Last visit was: 23 Apr 2026, 07:52 It is currently 23 Apr 2026, 07:52
Close
GMAT Club Daily Prep
Thank you for using the timer - this advanced tool can estimate your performance and suggest more practice questions. We have subscribed you to Daily Prep Questions via email.

Customized
for You

we will pick new questions that match your level based on your Timer History

Track
Your Progress

every week, we’ll send you an estimated GMAT score based on your performance

Practice
Pays

we will pick new questions that match your level based on your Timer History
Not interested in getting valuable practice questions and articles delivered to your email? No problem, unsubscribe here.
Close
Request Expert Reply
Confirm Cancel
User avatar
edwin.que
Joined: 27 Oct 2023
Last visit: 30 Apr 2024
Posts: 14
Own Kudos:
981
 [89]
Posts: 14
Kudos: 981
 [89]
2
Kudos
Add Kudos
86
Bookmarks
Bookmark this Post
Most Helpful Reply
User avatar
gmatophobia
User avatar
Quant Chat Moderator
Joined: 22 Dec 2016
Last visit: 19 Apr 2026
Posts: 3,173
Own Kudos:
11,454
 [6]
Given Kudos: 1,862
Location: India
Concentration: Strategy, Leadership
Posts: 3,173
Kudos: 11,454
 [6]
3
Kudos
Add Kudos
3
Bookmarks
Bookmark this Post
User avatar
chetan2u
User avatar
GMAT Expert
Joined: 02 Aug 2009
Last visit: 22 Apr 2026
Posts: 11,229
Own Kudos:
45,000
 [6]
Given Kudos: 335
Status:Math and DI Expert
Location: India
Concentration: Human Resources, General Management
GMAT Focus 1: 735 Q90 V89 DI81
Products:
Expert
Expert reply
GMAT Focus 1: 735 Q90 V89 DI81
Posts: 11,229
Kudos: 45,000
 [6]
2
Kudos
Add Kudos
4
Bookmarks
Bookmark this Post
General Discussion
avatar
Jayam12
Joined: 31 Oct 2023
Last visit: 19 Jun 2025
Posts: 54
Own Kudos:
Given Kudos: 200
Location: India
Posts: 54
Kudos: 40
Kudos
Add Kudos
Bookmarks
Bookmark this Post
Hi gmatophobia

Needed your help in understanding this concept

https://www.manhattanprep.com/gmat/blog ... tive%20one.

So I read this article on how to deal with square roots in gmat. It says that we do not consider negative values after square root

Why is -(3)^1/2 correct?

Doesn't this question yield only one positive root?
User avatar
Bunuel
User avatar
Math Expert
Joined: 02 Sep 2009
Last visit: 23 Apr 2026
Posts: 109,778
Own Kudos:
810,789
 [1]
Given Kudos: 105,853
Products:
Expert
Expert reply
Active GMAT Club Expert! Tag them with @ followed by their username for a faster response.
Posts: 109,778
Kudos: 810,789
 [1]
Kudos
Add Kudos
1
Bookmarks
Bookmark this Post
Jayam12
Hi gmatophobia

Needed your help in understanding this concept

https://www.manhattanprep.com/gmat/blog ... tive%20one.

So I read this article on how to deal with square roots in gmat. It says that we do not consider negative values after square root

Why is -(3)^1/2 correct?

Doesn't this question yield only one positive root?
Check the highlighted part below.

­Mathematically, \(\sqrt{...}\) is the square root sign, a function (called the principal square root function), which cannot give negative result. So, this sign (\(\sqrt{...}\)) always means non-negative square root.


The graph of the function f(x) = √x

Notice that it's defined for non-negative numbers and is producing non-negative results.

TO SUMMARIZE:
When the GMAT (and generally in math) provides the square root sign for an even root, such as a square root, fourth root, etc. then the only accepted answer is the non-negative root. That is:

√9 = 3, NOT +3 or -3;
\(\sqrt[4]{16} = 2\), NOT +2 or -2;

Notice that in contrast, the equation x^2 = 9 has TWO solutions, +3 and -3. Because x^2 = 9 means that x =-√9 =-3 or x = √9 = 3.

