Last visit was: 20 Nov 2025, 06:44 It is currently 20 Nov 2025, 06:44
Close
GMAT Club Daily Prep
Thank you for using the timer - this advanced tool can estimate your performance and suggest more practice questions. We have subscribed you to Daily Prep Questions via email.

Customized
for You

we will pick new questions that match your level based on your Timer History

Track
Your Progress

every week, we’ll send you an estimated GMAT score based on your performance

Practice
Pays

we will pick new questions that match your level based on your Timer History
Not interested in getting valuable practice questions and articles delivered to your email? No problem, unsubscribe here.
Close
Request Expert Reply
Confirm Cancel
User avatar
gmatgeek
Joined: 24 Apr 2012
Last visit: 24 Jun 2015
Posts: 33
Own Kudos:
87
 [84]
Given Kudos: 35
GMAT 1: 660 Q48 V33
WE:Information Technology (Healthcare/Pharmaceuticals)
GMAT 1: 660 Q48 V33
Posts: 33
Kudos: 87
 [84]
3
Kudos
Add Kudos
81
Bookmarks
Bookmark this Post
Most Helpful Reply
User avatar
KarishmaB
Joined: 16 Oct 2010
Last visit: 19 Nov 2025
Posts: 16,267
Own Kudos:
77,003
 [41]
Given Kudos: 482
Location: Pune, India
Expert
Expert reply
Active GMAT Club Expert! Tag them with @ followed by their username for a faster response.
Posts: 16,267
Kudos: 77,003
 [41]
27
Kudos
Add Kudos
14
Bookmarks
Bookmark this Post
User avatar
ziko
Joined: 28 Feb 2012
Last visit: 29 Jan 2014
Posts: 91
Own Kudos:
217
 [14]
Given Kudos: 17
Concentration: Strategy, International Business
GPA: 3.9
WE:Marketing (Other)
Posts: 91
Kudos: 217
 [14]
10
Kudos
Add Kudos
4
Bookmarks
Bookmark this Post
General Discussion
User avatar
gmatgeek
Joined: 24 Apr 2012
Last visit: 24 Jun 2015
Posts: 33
Own Kudos:
Given Kudos: 35
GMAT 1: 660 Q48 V33
WE:Information Technology (Healthcare/Pharmaceuticals)
GMAT 1: 660 Q48 V33
Posts: 33
Kudos: 87
Kudos
Add Kudos
Bookmarks
Bookmark this Post
samsonfred76
simultaneous grow = same amount of time

In 20 days we should expect to have P(2)^20

So if we have two things doing the job of getting us there then;

2^x + 2^x = 20

2(2)^x=2
2^(x+1)=2^20

x+1 = 20

x = 19

We do not need additional information to answer this.
More often than not, if you start thinking the question is wrong chances are you are wrong!

If the colony doubles every day then on 20th day the size should be P 2^19 and not P 2^20..right ?
avatar
samsonfred76
Joined: 10 Apr 2012
Last visit: 28 Oct 2019
Posts: 15
Own Kudos:
126
 [1]
Concentration: Finance, Economics
GMAT 1: 760 Q50 V44
GMAT 1: 760 Q50 V44
Posts: 15
Kudos: 126
 [1]
1
Kudos
Add Kudos
Bookmarks
Bookmark this Post
Let the size at the colony at the start of 20 days be = 1
At the end of the first day it would be 2...At the end of the second day it would be 2(2) and the day after that (2)(2)(2)...You can see then that following the same pattern at the end of 20 days you have (2)^20 since the population doubles...
Hope this helps...
User avatar
GyanOne
Joined: 24 Jul 2011
Last visit: 16 Nov 2025
Posts: 3,222
Own Kudos:
1,691
 [11]
Given Kudos: 33
Status: World Rank #4 MBA Admissions Consultant
Expert
Expert reply
Posts: 3,222
Kudos: 1,691
 [11]
8
Kudos
Add Kudos
3
Bookmarks
Bookmark this Post
Let a be the number of bacteria in the colony at start of day 1.

a * 2^(20) = 2a * 2^(x)
=> x = 20 -1 = 19

Option E
avatar
Abetron
Joined: 12 Dec 2012
Last visit: 18 Jan 2013
Posts: 3
Own Kudos:
5
 [5]
Posts: 3
Kudos: 5
 [5]
5
Kudos
Add Kudos
Bookmarks
Bookmark this Post
Minimal math answer.

