Last visit was: 21 Apr 2026, 11:35 It is currently 21 Apr 2026, 11:35
Close
GMAT Club Daily Prep
Thank you for using the timer - this advanced tool can estimate your performance and suggest more practice questions. We have subscribed you to Daily Prep Questions via email.

Customized
for You

we will pick new questions that match your level based on your Timer History

Track
Your Progress

every week, we’ll send you an estimated GMAT score based on your performance

Practice
Pays

we will pick new questions that match your level based on your Timer History
Not interested in getting valuable practice questions and articles delivered to your email? No problem, unsubscribe here.
Close
Request Expert Reply
Confirm Cancel
avatar
YTT
Joined: 05 Aug 2009
Last visit: 31 Aug 2010
Posts: 5
Own Kudos:
487
 [39]
Posts: 5
Kudos: 487
 [39]
2
Kudos
Add Kudos
37
Bookmarks
Bookmark this Post
Most Helpful Reply
User avatar
Bunuel
User avatar
Math Expert
Joined: 02 Sep 2009
Last visit: 21 Apr 2026
Posts: 109,729
Own Kudos:
Given Kudos: 105,798
Products:
Expert
Expert reply
Active GMAT Club Expert! Tag them with @ followed by their username for a faster response.
Posts: 109,729
Kudos: 810,442
 [25]
5
Kudos
Add Kudos
19
Bookmarks
Bookmark this Post
General Discussion
User avatar
chix475ntu
Joined: 26 May 2005
Last visit: 03 Aug 2011
Posts: 99
Own Kudos:
285
 [4]
Given Kudos: 1
Posts: 99
Kudos: 285
 [4]
1
Kudos
Add Kudos
3
Bookmarks
Bookmark this Post
User avatar
IanStewart
User avatar
GMAT Tutor
Joined: 24 Jun 2008
Last visit: 17 Apr 2026
Posts: 4,143
Own Kudos:
11,267
 [4]
Given Kudos: 99
Expert
Expert reply
Posts: 4,143
Kudos: 11,267
 [4]
2
Kudos
Add Kudos
2
Bookmarks
Bookmark this Post
I like the approach in the post above best for this problem; when you see something like n^2 - 1 in a GMAT question, it will almost always be useful to use the difference of squares factorization: n^2 - 1 = (n+1)(n-1). A less elegant alternative is to write n = 2k + 1. Then n^2 - 1 = (2k + 1)^2 - 1 = 4k^2 + 4k + 1 - 1 = 4k^2 + 4k = 4(k)(k + 1), and since k and k+1 are consecutive integers, one of them must be divisible by 2, so 4(k)(k + 1) must be divisible by 4*2 = 8.

To answer the question in the original post, if n=1, then n^2 - 1 = 0. So the question becomes, what is the remainder when 0 is divided by 8? Well, 0 is divisible by every positive integer; the quotient is zero and the remainder is zero. If you think back to how you first learned division, this should hopefully be clear: if you have, say, 11 apples and 8 children, we can give each child 1 apple and we have 3 left over, so the quotient is 1 and the remainder is 3 when you divide eleven by eight. If we have 0 apples and 8 children, we can give each child 0 apples and we have 0 left over, so the quotient is 0 and the remainder is 0 when we divide zero by eight.
avatar
YTT
Joined: 05 Aug 2009
Last visit: 31 Aug 2010
Posts: 5
Own Kudos:
Posts: 5
Kudos: 487
Kudos
Add Kudos
Bookmarks
Bookmark this Post
Thanks for the great help. :)

But I still feel very confused.
The question is asking "what's the value of r"?
I understand when n is 3,5,7, the r will be 1. However, if n is 1, r will be 0. In this case, we have two answers for r and we can't really tell the exact value for r, right? This is the reason why I don't think the first one work and the answer should be "E". Am I in the right path? :) Thanks for the help again. :)
User avatar
IanStewart
User avatar
GMAT Tutor
Joined: 24 Jun 2008
Last visit: 17 Apr 2026
Posts: 4,143
Own Kudos:
Given Kudos: 99
Expert
Expert reply
Posts: 4,143
Kudos: 11,267
Kudos
Add Kudos
Bookmarks
Bookmark this Post
YTT
Thanks for the great help. :)

But I still feel very confused.
The question is asking "what's the value of r"?
I understand when n is 3,5,7, the r will be 1. However, if n is 1, r will be 0. In this case, we have two answers for r and we can't really tell the exact value for r, right? This is the reason why I don't think the first one work and the answer should be "E". Am I in the right path? :) Thanks for the help again. :)

