,974
 [57]
8
Kudos
Add Kudos
49
Bookmarks
Bookmark this Post
Most Helpful Reply
avatar
sjavvadi
Joined: 03 Oct 2013
Last visit: 24 May 2018
Posts: 55
Own Kudos:
80
 [21]
Given Kudos: 16
Posts: 55
Kudos: 80
 [21]
15
Kudos
Add Kudos
6
Bookmarks
Bookmark this Post
User avatar
GMATinsight
User avatar
Major Poster
Joined: 08 Jul 2010
Last visit: 21 Apr 2026
Posts: 6,976
Own Kudos:
16,892
 [11]
Given Kudos: 128
Status:GMAT/GRE Tutor l Admission Consultant l On-Demand Course creator
Location: India
GMAT: QUANT+DI EXPERT
Schools: IIM (A) ISB '24
GMAT 1: 750 Q51 V41
WE:Education (Education)
Products:
Expert
Expert reply
Schools: IIM (A) ISB '24
GMAT 1: 750 Q51 V41
Posts: 6,976
Kudos: 16,892
 [11]
7
Kudos
Add Kudos
4
Bookmarks
Bookmark this Post
General Discussion
User avatar
Bunuel
User avatar
Math Expert
Joined: 02 Sep 2009
Last visit: 21 Apr 2026
Posts: 109,728
Own Kudos:
810,483
 [4]
Given Kudos: 105,800
Products:
Expert
Expert reply
Active GMAT Club Expert! Tag them with @ followed by their username for a faster response.
Posts: 109,728
Kudos: 810,483
 [4]
1
Kudos
Add Kudos
3
Bookmarks
Bookmark this Post
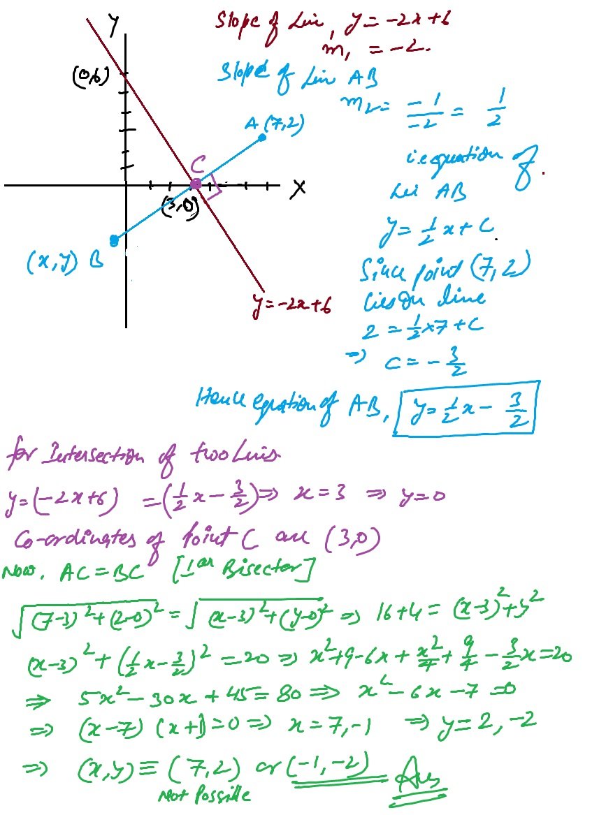
jlgdr
The line represented by the equation y = - 2 x + 6 is the perpendicular bisector of the line segment AB. If A has the coordinates (7,2), what are the coordinates for B?

Draw y = - 2 x + 6 and use the options.

Similar questions:
in-the-rectangular-coordinate-system-above-the-line-y-x-144774.html
in-the-rectangular-coordinate-system-the-line-y-x-is-the-132646.html
in-the-rectangular-coordinate-system-above-the-line-y-x-129932.html
the-line-represented-by-the-equation-y-4-2x-is-the-127770.html
avatar
daveglasgow
Joined: 26 Jun 2015
Last visit: 27 Jun 2015
Posts: 1
Posts: 1
Kudos: 0
Kudos
Add Kudos
Bookmarks
Bookmark this Post
Hey guys,

This might be an easy question for some - but I'm struggling to understand it.

The line represented by the equation y = -2x + 6 is the perpendicular bisector of the line segment AB. If A has coordinates (7,2), what are the coordinates for B?

(-1,-2) If y= -2x + 6 is the perpendicular bisector of the segment AB, then the line containing segment AB must have a slop of 0.5 (the negative inverse of -2)

Question: - Why is the negative inverse of -2 0.5? I have it in my head that it is because opposite of 2/1 is 1/2 which is 0.5?.

Therefore you can represent this line with the equation y = 0.5x + b. Substitute the coordinates (7,2) into the equation to find the value of b.

2 = 0.5(7) + b
b = -1.5

Question: - Why does this equal -1.5? 0.5 x 7 = 3.5 / 2 = 1.75 ?

The line containing AB is y = 0.5 x - 1.5

Find the point at which the perpendicular bisector intersect AB by setting the two equations y = -x + 6 and y = 0.5x - 1.5x equal to each other.

