Last visit was: 21 Apr 2026, 05:50 It is currently 21 Apr 2026, 05:50
Close
GMAT Club Daily Prep
Thank you for using the timer - this advanced tool can estimate your performance and suggest more practice questions. We have subscribed you to Daily Prep Questions via email.

Customized
for You

we will pick new questions that match your level based on your Timer History

Track
Your Progress

every week, we’ll send you an estimated GMAT score based on your performance

Practice
Pays

we will pick new questions that match your level based on your Timer History
Not interested in getting valuable practice questions and articles delivered to your email? No problem, unsubscribe here.
Close
Request Expert Reply
Confirm Cancel
User avatar
japped187
Joined: 21 Mar 2007
Last visit: 02 Jun 2008
Posts: 52
Own Kudos:
685
 [193]
Posts: 52
Kudos: 685
 [193]
12
Kudos
Add Kudos
181
Bookmarks
Bookmark this Post
Most Helpful Reply
User avatar
Bunuel
User avatar
Math Expert
Joined: 02 Sep 2009
Last visit: 21 Apr 2026
Posts: 109,722
Own Kudos:
Given Kudos: 105,797
Products:
Expert
Expert reply
Active GMAT Club Expert! Tag them with @ followed by their username for a faster response.
Posts: 109,722
Kudos: 810,381
 [70]
42
Kudos
Add Kudos
27
Bookmarks
Bookmark this Post
User avatar
abhijit_sen
Joined: 10 Sep 2007
Last visit: 10 May 2015
Posts: 456
Own Kudos:
958
 [11]
GMAT 1: 690 Q50 V34
Posts: 456
Kudos: 958
 [11]
8
Kudos
Add Kudos
3
Bookmarks
Bookmark this Post
General Discussion
User avatar
rohitgoel15
Joined: 07 Nov 2009
Last visit: 29 Jan 2018
Posts: 184
Own Kudos:
3,245
 [3]
Given Kudos: 20
Schools: HEC '15 (A)
Posts: 184
Kudos: 3,245
 [3]
3
Kudos
Add Kudos
Bookmarks
Bookmark this Post
japped187
If w, x, y, and z are integers such that w/x and y/z are integers, is w/x + w/z odd?

(1) wx + yz is odd
(2) wz + xy is odd

IMO A is also satisfactory ....
wx + yz is odd

Case 1
wx is odd & yz is even
wx is odd ==> w & x are odd (odd*odd = odd) ==> w/x is odd
yz is even ==> There can be 3 cases
y is even and z is odd = Not possible as we are given y/z is integer
y is odd and z is even = Not possible as we are given y/z is integer
y is even and z is even = Possible ==> y/z is even
w/x (odd) + y/z (even) = Odd

Case 2
wx is even & yz is odd can be proved in a similar manner.

Please advice if i am wrong.
User avatar
rohitgoel15
Joined: 07 Nov 2009
Last visit: 29 Jan 2018
Posts: 184
Own Kudos:
3,245
 [1]
Given Kudos: 20
Schools: HEC '15 (A)
Posts: 184
Kudos: 3,245
 [1]
1
Kudos
Add Kudos
Bookmarks
Bookmark this Post
Hi Bunuel,

I agree with ur exp .. but is there a problem with my algebraic method ?
User avatar
fameatop
Joined: 24 Aug 2009
Last visit: 09 Jun 2017
Posts: 382
Own Kudos:
2,550
 [6]
Given Kudos: 275
Concentration: Finance
Schools:Harvard, Columbia, Stern, Booth, LSB,
Posts: 382
Kudos: 2,550
 [6]
6
Kudos
Add Kudos
Bookmarks
Bookmark this Post
Other way to look at the problem

As w/x is integer we can say w=xa+0 , where a= any integer------> xa/x = a
Same way y/z is integer we can say y=zb+0 , where b= any integer------->zb/z = b

So the basically the question is, "Is a+b Odd"

1) wx + yz ----> x^2a + z^2b = odd------> a+b may be or may not be odd ---> Insufficient
2) wz + yx -----> xza + xzb ----> xz(a+b) = odd--->it means that both xz & (a+b) are odd ---->Sufficient

Answer B

Hope it helps.
User avatar
Vips0000
User avatar
Current Student
Joined: 15 Sep 2012
Last visit: 02 Feb 2016
Posts: 521
Own Kudos:
1,313
 [2]
Given Kudos: 23
Status:Done with formalities.. and back..
Location: India
Concentration: Strategy, General Management
Schools: Olin - Wash U - Class of 2015
WE:Information Technology (Computer Software)
Products:
Schools: Olin - Wash U - Class of 2015
Posts: 521
Kudos: 1,313
 [2]
2
Kudos
Add Kudos
Bookmarks
Bookmark this Post
rohitgoel15

IMO A is also satisfactory ....
wx + yz is odd

Case 1
wx is odd & yz is even
wx is odd ==> w & x are odd (odd*odd = odd) ==> w/x is odd
yz is even ==> There can be 3 cases
y is even and z is odd = Not possible as we are given y/z is integer
y is odd and z is even = Not possible as we are given y/z is integer
y is even and z is even = Possible ==> y/z is even
w/x (odd) + y/z (even) = Odd

Case 2
wx is even & yz is odd can be proved in a similar manner.

