Last visit was: 26 Apr 2026, 15:35 It is currently 26 Apr 2026, 15:35
Close
GMAT Club Daily Prep
Thank you for using the timer - this advanced tool can estimate your performance and suggest more practice questions. We have subscribed you to Daily Prep Questions via email.

Customized
for You

we will pick new questions that match your level based on your Timer History

Track
Your Progress

every week, we’ll send you an estimated GMAT score based on your performance

Practice
Pays

we will pick new questions that match your level based on your Timer History
Not interested in getting valuable practice questions and articles delivered to your email? No problem, unsubscribe here.
Close
Request Expert Reply
Confirm Cancel
Sub 505 (Easy)|   Must or Could be True|   Number Properties|                              
User avatar
Bunuel
User avatar
Math Expert
Joined: 02 Sep 2009
Last visit: 26 Apr 2026
Posts: 109,910
Own Kudos:
Given Kudos: 105,897
Products:
Expert
Expert reply
Active GMAT Club Expert! Tag them with @ followed by their username for a faster response.
Posts: 109,910
Kudos: 811,439
 [21]
6
Kudos
Add Kudos
15
Bookmarks
Bookmark this Post
User avatar
Bunuel
User avatar
Math Expert
Joined: 02 Sep 2009
Last visit: 26 Apr 2026
Posts: 109,910
Own Kudos:
811,439
 [5]
Given Kudos: 105,897
Products:
Expert
Expert reply
Active GMAT Club Expert! Tag them with @ followed by their username for a faster response.
Posts: 109,910
Kudos: 811,439
 [5]
2
Kudos
Add Kudos
2
Bookmarks
Bookmark this Post
avatar
bhavinshah5685
Joined: 25 Jun 2012
Last visit: 19 Jun 2017
Posts: 49
Own Kudos:
321
 [3]
Given Kudos: 21
Location: India
WE:General Management (Energy)
Posts: 49
Kudos: 321
 [3]
2
Kudos
Add Kudos
1
Bookmarks
Bookmark this Post
User avatar
fameatop
Joined: 24 Aug 2009
Last visit: 09 Jun 2017
Posts: 382
Own Kudos:
2,550
 [2]
Given Kudos: 275
Concentration: Finance
Schools:Harvard, Columbia, Stern, Booth, LSB,
Posts: 382
Kudos: 2,550
 [2]
2
Kudos
Add Kudos
Bookmarks
Bookmark this Post
Answer C

Any integer multiplied by an even number will always yield Even integer.
User avatar
dexerash
Joined: 12 Mar 2012
Last visit: 05 Sep 2019
Posts: 76
Own Kudos:
116
 [3]
Given Kudos: 17
Location: India
Concentration: Technology, General Management
GMAT Date: 07-23-2012
WE:Programming (Telecommunications)
Posts: 76
Kudos: 116
 [3]
3
Kudos
Add Kudos
Bookmarks
Bookmark this Post
Bunuel


If n is an integer, which of the following must be even?

(A) n+1
(B) n+2
(C) 2n
(D) 2n +1
(E) n^2



Since n is an integer, it can be EVEN or ODD.
But any integer when multiplied by 2 is even.
For example, 3 * 2 = 6 (even)
The rule is: EVEN * ODD = EVEN
EVEN * EVEN = EVEN
ODD * ODD = ODD

A) we cant say as it depends if n is odd or even
B) same as A)
C) Even as n is multiplied by 2
D) It is ODD as EVEN+1 = ODD
E) depends if n is even or odd.

Hence C
avatar
momentofzen
Joined: 24 May 2014
Last visit: 30 Jun 2014
Posts: 4
Own Kudos:
3
 [1]
Posts: 4
Kudos: 3
 [1]
1
Kudos
Add Kudos
Bookmarks
Bookmark this Post
I thought that an integer could be 0. If that is the case, then 2*(0), would equal 0, which is not equal an even number. Thus, it does not answer the question. Can someone please clarify? Thanks.
avatar
akhilm
Joined: 30 Jan 2013
Last visit: 13 Mar 2017
Posts: 1
Given Kudos: 1
Posts: 1
Kudos: 0
Kudos
Add Kudos
Bookmarks
Bookmark this Post
Answer: C
Any integer multiplied by an even number will always result in an Even integer.
avatar
momentofzen
Joined: 24 May 2014
Last visit: 30 Jun 2014
Posts: 4
Own Kudos:
3
 [1]
Posts: 4
Kudos: 3
 [1]
1
Kudos
Add Kudos
Bookmarks
Bookmark this Post
Can you please clarify. My understanding is that 0 is an integer. If that the case you cant say any integer multiplied by an even number equals an even number. Because 0 multiplied by an even number equals 0, which is not an even number.