No, the remainder will be zero for any of the values 1, 3, 5, or 7 (or for any other odd value of n). If, say, n=5, then n^2 - 1 = 25 - 1 = 24, and the remainder when we divide 24 by 8 is zero.
User avatar
enigma123
Joined: 25 Jun 2011
Last visit: 16 Mar 2016
Posts: 392
Own Kudos:
19,844
 [18]
Given Kudos: 217
Status:Finally Done. Admitted in Kellogg for 2015 intake
Location: United Kingdom
Concentration: International Business, Strategy
GMAT 1: 730 Q49 V45
GPA: 2.9
WE:Information Technology (Consulting)
GMAT 1: 730 Q49 V45
Posts: 392
Kudos: 19,844
 [18]
Kudos
Add Kudos
18
Bookmarks
Bookmark this Post
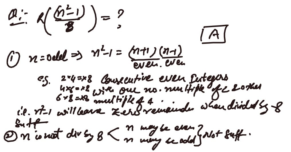
If n is a positive integer and r is the remainder when n^2 - 1 is divided by 8, what is the value of r?

(1) n is odd
(2) n is not divisible by 8



As the OA is not provided this is how I solved this. Please let me know whether I am right or not.

Considering Statement 1

n =1 then remainder will be zero. ----------------> Is my thinking correct over here? If it is then for me this statement is sufficient to answer the question.

Considering statement 2

There will be different values for r and therefore its insufficient.

Therefore, for me the answer should be A unless someone has any other ideas. Please help.
User avatar
Bunuel
User avatar
Math Expert
Joined: 02 Sep 2009
Last visit: 21 Apr 2026
Posts: 109,729
Own Kudos:
Given Kudos: 105,798
Products:
Expert
Expert reply
Active GMAT Club Expert! Tag them with @ followed by their username for a faster response.
Posts: 109,729
Kudos: 810,442
Kudos
Add Kudos
Bookmarks
Bookmark this Post
enigma123
If n is a positive integer and r is the remainder when n^2 - 1 is divided by 8, what is the value of r?
1). n is odd
2). n is not divisible by 8

As the OA is not provided this is how I solved this. Please let me know whether I am right or not.

Considering Statement 1

n =1 then remainder will be zero. ----------------> Is my thinking correct over here? If it is then for me this statement is sufficient to answer the question.

Considering statement 2

There will be different values for r and therefore its insufficient.

Therefore, for me the answer should be A unless someone has any other ideas. Please help.

As you can see from my post above answer is indeed A. But you arrived to A while trying only one value for n, which is not enough. For some other question, different values could give different answers and a statement would be insufficient in that case. What I mean is, when you decide that a statement is sufficient based only on plug-in method you should make sure that you tried several different numbers (and saw some pattern maybe), and even in this case you may not be 100% sure that the answer would be correct. Though if several numbers give the same answer and you are able to see some pattern, then you can make an educated guess that a statement is sufficient and move-on.

Generally on DS questions when plugging numbers, your goal is to prove that the statement is not sufficient. So you should try to get an YES answer with one chosen number(s) and a NO with another.

Hope it's clear.
User avatar
enigma123
Joined: 25 Jun 2011
Last visit: 16 Mar 2016
Posts: 392
Own Kudos:
Given Kudos: 217
Status:Finally Done. Admitted in Kellogg for 2015 intake
Location: United Kingdom
Concentration: International Business, Strategy
GMAT 1: 730 Q49 V45
GPA: 2.9
WE:Information Technology (Consulting)
GMAT 1: 730 Q49 V45
Posts: 392
Kudos: 19,844
Kudos
Add Kudos
Bookmarks
Bookmark this Post
Bunuel - its clear apart from one minor doubt. In statement 1 why can't we take n =1 ?
User avatar
Bunuel
User avatar
Math Expert
Joined: 02 Sep 2009
Last visit: 21 Apr 2026
Posts: 109,729
Own Kudos:
810,442
 [1]
Given Kudos: 105,798
Products:
Expert
Expert reply
Active GMAT Club Expert! Tag them with @ followed by their username for a faster response.
Posts: 109,729
Kudos: 810,442
 [1]
1
Kudos
Add Kudos
Bookmarks
Bookmark this Post
enigma123
Bunuel - its clear apart from one minor doubt. In statement 1 why can't we take n =1 ?

Actually we can. Solution above does not exclude this possibility: n=1=odd then n^2-1=0 and zero is divisible by any integer (except zero itself), so it's divisible by 8 too. Sufficient.

The point is that you arrived that (1) is sufficient based only on one value of n, n=1. And as I discussed above one value is not enough to conclude that the statement is sufficient.