Please advice if i am wrong.

rohitgoel15
Hi Bunuel,

I agree with ur exp .. but is there a problem with my algebraic method ?

Yes there is a problem in statement:
y is even and z is odd = Not possible as we are given y/z is integer
Even/Odd can be integer, Consider eg Y=6 , z=3.. Hence that solution is incorrect.
avatar
heirapparent
Joined: 17 Jul 2013
Last visit: 19 Dec 2013
Posts: 5
Own Kudos:
6
 [1]
Given Kudos: 7
Location: United States
Concentration: Operations, Strategy
GPA: 3.18
WE:Engineering (Telecommunications)
1
Kudos
Add Kudos
Bookmarks
Bookmark this Post
St 2 can also be proved in the following way.

w/x + y/z = something

=> (wz+xy)/xz = something
=> wz+xy = A -----------------------> Is xz*something odd ??

As per st 2 , wz+xy = odd .

Hence B

Hope there are no loopholes in my understanding.


Cheers :evil:
User avatar
kumar23badgujar
Joined: 20 Mar 2013
Last visit: 13 Aug 2013
Posts: 9
Own Kudos:
39
 [4]
Given Kudos: 1
Posts: 9
Kudos: 39
 [4]
3
Kudos
Add Kudos
1
Bookmarks
Bookmark this Post
Hi All,

Problem helps us to understand the following:
For \(\frac{w}{x}\) to be an integer, both w and x need to be either even or odd. Same is the case with y and z, both either need to be even or odd.
We need, w/x + y/z to be of the following format:

ODD + EVEN, so of the two terms, one of them has to be even and the other to be odd.

Now, lets look the statements..

Statement (1): \(wx+yz\) is odd

From this statement we can deduce that either wx is odd and yz is even OR wx is even and yz is odd. Lets assume that wx is odd and yz is even. For the term wx to be odd and w/x to be an integer, both w and x needs to be odd.
However, even though yz is even since both y and z are even, it doesn't guarantee that y/z will be even. (6/2 = 3)

So from statement 1, what we get is ODD + EVEN/ODD, hence not sufficient.

Statement (2): \(wz+yx\) is odd

We can simply multiply and divide by xz as below:

(w/x + y/z) * xz = ODD

Now since we know that only ODD * ODD = ODD, we can be certain that w/x + y/z is odd, hence sufficient.

So my response, B
User avatar
Paris75
Joined: 26 Aug 2013
Last visit: 22 Jul 2024
Posts: 126
Own Kudos:
137
 [1]
Given Kudos: 401
Status:Student
Location: France
Concentration: Finance, General Management
Schools: EMLYON FT'16
GMAT 1: 650 Q47 V32
GPA: 3.44
Schools: EMLYON FT'16
GMAT 1: 650 Q47 V32
Posts: 126
Kudos: 137
 [1]
1
Kudos
Add Kudos
Bookmarks
Bookmark this Post
HI,

Just for further discussion,

if AB is odd, is A/B also odd? What is the rule on this type of construction?

Thanks
User avatar
Bunuel
User avatar
Math Expert
Joined: 02 Sep 2009
Last visit: 21 Apr 2026
Posts: 109,722
Own Kudos:
Given Kudos: 105,797
Products:
Expert
Expert reply
Active GMAT Club Expert! Tag them with @ followed by their username for a faster response.
Posts: 109,722
Kudos: 810,381
Kudos
Add Kudos
Bookmarks
Bookmark this Post
Paris75
HI,

Just for further discussion,

if AB is odd, is A/B also odd? What is the rule on this type of construction?

Thanks

You could try some examples to answer your own question.

For integers a and b, ab is odd only if both are odd. Now, odd/odd can be odd or not an integer at all. For example, 3/1=3=odd but 1/3 is not an integer at all.
User avatar
SVaidyaraman
Joined: 17 Dec 2012
Last visit: 11 Jul 2025
Posts: 566
Own Kudos:
1,833
 [1]
Given Kudos: 20
Location: India
Expert
Expert reply
Posts: 566
Kudos: 1,833
 [1]
1
Kudos
Add Kudos
Bookmarks
Bookmark this Post
japped187
If w, x, y and z are integers such that w/x and y/z are integers, is w/x + y/z odd?