If the bacteria doubles its size everyday and takes 20 days to fill up its habitat, then the previous day it filled up half the habitat.

So if it takes 1 bacteria 19 days to fill up half its habitat, it takes 2 bacteria 19 days to fill up the habitat.
User avatar
Bunuel
User avatar
Math Expert
Joined: 02 Sep 2009
Last visit: 20 Nov 2025
Posts: 105,418
Own Kudos:
778,508
 [6]
Given Kudos: 99,987
Products:
Expert
Expert reply
Active GMAT Club Expert! Tag them with @ followed by their username for a faster response.
Posts: 105,418
Kudos: 778,508
 [6]
5
Kudos
Add Kudos
1
Bookmarks
Bookmark this Post
gmatgeek
A certain bacteria colony doubles in size every day for 20 days, at which point it reaches the limit of its habitat and can no longer grow. If two bacteria colonies start growing simultaneously, how many days will it take them to reach the habitat’s limit?

A. 6.33
B. 7.5
C. 10
D. 15
E. 19

If there is one bacteria colony, then it will reach the limit of its habitat in 20 days.

If there are two bacteria colonies, then in order to reach the limit of habitat they would need to double one time less than in case with one colony. Thus colonies need to double 19 times.

Answer: E.

Similar questions to practice:
it-takes-30-days-to-fill-a-laboratory-dish-with-bacteria-140269.html
the-number-of-water-lilies-on-a-certain-lake-doubles-every-142858.html
a-certain-culture-of-bacteria-quadruples-every-hour-if-a-52258.html

Hope it helps.
User avatar
priyamne
Joined: 24 Apr 2012
Last visit: 15 Feb 2014
Posts: 36
Own Kudos:
Given Kudos: 1
Posts: 36
Kudos: 54
Kudos
Add Kudos
Bookmarks
Bookmark this Post
Ans:
If there is one bacteria colony, then it will reach the limit of its habitat in 20 days which is 2^19

If there are two bacteria colonies growing simultaneously, then they would multiply as 2, 2^2, 2^3 in order to reach the limit of habitat they would need one day less than normal which is 19 days. (E).
User avatar
HumptyDumpty
Joined: 12 Dec 2012
Last visit: 07 Oct 2014
Posts: 142
Own Kudos:
542
 [6]
Given Kudos: 67
Location: Poland
Posts: 142
Kudos: 542
 [6]
6
Kudos
Add Kudos
Bookmarks
Bookmark this Post
Two colonies double every day, the given limit value is 2^20 (the asked growth, x - number of days (doublings)):

2(2^x)=2^20

Manipulate the exponent:
2^(x+1)=2^20

Solve for x:
x=19

The answer is E.
User avatar
gmatprav
Joined: 25 Oct 2013
Last visit: 19 Nov 2015
Posts: 111
Own Kudos:
Given Kudos: 55
Posts: 111
Kudos: 185
Kudos
Add Kudos
Bookmarks
Bookmark this Post
Let the final amount of bacteria or the MAX size of the habitat on day 20 be 2x. With single colony doubling every day, the quantity of bacteria on day 19 will be 2x/2 which is x. Now we have another colony growing at the same pace, its size on day 19 is also going to be x. Therefore on day 19 colony 1 size is x and colony 2 size is also x. So total size on day 19 will be 2x. Which is the MAX size of the habitat. Hence E is the answer.

PS: The question seems a little ambiguous because we have to assume each bacteria colony starts with same amount in the beginning.
avatar
shubh09
Joined: 29 Nov 2014
Last visit: 08 Feb 2018
Posts: 1
Own Kudos:
5
 [5]
Given Kudos: 2
Posts: 1
Kudos: 5
 [5]
5
Kudos
Add Kudos
Bookmarks
Bookmark this Post
20th day = 100%
19th day = 50% (coz it doubles every day)
so two colonies will take 19 days i.e 50% + 50% simultaneously. :)