Hope it helps.
User avatar
GMATinsight
User avatar
Major Poster
Joined: 08 Jul 2010
Last visit: 21 Apr 2026
Posts: 6,976
Own Kudos:
Given Kudos: 128
Status:GMAT/GRE Tutor l Admission Consultant l On-Demand Course creator
Location: India
GMAT: QUANT+DI EXPERT
Schools: IIM (A) ISB '24
GMAT 1: 750 Q51 V41
WE:Education (Education)
Products:
Expert
Expert reply
Schools: IIM (A) ISB '24
GMAT 1: 750 Q51 V41
Posts: 6,976
Kudos: 16,891
Kudos
Add Kudos
Bookmarks
Bookmark this Post
YTT
If n is a positive integer and r is the remainder when n^2 - 1 is divided by 8, what is the value of r?

(1) n is odd
(2) n is not divisible by 8

Could anyone explain to me why the number 1 would work in the first situation? I understand why 3, 5, 7 or others work. But why 1 works, too? Thank you so much for this great help!!


Please check the solution in the file attached
Attachments

File comment: www.GMATinsight.com
SOL.jpg
SOL.jpg [ 124.97 KiB | Viewed 18431 times ]

User avatar
BrentGMATPrepNow
User avatar
Major Poster
Joined: 12 Sep 2015
Last visit: 31 Oct 2025
Posts: 6,733
Own Kudos:
36,440
 [1]
Given Kudos: 799
Location: Canada
Expert
Expert reply
Posts: 6,733
Kudos: 36,440
 [1]
1
Kudos
Add Kudos
Bookmarks
Bookmark this Post
enigma123
If n is a positive integer and r is the remainder when n^2 - 1 is divided by 8, what is the value of r?

(1) n is odd
(2) n is not divisible by 8

Given: r is the remainder when (n² - 1) is divided by 8

Target question: What is the value of r?

Statement 1: n is odd
Let's test some ODD values of n
If n = 1, then n² - 1 = 1² - 1 = 0, and 0 divided by 8 leaves remainder 0. So, the answer to the target question is r = 0
If n = 3, then n² - 1 = 3² - 1 = 8, and 8 divided by 8 leaves remainder 0. So, the answer to the target question is r = 0
If n = 5, then n² - 1 = 5² - 1 = 24, and 24 divided by 8 leaves remainder 0. So, the answer to the target question is r = 0
If n = 7, then n² - 1 = 7² - 1 = 48, and 0 divided by 8 leaves remainder 0. So, the answer to the target question is r = 0
At this point, we might conclude that r will ALWAYS be 0
So, statement 1 is SUFFICIENT

----ASIDE--------------------------------
If you're not convinced, here's an algebraic solution as well:
If n is ODD, then n = 2k + 1 (for some integer value of k)
So, n² - 1 = (2k + 1)² - 1 = 4k² + 4k + 1 - 1 = 4k² + 4k = 4(k² + k)

Notice that, if k is odd, then k² + k is EVEN, which means k² + k = 2 times some integer
So, n² - 1 = 4(k² + k) = 4(2 times some integer) = 8 times some integer
In other words, n² - 1 is a multiple of 8, which means the answer to the target question is r = 0

Similarly, if k is even, then k² + k is EVEN, which means k² + k = 2 times some integer
So, n² - 1 = 4(k² + k) = 4(2 times some integer) = 8 times some integer
In other words, n² - 1 is a multiple of 8, which means the answer to the target question is r = 0

In both cases, the answer to the target question is r = 0
Since we can answer the target question with certainty, statement 1 is SUFFICIENT
------------------------------------------

Statement 2: n is not divisible by 8
There are several values of n that satisfy statement 2. Here are two:
Case a: n = 3. In this case, n² - 1 = 3² - 1 = 8, and 8 divided by 8 leaves remainder 0. So, the answer to the target question is r = 0
Case b: n = 4. In this case, n² - 1 = 4² - 1 = 15, and 15 divided by 8 leaves remainder 7. So, the answer to the target question is r = 7
Since we cannot answer the target question with certainty, statement 2 is NOT SUFFICIENT

Answer: A

Cheers,
Brent
User avatar
Kinshook
User avatar
Major Poster
Joined: 03 Jun 2019
Last visit: 21 Apr 2026
Posts: 5,986
Own Kudos:
Given Kudos: 163
Location: India
GMAT 1: 690 Q50 V34
WE:Engineering (Transportation)
Products:
GMAT 1: 690 Q50 V34
Posts: 5,986
Kudos: 5,855
Kudos
Add Kudos
Bookmarks
Bookmark this Post
YTT
If n is a positive integer and r is the remainder when n^2 - 1 is divided by 8, what is the value of r?