(1) wx + yz is odd
(2) wz + yx is odd


Plug in approach requiring minimal thinking:

Take the case that is to be proved i.e, w/x + y/z is odd and then take the contrary case i.e, w/x + y/z is even for both the statements

(i) Case to be proved : wx+ yz is odd and w/x + y/z is odd.

The former is satisfied by odd + even and the latter again by odd+ even

Thus this will be satisfied say, if the following is satisfied: wx and w/x are both odd and y/z and yz are both even. an example is w=15 , x=3 and y=4 and z=2

How about the contrary case for (i). i.e., wx+ yz is odd but w/x + y/z is even.

The former is satisfied by odd+ even and the latter by odd+odd or even +even

This will be satisfied say, if wx and w/x are both odd and yz is even and y/z is odd. An example is w=9 x=3 and y=6 z=2

since the case to be proved and the contrary are both satisfied (i) is not sufficient

(ii) Case to be proved: wz+yx is odd and w/x and y/z is odd

The former is satisfied by odd+ even and the latter again by odd+ even

Thus this will be satisfied say, if the following is satisfied: wz and w/x are both odd and y/z and yx are both even. an example is w=15 , x=3 and y=12 and z=1

How about the contrary case for (i). i.e., wx+ yz is odd but w/x + y/z is even.

The former is satisfied by odd+ even and the latter by odd+odd or even +even

This will be satisfied say, if wz and w/x are both odd and yx is even and y/z is odd.

We find this cannot be satisfied

Since the contrary case cannot be proved for (ii) , this alone is sufficient and the answer is B.
User avatar
GMATinsight
User avatar
Major Poster
Joined: 08 Jul 2010
Last visit: 19 Apr 2026
Posts: 6,976
Own Kudos:
16,890
 [2]
Given Kudos: 128
Status:GMAT/GRE Tutor l Admission Consultant l On-Demand Course creator
Location: India
GMAT: QUANT+DI EXPERT
Schools: IIM (A) ISB '24
GMAT 1: 750 Q51 V41
WE:Education (Education)
Products:
Expert
Expert reply
Schools: IIM (A) ISB '24
GMAT 1: 750 Q51 V41
Posts: 6,976
Kudos: 16,890
 [2]
1
Kudos
Add Kudos
1
Bookmarks
Bookmark this Post
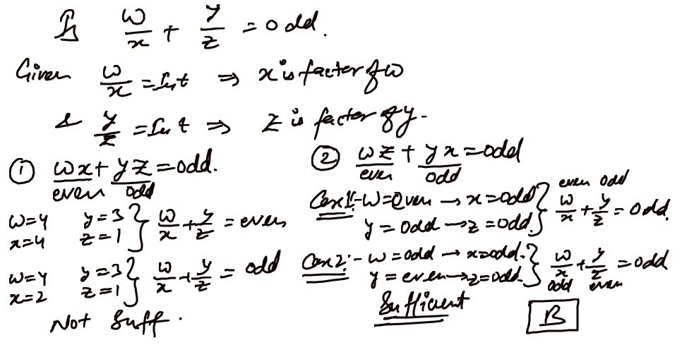
japped187
If w, x, y and z are integers such that w/x and y/z are integers, is w/x + y/z odd?

(1) wx + yz is odd
(2) wz + yx is odd

Please find the solution as attached
Attachments

File comment: www.GMATinsight.com
1115.jpg
1115.jpg [ 115.29 KiB | Viewed 49543 times ]

User avatar
Probus
Joined: 10 Apr 2018
Last visit: 22 May 2020
Posts: 178
Own Kudos:
561
 [2]
Given Kudos: 115
Location: United States (NC)
Posts: 178
Kudos: 561
 [2]
Kudos
Add Kudos
2
Bookmarks
Bookmark this Post
Hi,

Some important observations that could be helpful if we internalize this.

\(\frac{ODD}{EVEN}\) = never an integer and remainder is always odd.
\(\frac{3}{2}\) = never an integer value and reminder is 1,
\(\frac{191}{60}\) = never an integer remainder is 11.

\(\frac{ODD}{ODD}\) = either Odd Integer or never integer, then remainder can be either Odd or even
\(\frac{3}{1}\)= Odd integer remainder 0,
\(\frac{3}{5}\)= not an integer , remainder is 3,
\(\frac{5}{3}\)= not an integer and reminder is 2.