Posted from my mobile device
User avatar
mcelroytutoring
Joined: 10 Jul 2015
Last visit: 15 Nov 2025
Posts: 1,204
Own Kudos:
2,644
 [10]
Given Kudos: 282
Status:Expert GMAT, GRE, and LSAT Tutor / Coach
Affiliations: Harvard University, A.B. with honors in Government, 2002
Location: United States (CO)
Age: 45 (10 years and counting on GMAT Club!)
GMAT 1: 770 Q47 V48
GMAT 2: 730 Q44 V47
GMAT 3: 750 Q50 V42
GMAT 4: 730 Q48 V42 (Online)
GRE 1: Q168 V169
GRE 2: Q170 V170
Expert
Expert reply
GMAT 4: 730 Q48 V42 (Online)
GRE 1: Q168 V169
GRE 2: Q170 V170
Posts: 1,204
Kudos: 2,644
 [10]
9
Kudos
Add Kudos
1
Bookmarks
Bookmark this Post
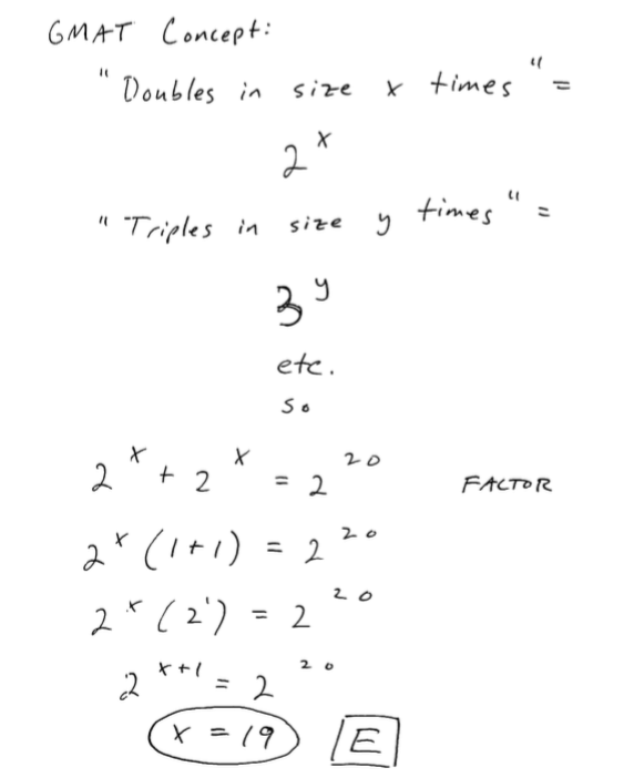
Attached is a visual that should help. Technically the equation for "doubles in size x times" should be \(n(2^x)\) because we do not know that the colony is necessarily doubling in integer form, i.e, 1,2,4,8 etc. But it's easier to eliminate that part since "n" would be on both sides of the equation, and we are not given a specific starting number so we might as well use the integer powers of two.
Attachments

Screen Shot 2016-04-08 at 8.24.37 PM.png
Screen Shot 2016-04-08 at 8.24.37 PM.png [ 72.01 KiB | Viewed 27151 times ]

User avatar
BPHASDEU
Joined: 08 Sep 2015
Last visit: 24 Jun 2017
Posts: 44
Own Kudos:
Given Kudos: 29
Posts: 44
Kudos: 181
Kudos
Add Kudos
Bookmarks
Bookmark this Post
I found this formula to be easy to apply.

Final population growth = S * P ^ (t/l)
S = starting population
P = progression (doubles = 2, triples = 3 etc.)
t/l = total amount of iterations
t = time
I = intervals

Let x be final population or habitat limit = > x = 1 bacteria * 2 ^(20 days/1 day) which is x = 2 ^20
if we have 2 bacterias, then each has to fill in half of the habitat => x/2 = 2^20 / 2 = > x/2 = 2 ^19 - so it will take 19 days for each bacteria to fill in half of the habitat, which mens that together they will reach habitat's limit in 19 days
User avatar
dave13
Joined: 09 Mar 2016
Last visit: 12 Aug 2025
Posts: 1,108
Own Kudos:
Given Kudos: 3,851
Posts: 1,108
Kudos: 1,113
Kudos
Add Kudos
Bookmarks
Bookmark this Post
gmatgeek
A certain bacteria colony doubles in size every day for 20 days, at which point it reaches the limit of its habitat and can no longer grow. If two bacteria colonies start growing simultaneously, how many days will it take them to reach the habitat’s limit?