(1) n is odd
(2) n is not divisible by 8

Could anyone explain to me why the number 1 would work in the first situation? I understand why 3, 5, 7 or others work. But why 1 works, too? Thank you so much for this great help!!

Asked: If n is a positive integer and r is the remainder when n^2 - 1 is divided by 8, what is the value of r?

(1) n is odd
n = 2m + 1
n^2 - 1 = (2m+1)^2 - 1 = 4m^2 + 4m = 4m(m+1)
The remainder when n^2 - 1 is divided by 8 = 0 = r
SUFFICIENT

(2) n is not divisible by 8
If n= 5; n^2 - 1 = 24; r = 0
If n=6; n^2 - 1 = 35; r = 3
NOT SUFFICIENT

IMO A
avatar
SohamS
Joined: 24 Apr 2020
Last visit: 29 Mar 2021
Posts: 6
Given Kudos: 7
Posts: 6
Kudos: 0
Kudos
Add Kudos
Bookmarks
Bookmark this Post
Bunuel
If n is a positive integer and r is the remainder when n^2 - 1 is divided by 8, what is the value of r?

n^2-1=(n-1)(n+1)

(1) n is odd --> both n-1 and n+1 are even. Moreover, they are consecutive even integers thus one of them is divisible by 4 too. Now, as one is divisible by 2 and another by 4 then (n-1)(n+1) is divisible by 2*4=8. Sufficient.

(2) n is not divisible by 8 --> try n=1 to get an YES answer and n=2 to get a NO answer. Not sufficient.

Answer: A.

Hi,
What if n = 1, n-1 = 0, n+1 = 2? So how will (n-1)(n+1) be divisible by 8?
User avatar
Bunuel
User avatar
Math Expert
Joined: 02 Sep 2009
Last visit: 21 Apr 2026
Posts: 109,729
Own Kudos:
Given Kudos: 105,798
Products:
Expert
Expert reply
Active GMAT Club Expert! Tag them with @ followed by their username for a faster response.
Posts: 109,729
Kudos: 810,442
Kudos
Add Kudos
Bookmarks
Bookmark this Post
SohamS
Bunuel
If n is a positive integer and r is the remainder when n^2 - 1 is divided by 8, what is the value of r?

n^2-1=(n-1)(n+1)

(1) n is odd --> both n-1 and n+1 are even. Moreover, they are consecutive even integers thus one of them is divisible by 4 too. Now, as one is divisible by 2 and another by 4 then (n-1)(n+1) is divisible by 2*4=8. Sufficient.

(2) n is not divisible by 8 --> try n=1 to get an YES answer and n=2 to get a NO answer. Not sufficient.

Answer: A.

Hi,
What if n = 1, n-1 = 0, n+1 = 2? So how will (n-1)(n+1) be divisible by 8?

Yes.

Zero is divisible by every integer (except zero itself, as division by zero is not allowed).

Integer \(a\) is divisible by integer \(b\) means that \(\frac{a}{b}=integer\) (so remainder is zero).

So, as 0/(any non-zero integer) = 0 = integer, then 0 is divisible by any non-zero integer, including 8.
User avatar
Biswajeet1930
Joined: 07 Nov 2024
Last visit: 04 Aug 2025
Posts: 6
Given Kudos: 17
Posts: 6
Kudos: 0
Kudos
Add Kudos
Bookmarks
Bookmark this Post
0exactly, thats what i was thinkin off


YTT
Thanks for the great help. :)

But I still feel very confused.
The question is asking "what's the value of r"?
I understand when n is 3,5,7, the r will be 1. However, if n is 1, r will be 0. In this case, we have two answers for r and we can't really tell the exact value for r, right? This is the reason why I don't think the first one work and the answer should be "E". Am I in the right path? :) Thanks for the help again. :)
User avatar
ablatt4
Joined: 18 Dec 2024
Last visit: 24 Sep 2025
Posts: 88
Own Kudos:
Given Kudos: 89
Location: United States (FL)
Concentration: Finance
Posts: 88
Kudos: 3
Kudos
Add Kudos
Bookmarks
Bookmark this Post
Formula is simple enough you can just solve from 3 through 9 in like 75 seconds tops, all the odd squares will have no remainder so A
YTT
If n is a positive integer and r is the remainder when n^2 - 1 is divided by 8, what is the value of r?

(1) n is odd
(2) n is not divisible by 8

Could anyone explain to me why the number 1 would work in the first situation? I understand why 3, 5, 7 or others work. But why 1 works, too? Thank you so much for this great help!!
Moderators:
Math Expert
109729 posts
498 posts
211 posts