Hope it helps.
 ­
User avatar
Purnank
Joined: 05 Jan 2024
Last visit: 23 Apr 2026
Posts: 680
Own Kudos:
614
 [2]
Given Kudos: 167
Location: India
Concentration: General Management, Strategy
GMAT Focus 1: 635 Q88 V76 DI80
Products:
GMAT Focus 1: 635 Q88 V76 DI80
Posts: 680
Kudos: 614
 [2]
2
Kudos
Add Kudos
Bookmarks
Bookmark this Post
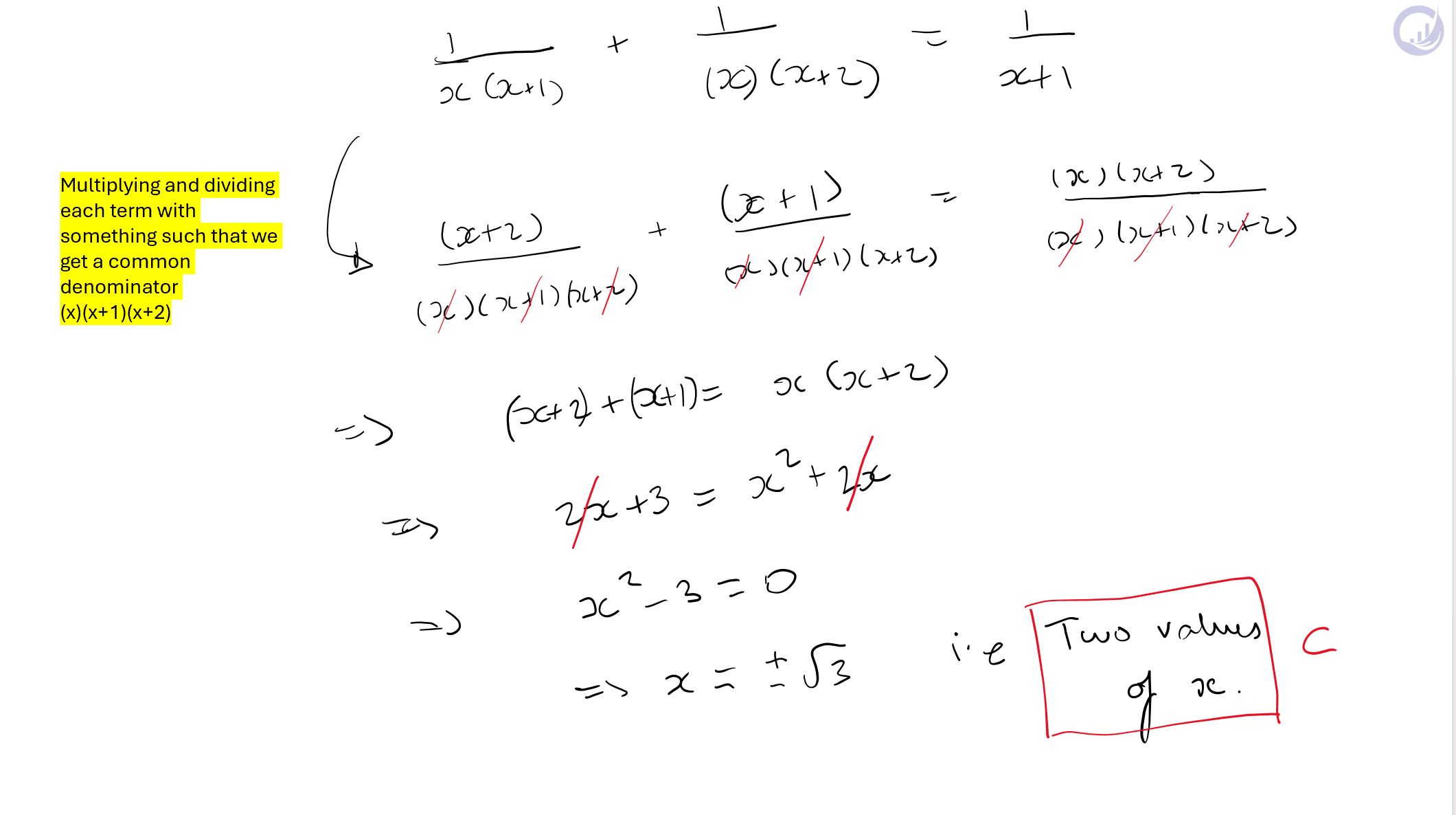
­1/x * ( 1/(x+1)  +  1/(x+2) ) = 1/(x+1)
1/x+1  +  1/x+2 = x/x+1
Simplify,
(x+2+x+1) / (x+1)*(x+2)  = x / x+1
2x+3 / x+2 = x
2x+3 = x^2 + 2x
cancel out 2x
x^2 = 3
take square root 
2 values possible answer C.
 
User avatar
Pr4n
Joined: 23 May 2025
Last visit: 05 Feb 2026
Posts: 92
Own Kudos:
Given Kudos: 43
GMAT Focus 1: 645 Q83 V82 DI80
GMAT Focus 2: 665 Q84 V85 DI80
GMAT Focus 2: 665 Q84 V85 DI80
Posts: 92
Kudos: 11
Kudos
Add Kudos
Bookmarks
Bookmark this Post
If someone solved it the way I did, either they will cut two x's or they will not cut anything solve as it is in which case x=0 could also be a solution but notice that x can't be 0 as then 1/0 will be formed in the original eqn which mathematically isn't correct, hence only 2 solutions.

