Last visit was: 18 Nov 2025, 16:04 It is currently 18 Nov 2025, 16:04
Close
GMAT Club Daily Prep
Thank you for using the timer - this advanced tool can estimate your performance and suggest more practice questions. We have subscribed you to Daily Prep Questions via email.

Customized
for You

we will pick new questions that match your level based on your Timer History

Track
Your Progress

every week, we’ll send you an estimated GMAT score based on your performance

Practice
Pays

we will pick new questions that match your level based on your Timer History
Not interested in getting valuable practice questions and articles delivered to your email? No problem, unsubscribe here.
Close
Request Expert Reply
Confirm Cancel
User avatar
Bunuel
User avatar
Math Expert
Joined: 02 Sep 2009
Last visit: 18 Nov 2025
Posts: 105,355
Own Kudos:
Given Kudos: 99,964
Products:
Expert
Expert reply
Active GMAT Club Expert! Tag them with @ followed by their username for a faster response.
Posts: 105,355
Kudos: 778,070
 [14]
1
Kudos
Add Kudos
12
Bookmarks
Bookmark this Post
Most Helpful Reply
User avatar
Rogermoris
Joined: 13 Aug 2020
Last visit: 24 Sep 2020
Posts: 25
Own Kudos:
50
 [12]
Given Kudos: 12
Posts: 25
Kudos: 50
 [12]
10
Kudos
Add Kudos
1
Bookmarks
Bookmark this Post
General Discussion
User avatar
Jks3000
Joined: 28 Mar 2018
Last visit: 12 Nov 2025
Posts: 173
Own Kudos:
77
 [2]
Given Kudos: 63
Location: India
Concentration: Strategy, Technology
GMAT 1: 700 Q49 V36
GMAT 2: 730 Q50 V39
Products:
GMAT 2: 730 Q50 V39
Posts: 173
Kudos: 77
 [2]
2
Kudos
Add Kudos
Bookmarks
Bookmark this Post
User avatar
rajatchopra1994
Joined: 16 Feb 2015
Last visit: 22 Jun 2024
Posts: 1,056
Own Kudos:
1,252
 [1]
Given Kudos: 30
Location: United States
Posts: 1,056
Kudos: 1,252
 [1]
1
Kudos
Add Kudos
Bookmarks
Bookmark this Post
Explanation:

O is the centre of inscribed circle.
Consider one Quarter circle, perpendicular to this tangent will pass through the centre of Quarter circle to Point A.
For other Quarter circle, we do similar construction, the perpendicular to this tangent will pass through the centre of Quarter circle to Point B.
Intersection of these line must contains center O.

As sqauare side is 2, means radius of Quarter circle is 2.

Let inscribed cicle radius is r. So distance between 2 centre is 1-r.

Draw a perpendicular from radius of inscribed circle. Which will bisect side of Square at point E.

Using Pythagoras theorem on Triangle AOE.

1^2 + r^2 = (2-r)^2
4r=4-1
r=3/4

Area of circle: πr^2
= π(3/4)^2
= 9π/16

IMO-D

Posted from my mobile device
Attachments

IMG_20200904_084731.jpg
IMG_20200904_084731.jpg [ 903.55 KiB | Viewed 7487 times ]

User avatar
petrichor
User avatar
Current Student
Joined: 13 Nov 2016
Last visit: 04 Jun 2023
Posts: 86
Own Kudos:
40
 [3]
Given Kudos: 76
Location: United States
GMAT 1: 610 Q45 V29
GMAT 2: 680 Q47 V35
GPA: 3.6
GMAT 2: 680 Q47 V35
Posts: 86
Kudos: 40
 [3]
3
Kudos
Add Kudos
Bookmarks
Bookmark this Post
unlike the similar one posted recently, this can be answered in under 2 mins :)


Answer : D

Posted from my mobile device
Attachments

CamScanner 09-03-2020 23.28.57__01.jpg
CamScanner 09-03-2020 23.28.57__01.jpg [ 364.7 KiB | Viewed 6438 times ]