Im wondering if this question is erroneous. Shouldnt the question state any "if n is a positive or negative integer..."?
User avatar
Bunuel
User avatar
Math Expert
Joined: 02 Sep 2009
Last visit: 26 Apr 2026
Posts: 109,910
Own Kudos:
811,439
 [2]
Given Kudos: 105,897
Products:
Expert
Expert reply
Active GMAT Club Expert! Tag them with @ followed by their username for a faster response.
Posts: 109,910
Kudos: 811,439
 [2]
Kudos
Add Kudos
2
Bookmarks
Bookmark this Post
momentofzen
Can you please clarify. My understanding is that 0 is an integer. If that the case you cant say any integer multiplied by an even number equals an even number. Because 0 multiplied by an even number equals 0, which is not an even number.

Im wondering if this question is erroneous. Shouldnt the question state any "if n is a positive or negative integer..."?

Zero is an even integer. Zero is nether positive nor negative, but zero is definitely an even number.

An even number is an integer that is "evenly divisible" by 2, i.e., divisible by 2 without a remainder and as zero is evenly divisible by 2 then it must be even (in fact zero is divisible by every integer except zero itself).

I think you should brush-up fundamentals on Number Theory: math-number-theory-88376.html

All DS Number Properties Problems to practice: search.php?search_id=tag&tag_id=38
All PS Number Properties Problems to practice: search.php?search_id=tag&tag_id=59

Hope it helps.
avatar
momentofzen
Joined: 24 May 2014
Last visit: 30 Jun 2014
Posts: 4
Own Kudos:
3
 [1]
Posts: 4
Kudos: 3
 [1]
1
Kudos
Add Kudos
Bookmarks
Bookmark this Post
Thank you! I did not realize 0 was considered an even number. Appreciate it. Cheers.
User avatar
mcelroytutoring
Joined: 10 Jul 2015
Last visit: 19 Mar 2026
Posts: 1,206
Own Kudos:
Given Kudos: 282
Status:Expert GMAT, GRE, and LSAT Tutor / Coach
Affiliations: Harvard University, A.B. with honors in Government, 2002
Location: United States (CO)
Age: 45 (10 years and counting on GMAT Club!)
GMAT 1: 770 Q47 V48
GMAT 2: 730 Q44 V47
GMAT 3: 750 Q50 V42
GMAT 4: 730 Q48 V42 (Online)
GRE 1: Q168 V169
GRE 2: Q170 V170
Expert
Expert reply
GMAT 4: 730 Q48 V42 (Online)
GRE 1: Q168 V169
GRE 2: Q170 V170
Posts: 1,206
Kudos: 2,675
Kudos
Add Kudos
Bookmarks
Bookmark this Post
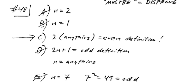
Attached is a visual that should help.
Attachments

Screen Shot 2016-05-10 at 5.49.39 PM.png
Screen Shot 2016-05-10 at 5.49.39 PM.png [ 53.73 KiB | Viewed 75856 times ]

User avatar
JeffTargetTestPrep
User avatar
Target Test Prep Representative
Joined: 04 Mar 2011
Last visit: 05 Jan 2024
Posts: 2,974
Own Kudos:
8,715
 [1]
Given Kudos: 1,646
Status:Head GMAT Instructor
Affiliations: Target Test Prep
Expert
Expert reply
Posts: 2,974
Kudos: 8,715
 [1]
1
Kudos
Add Kudos
Bookmarks
Bookmark this Post
Bunuel
If n is an integer, which of the following must be even?

(A) n+1
(B) n+2
(C) 2n
(D) 2n +1
(E) n^2

To solve this question, we need to consider a few odd/even rules.

1) (even + even) or (odd + odd) = even

2) even + odd = odd

3) (even x even) or (even x odd) = even (Note that an even integer times any integer, whether even or odd, will yield an even answer for the product.)

4) odd x odd = odd

Doing a quick scan of our answer choices allows us to select C as the correct option. Regardless whether n is even or odd, 2 (which is even) times any integer will always be even.

The answer is C.
User avatar
Abhishek009
User avatar
Board of Directors
Joined: 11 Jun 2011
Last visit: 17 Dec 2025
Posts: 5,902
Own Kudos:
Given Kudos: 463
Status:QA & VA Forum Moderator
Location: India
GPA: 3.5
WE:Business Development (Commercial Banking)
Posts: 5,902
Kudos: 5,456
Kudos
Add Kudos
Bookmarks
Bookmark this Post
Bunuel
If n is an integer, which of the following must be even?

(A) n+1
(B) n+2
(C) 2n
(D) 2n +1
(E) n^2

Practice Questions
Question: 44
Page: 158
Difficulty: 550

Use the property of Even Numbers !!

A number is even if it is divisible by 2, among the options given only (C) matches...