A. 6.33
B. 7.5
C. 10
D. 15
E. 19


I think the wording of the question is wrong here, ...first sentence talks about one bacteria colony, and second sentence talks about two bacteria colonies start growing simultaneously ...which really confuses me :) it looks like two colonies start growing in one space (room) lol so logically it should have been 10 days :)
avatar
abhisheksinha17
Joined: 25 Jul 2019
Last visit: 12 Jul 2021
Posts: 4
Given Kudos: 1
Posts: 4
Kudos: 0
Kudos
Add Kudos
Bookmarks
Bookmark this Post
More than math it is simple logic... If a bacteria doubles daily for 20 days.. 2nd day there will be double the bacteria, so it completes a habitat in 20 days, it completes the habitat half in 19 days(As on the 20th day the amount of bacteria will double itself to complete the habitat) So if there happens to be two bacteria, they will cover the habit on 19th day itself.
User avatar
jkrishh7
Joined: 06 Feb 2020
Last visit: 16 Sep 2020
Posts: 37
Own Kudos:
Given Kudos: 18
Status:When going gets tough, tough gets going_GMAT2020
Location: India
Concentration: Finance, Entrepreneurship
WE:Engineering (Military & Defense)
Posts: 37
Kudos: 21
Kudos
Add Kudos
Bookmarks
Bookmark this Post
gmatgeek
A certain bacteria colony doubles in size every day for 20 days, at which point it reaches the limit of its habitat and can no longer grow. If two bacteria colonies start growing simultaneously, how many days will it take them to reach the habitat’s limit?

A. 6.33
B. 7.5
C. 10
D. 15
E. 19

**Solution**
We know 2^n is the growth rate of bacteria for one bacteria colony and once the growth reaches 2^20 threshold, done no more growth, does not matter how many bacteria colonies are.

There are two colonies (assuming equal initial population) (2^n)+ (2^n)=2^20 (threshold)
It implies 2*(2^n)=2^20
or 2^n=(2^20)/2
therefore 2^n=(2^19)

n=19 Answer
User avatar
varun325
Joined: 25 Oct 2017
Last visit: 01 Aug 2022
Posts: 80
Own Kudos:
Given Kudos: 81
Location: India
Concentration: Social Entrepreneurship, Strategy
GMAT 1: 600 Q48 V26
GMAT 2: 650 Q48 V32
GPA: 3.46
GMAT 2: 650 Q48 V32
Posts: 80
Kudos: 46
Kudos
Add Kudos
Bookmarks
Bookmark this Post
BOTH METHODS FINE
A) Suppose the max limit is 65536000,32768000,16384000,8192000,4096000,2048000,1024000,512000,256000,12800,6400,3200,1600,800,400,200,100,50,25
which is achieved in 20 days with one bacteria colony. Now two colonies are simultaneously raised from 25 now at day 19 the size of each colony is 32768000 which sums up to 65536000.

B) Using G.P
T20th=a2^20-1====>a.2^19
T19th=a2^19-1====>a.2^18* 2( as two colonies are raised) which is equal to above a.2^19
avatar
2021gre2021
Joined: 19 Apr 2021
Last visit: 17 Sep 2023
Posts: 2
Given Kudos: 65
Posts: 2
Kudos: 0
Kudos
Add Kudos
Bookmarks
Bookmark this Post
BPHASDEU
I found this formula to be easy to apply.

Final population growth = S * P ^ (t/l)
S = starting population
P = progression (doubles = 2, triples = 3 etc.)
t/l = total amount of iterations
t = time
I = intervals

Let x be final population or habitat limit = > x = 1 bacteria * 2 ^(20 days/1 day) which is x = 2 ^20
if we have 2 bacterias, then each has to fill in half of the habitat => x/2 = 2^20 / 2 = > x/2 = 2 ^19 - so it will take 19 days for each bacteria to fill in half of the habitat, which mens that together they will reach habitat's limit in 19 days

Are we assuming that the initial no. of bacteria is 1 and final is x?
User avatar
bumpbot
User avatar
Non-Human User
Joined: 09 Sep 2013
Last visit: 04 Jan 2021
Posts: 38,598
Own Kudos:
Posts: 38,598
Kudos: 1,079
Kudos
Add Kudos
Bookmarks
Bookmark this Post
Hello from the GMAT Club BumpBot!

Thanks to another GMAT Club member, I have just discovered this valuable topic, yet it had no discussion for over a year. I am now bumping it up - doing my job. I think you may find it valuable (esp those replies with Kudos).

Want to see all other topics I dig out? Follow me (click follow button on profile). You will receive a summary of all topics I bump in your profile area as well as via email.
Moderators:
Math Expert
105418 posts
Tuck School Moderator
805 posts