User avatar
hiranmay
Joined: 12 Dec 2015
Last visit: 22 Jun 2024
Posts: 459
Own Kudos:
Given Kudos: 84
Posts: 459
Kudos: 560
Kudos
Add Kudos
Bookmarks
Bookmark this Post
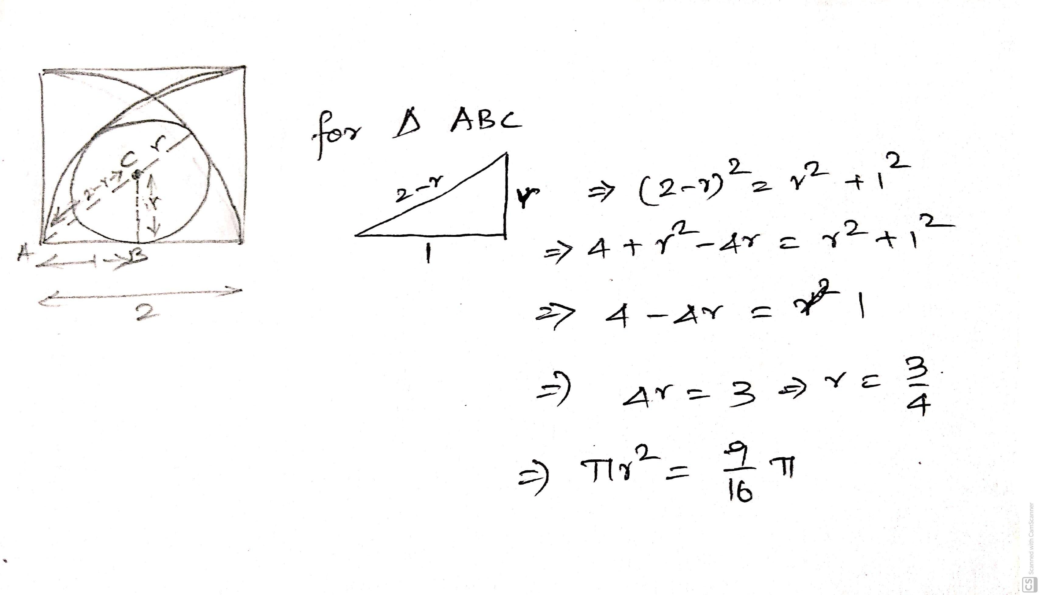
Two quarter circles are drawn in a square and a circle is inscribed between the quarter circles. If the side of the square is 2 cm, what is the area of the circle?


A. \(\frac{1}{9}*\pi\)

B. \(\frac{9}{64}*\pi\)

C. \(\frac{3}{8}*\pi\)

D. \(\frac{9}{16}*\pi\) --> correct

E. \(\frac{3}{4}*\pi\)

Solution:
radius of the small circle = r
for triangle AOE

1^2+r^2 = (2-r)^2
=> 2*(2-2r) =1
=> r=3/4
so the area of the small circle= \(\pi*(\frac{3}{4})^2\)=\(\frac{9}{16}*\pi\)


Posted from my mobile device
Attachments

2D4CE0B6-DAFB-452C-A3F2-B96A866231A6.jpeg
2D4CE0B6-DAFB-452C-A3F2-B96A866231A6.jpeg [ 1.95 MiB | Viewed 6007 times ]

User avatar
jhavyom
Joined: 02 Sep 2019
Last visit: 17 Dec 2022
Posts: 174
Own Kudos:
Given Kudos: 28
Location: India
Schools: ISB'22
Schools: ISB'22
Posts: 174
Kudos: 268
Kudos
Add Kudos
Bookmarks
Bookmark this Post
Two quarter circles are drawn in a square and a circle is inscribed between the quarter circles. If the side of the square is 2 cm, what is the area of the circle?
Attachments

20200904_094438.jpg
20200904_094438.jpg [ 1.78 MiB | Viewed 5962 times ]

User avatar
NeoNguyen1989
Joined: 18 Nov 2018
Last visit: 18 Nov 2025
Posts: 83
Own Kudos:
Given Kudos: 42
Posts: 83
Kudos: 88
Kudos
Add Kudos
Bookmarks
Bookmark this Post
IMO D the explanation is as the picture
Attachments

Annotation 2020-09-04 130421.png
Annotation 2020-09-04 130421.png [ 88.09 KiB | Viewed 5933 times ]

User avatar
bumpbot
User avatar
Non-Human User
Joined: 09 Sep 2013
Last visit: 04 Jan 2021
Posts: 38,587
Own Kudos:
Posts: 38,587
Kudos: 1,079
Kudos
Add Kudos
Bookmarks
Bookmark this Post
Hello from the GMAT Club BumpBot!

Thanks to another GMAT Club member, I have just discovered this valuable topic, yet it had no discussion for over a year. I am now bumping it up - doing my job. I think you may find it valuable (esp those replies with Kudos).

Want to see all other topics I dig out? Follow me (click follow button on profile). You will receive a summary of all topics I bump in your profile area as well as via email.
Moderators:
Math Expert
105355 posts
Tuck School Moderator
805 posts