But if you cut x with each other it is correct for this question as it is an equality and not an inequality so you don't need to worry about the sign, second looking at the denominator we can tell x is not 0 so you can actually cancel the x's which each other and still get the right solution of 2 solutions.

I was confused between 2 & 3 when i face this question in a mock test, so putting this out there for anyone who chose 3 instead of 2, as they found x=0 also a solution when they solved the equation.
User avatar
devdattakhoche
Joined: 16 Feb 2025
Last visit: 18 Jan 2026
Posts: 19
Own Kudos:
Given Kudos: 27
GMAT Focus 1: 615 Q84 V79 DI79
GRE 1: Q164 V151
GMAT Focus 1: 615 Q84 V79 DI79
GRE 1: Q164 V151
Posts: 19
Kudos: 10
Kudos
Add Kudos
Bookmarks
Bookmark this Post
Bunuel, KarishmaB

Is there a faster way to solve this?
It took me ~3.5 minutes because at first glance it looks like I need to take the LCM and expand into a cubic. Only later I noticed the (x + 1) common factor, which reduces it to a quadratic.

But is there a shortcut or a recognition trick so that I don’t start expanding into a cubic in the first place? Any conceptual way to see the simplification earlier, instead of solving everything algebraically?

Looking for a more efficient GMAT-style approach.

Thanks!
User avatar
HarshavardhanR
Joined: 16 Mar 2023
Last visit: 23 Apr 2026
Posts: 488
Own Kudos:
576
 [2]
Given Kudos: 67
Status:Independent GMAT Tutor
Affiliations: Ex - Director, Subject Matter Expertise at e-GMAT
Products:
Expert
Expert reply
Active GMAT Club Expert! Tag them with @ followed by their username for a faster response.
Posts: 488
Kudos: 576
 [2]
2
Kudos
Add Kudos
Bookmarks
Bookmark this Post


---
Harsha
Attachment:
GMAT-Club-Forum-yexvi5bj.png
GMAT-Club-Forum-yexvi5bj.png [ 167.6 KiB | Viewed 3884 times ]
User avatar
devdattakhoche
Joined: 16 Feb 2025
Last visit: 18 Jan 2026
Posts: 19
Own Kudos:
Given Kudos: 27
GMAT Focus 1: 615 Q84 V79 DI79
GRE 1: Q164 V151
GMAT Focus 1: 615 Q84 V79 DI79
GRE 1: Q164 V151
Posts: 19
Kudos: 10
Kudos
Add Kudos
Bookmarks
Bookmark this Post
Good one, this makes more sense.

Thinking in direction that.. we see common terms in denominators , so just need to find suitable multiplication, this helps solve this questions really fast in like 20-25 seconds.
HarshavardhanR


---
Harsha
Attachment:
GMAT-Club-Forum-yexvi5bj.png
User avatar
lawyeroffduty
Joined: 22 May 2024
Last visit: 16 Feb 2026
Posts: 38
Own Kudos:
Given Kudos: 240
Location: India
Concentration: General Management, Strategy
GPA: 8.07
WE:Law (Law)
Products:
Kudos
Add Kudos
Bookmarks
Bookmark this Post
can anyone share more such question of these types, it would be very helpful. thank you in advance.
User avatar
Bunuel
User avatar
Math Expert
Joined: 02 Sep 2009
Last visit: 23 Apr 2026
Posts: 109,778
Own Kudos:
Given Kudos: 105,853
Products:
Expert
Expert reply
Active GMAT Club Expert! Tag them with @ followed by their username for a faster response.
Posts: 109,778
Kudos: 810,789
Kudos
Add Kudos
Bookmarks
Bookmark this Post
User avatar
DishaAgarwal12
Joined: 10 Jun 2022
Last visit: 23 Apr 2026
Posts: 63
Own Kudos:
Given Kudos: 22
Location: India
GPA: 3.91
Products:
Posts: 63
Kudos: 6
Kudos
Add Kudos
Bookmarks
Bookmark this Post
why can't x be 0,-1,-2
User avatar
Bunuel
User avatar
Math Expert
Joined: 02 Sep 2009
Last visit: 23 Apr 2026
Posts: 109,778
Own Kudos:
Given Kudos: 105,853
Products:
Expert
Expert reply
Active GMAT Club Expert! Tag them with @ followed by their username for a faster response.
Posts: 109,778
Kudos: 810,789
Kudos
Add Kudos
Bookmarks
Bookmark this Post
DishaAgarwal12
why can't x be 0,-1,-2
Because for x = 0, -1, or -2, the denominators become zero, so the equation is not defined. Remember, division by 0 is not allowed.
Moderators:
Math Expert
109778 posts
Tuck School Moderator
853 posts