-2x + 6 = 0.5x - 1.5
2.5 x = 7.5
x = 3, y = 0

The two lines intersect at (3,0) which is midpoint of AB.

X Y
A 7 2
MID 3 0
B -1 -2

Would it be easier to set this out on a graph?

Thanks in advance!
User avatar
Nunuboy1994
Joined: 12 Nov 2016
Last visit: 24 Apr 2019
Posts: 554
Own Kudos:
126
 [1]
Given Kudos: 167
Location: United States
Schools: Yale '18
GMAT 1: 650 Q43 V37
GRE 1: Q157 V158
GPA: 2.66
Schools: Yale '18
GMAT 1: 650 Q43 V37
GRE 1: Q157 V158
Posts: 554
Kudos: 126
 [1]
1
Kudos
Add Kudos
Bookmarks
Bookmark this Post
jlgdr
The line represented by the equation y = - 2 x + 6 is the perpendicular bisector of the line segment AB. If A has the coordinates (7,2), what are the coordinates for B?

To solve this question you have to know the property of a perpendicular line's slope relative to the slope of the line it passes through- the slope of a perpendicular line is both the opposite (negative if other slope is positive and positive if other slope is negative) and reciprocal (the perpendicular of the slope 2x is 1/2 and 3/2x would be 2/3x).

The slope of the perpendicular line would just be

y= 1/2 x + c( c just represents the y intercept in an equation) now insert the given coordinates
2= 7/2 + c
c = -3/2

Set the two equations equal

1/2x -3/2 = -2x + 6
avatar
NabilSaleem
Joined: 07 Feb 2015
Last visit: 20 Jun 2021
Posts: 4
Own Kudos:
Given Kudos: 11
Location: India
Concentration: Strategy, Sustainability
GPA: 4
WE:Consulting (Computer Software)
Products:
Posts: 4
Kudos: 2
Kudos
Add Kudos
Bookmarks
Bookmark this Post
Formula needed to solve:
pick slope from y= mx+c where m is slope

perpendicular line = m1*m2 = -1, where m1 & m2 are slopes of perpendicular lines

Apply slope and point A to y = mx+c to find intercept point and form eqn of line AB

now solve line eqn of perpendicular line & AB to find bisector point

then apply mid point to formula m=(mid point of x, mid point of y)

mid point of x = X1+X2/2

mid point of y = Y1+Y2/2
User avatar
Adarsh_24
Joined: 06 Jan 2024
Last visit: 03 Apr 2025
Posts: 241
Own Kudos:
Given Kudos: 2,015
Posts: 241
Kudos: 65
Kudos
Add Kudos
Bookmarks
Bookmark this Post
GMATinsight
daveglasgow
Hey guys,

This might be an easy question for some - but I'm struggling to understand it.

The line represented by the equation y = -2x + 6 is the perpendicular bisector of the line segment AB. If A has coordinates (7,2), what are the coordinates for B?



Would it be easier to set this out on a graph?

Thanks in advance!

Please find the explanation as attached.
In case someone finds it helpful.
I have gone through multiple questions like this here.

my take away is to try not to expand the (a-b)^2
we have y=(x-3)/2
also
20= (x-3)^2+y^2
then
20=(x-3)^2 +(x-3)^2 / 4
so we can easily take out (x-3)^2.
20=(x-3)^2 * 5/4
User avatar
finisher009
Joined: 10 Jun 2025
Last visit: 22 Jan 2026
Posts: 49
Own Kudos:
Given Kudos: 54
GMAT Focus 1: 625 Q82 V83 DI78
GMAT Focus 1: 625 Q82 V83 DI78
Posts: 49
Kudos: 9
Kudos
Add Kudos
Bookmarks
Bookmark this Post
Step-by-Step Solution:

1. Find the Slope of the Perpendicular Line:
The given line is `y = -2x + 6`. The slope of this line is -2. The slope of the line segment `AB` must be the negative reciprocal of -2.
• Negative reciprocal of -2 is `-1 / (-2) = 1/2`.

2. Test the Answer Choices:
Now, calculate the slope between point `A (7, 2)` and each answer choice. The correct answer must give a slope of `1/2`. Let’s use the formula: `slope = (y2 - y1) / (x2 - x1)`.
• A. (-2, -1): slope = `(-1 - 2) / (-2 - 7)` = `-3 / -9` = `1/3`. Incorrect.
• B. (-1, -2): slope = `(-2 - 2) / (-1 - 7)` = `-4 / -8` = `1/2`. This matches. This is our answer.
• C. (-2, 1): slope = `(1 - 2) / (-2 - 7)` = `-1 / -9` = `1/9`. Incorrect.
• D. (-1, 2): slope = `(2 - 2) / (-1 - 7)` = `0 / -8` = `0`. Incorrect.
• E. (7, 2): This is the same as point A. Incorrect.

We found the answer in two quick steps by focusing on the “perpendicular” property. There is no need to even check the “bisector” (midpoint) property, as only one answer choice works.

The correct answer is B. (-1, -2).
Moderators:
Math Expert
109728 posts
Tuck School Moderator
853 posts