So, Answer will be (C)

IF you want to check you can -

n = 2

2n = 4

If n = 3

2n = 6

Thus answer is (C)
User avatar
kamranko
Joined: 20 Oct 2015
Last visit: 23 Apr 2017
Posts: 29
Own Kudos:
Given Kudos: 8
Posts: 29
Kudos: 5
Kudos
Add Kudos
Bookmarks
Bookmark this Post
Bunuel
If n is an integer, which of the following must be even?

(A) n+1
(B) n+2
(C) 2n
(D) 2n +1
(E) n^2

Practice Questions
Question: 44
Page: 158
Difficulty: 550



I think you forgot about zero :!: :?:
In one of the prep author considered "0" neither even nor odd. if we consider "0", which I assume is not, as an even number it would be C
User avatar
Bunuel
User avatar
Math Expert
Joined: 02 Sep 2009
Last visit: 26 Apr 2026
Posts: 109,910
Own Kudos:
811,439
 [1]
Given Kudos: 105,897
Products:
Expert
Expert reply
Active GMAT Club Expert! Tag them with @ followed by their username for a faster response.
Posts: 109,910
Kudos: 811,439
 [1]
Kudos
Add Kudos
1
Bookmarks
Bookmark this Post
kamranko
Bunuel
If n is an integer, which of the following must be even?

(A) n+1
(B) n+2
(C) 2n
(D) 2n +1
(E) n^2

Practice Questions
Question: 44
Page: 158
Difficulty: 550



I think you forgot about zero :!: :?:
In one of the prep author considered "0" neither even nor odd. if we consider "0", which I assume is not, as an even number it would be C

ZERO:

1. 0 is an integer.

2. 0 is an even integer. An even number is an integer that is "evenly divisible" by 2, i.e., divisible by 2 without a remainder and as zero is evenly divisible by 2 then it must be even.

3. 0 is neither positive nor negative integer (the only one of this kind).

4. 0 is divisible by EVERY integer except 0 itself.

Check more here: number-properties-tips-and-hints-174996.html
User avatar
stonecold
Joined: 12 Aug 2015
Last visit: 09 Apr 2024
Posts: 2,231
Own Kudos:
Given Kudos: 893
GRE 1: Q169 V154
GRE 1: Q169 V154
Posts: 2,231
Kudos: 3,644
Kudos
Add Kudos
Bookmarks
Bookmark this Post
Here as n is an integer -> n can be even or odd
Notice that 2n is always even

Hence C
Additionally 2n+1 is always odd and n and n^2 will have same even/odd nature
User avatar
Abhishek009
User avatar
Board of Directors
Joined: 11 Jun 2011
Last visit: 17 Dec 2025
Posts: 5,902
Own Kudos:
Given Kudos: 463
Status:QA & VA Forum Moderator
Location: India
GPA: 3.5
WE:Business Development (Commercial Banking)
Posts: 5,902
Kudos: 5,456
Kudos
Add Kudos
Bookmarks
Bookmark this Post
Bunuel
If n is an integer, which of the following must be even?

(A) n+1
(B) n+2
(C) 2n
(D) 2n +1
(E) n^2

Since, n is even , n = 2k

Thus, Only 2n = 4k

Or, Answer will be (C) 2n
avatar
Shiv2016
Joined: 02 Sep 2016
Last visit: 14 Aug 2024
Posts: 509
Own Kudos:
Given Kudos: 277
Posts: 509
Kudos: 215
Kudos
Add Kudos
Bookmarks
Bookmark this Post
"MUST BE": Condition is always true in all the possible cases.

A number multiplied by 2 is always even. Thus the answer is 2n.

If n is odd (e.g. 3), 2n=2*3=6
If n is even (e.g. 2), 2n=2*2=4
User avatar
nkmungila
Joined: 07 Jun 2017
Last visit: 02 Jul 2019
Posts: 109
Own Kudos:
Given Kudos: 60
Location: India
Concentration: Technology, General Management
GMAT 1: 660 Q46 V38
GPA: 3.6
WE:Information Technology (Computer Software)
Products:
GMAT 1: 660 Q46 V38
Posts: 109
Kudos: 914
Kudos
Add Kudos
Bookmarks
Bookmark this Post
any integer multiply by even number yields with Even integer,
here 2 is a even integer, hence it should be yield with Even number
hence answer should be 2n
Answer C
avatar
anshul1989
Joined: 15 Oct 2016
Last visit: 26 Feb 2019
Posts: 7
Own Kudos:
6
 [1]
Given Kudos: 44
Posts: 7
Kudos: 6
 [1]
1
Kudos
Add Kudos
Bookmarks
Bookmark this Post
Any integer multiplied by an even number will always yield Even integer.

n=1 => 2n = 2 =>even
n=2 => 2n = 4 => even

hence, correct option is C
 1   2   
Moderators:
Math Expert
109910 posts
Tuck School Moderator
852 posts