\(\frac{EVEN}{EVEN}\)= either Integer ( could be even or could be odd ) or could not be an integer, then remainder is always even.
\(\frac{6}{2}\)= 3 which is odd integer and remainder is 0 which is even .
\(\frac{12}{6}\)= 6 which is even integer and remainder is 0 which is even.
\(\frac{14}{4}\)= not an integer value and remainder is 2 which is even

\(\frac{EVEN}{ODD}\)= even integer or not an integer,then remainder is even or odd.
\(\frac{12}{3}\)= 4 even integer and remainder is 0
\(\frac{12}{5}\)= not an integer & reminder is 2 which is even
\(\frac{12}{7}\)= not an integer & remainder is 5 which is Odd


Now back to question,
we are given that w,x,y,z are integers and \(\frac {w}{x}\)and \(\frac{y}{z}\) are integers is \(\frac {w}{x}\)+ \(\frac{y}{z}\) = odd?

So lets say \(\frac{w}{x}\)= a , & \(\frac{y}{z}\) = b
then is a+b = odd integer . { note a, b are integers, and integer+integer= integer}
if we rearrange the terms \(\frac{wz+xy}{zx}\) = odd integer

we know that \(\frac{wz+xy}{zx}\)= integer,then we can write wz+xy= zx( integer). let this integer be denoted by k.

wz+xy= zx(k) -------(i)

Stm1 :wx+yz is odd.

adding wx+yz on both sides of equation(i)
then, wx+yz+wz+xy= k(zx)+wx+yz
so odd+ wz+xy= k(zx)+odd
or odd-odd+wz+xy= k(zx)
or even +wz+xy= k(zx)

so if wz+xy = odd then yes, if wz+xy = even then no.
So stmt 1 Insufficient .


Stmt 2: wz+xy = odd.
substituting in equation (i) we have
odd= k(zx) ,this implies k(zx) is odd { Note neither K, nor z or x is even}
So stmt 2 Sufficient .

Though , i did not use the observations above, but felt useful sharing as many Friends out here were using this approach.

Probus
User avatar
GMATGuruNY
Joined: 04 Aug 2010
Last visit: 02 Apr 2026
Posts: 1,347
Own Kudos:
3,904
 [2]
Given Kudos: 9
Schools:Dartmouth College
Expert
Expert reply
Posts: 1,347
Kudos: 3,904
 [2]
1
Kudos
Add Kudos
1
Bookmarks
Bookmark this Post
japped187
If w, x, y and z are integers such that w/x and y/z are integers, is w/x + y/z odd?

(1) wx + yz is odd
(2) wz + yx is odd

\(\frac{w}{x} + \frac{y}{z} = \frac{wz + xy}{xz}\)
Since \(\frac{w}{x}\) and \(\frac{y}{z}\) are integers, their SUM on the left side of the equation above must also be an integer.
Implication:
\(\frac{wz + xy}{xz}\) = INTEGER

Statement 1: wx + yz = odd
Case 1: w=1, x=1, y=2 and z=2, with the result that wx + yz = 1*1 + 2*2 = 5
In this case, \(\frac{w}{x} +\frac{y}{z} = \frac{1}{1} + \frac{2}{2} = 2\), so the answer to the question stem is NO.

Case 2: w=1, x=1, y=2, and z=1, with the result that wx + yz = 1*1 + 2*1 = 3
In this case, \(\frac{w}{x} + \frac{y}{z} = \frac{1}{1} + \frac{2}{1} = 3\), so the answer to the question stem is YES.
INSUFFICIENT.

Statement 2: wz + xy = ODD
Consider the following cases:
15 is an integer and \(\frac{15}{3}\) is an integer, so \(\frac{15}{3}\) is a FACTOR OF 15.
21 is an integer and \(\frac{21}{7}\)is an integer, so \(\frac{21}{7}\) is a FACTOR OF 21.
Using the same reasoning:
wz + xy is an integer and \(\frac{wz + xy}{xz}\) is an integer, so \(\frac{wz + xy}{xz}\) is a FACTOR of wz + xy.
Since wz + xy is odd, all of its factors must be odd.
Thus,\(\frac{wz + xy}{xz}\) must be odd.
Since \(\frac{wz + xy}{xz} = \frac{w}{x} + \frac{y}{z}\) = ODD, the answer to the question stem is YES.

User avatar
EMPOWERgmatRichC
User avatar
Major Poster
Joined: 19 Dec 2014
Last visit: 31 Dec 2023
Posts: 21,777
Own Kudos:
Given Kudos: 450
Status:GMAT Assassin/Co-Founder
Affiliations: EMPOWERgmat
Location: United States (CA)
GMAT 1: 800 Q51 V49
GRE 1: Q170 V170
Expert
Expert reply
GMAT 1: 800 Q51 V49
GRE 1: Q170 V170
Posts: 21,777
Kudos: 13,044
Kudos
Add Kudos
Bookmarks
Bookmark this Post
Hi All,

We're told that W, X, Y and Z are INTEGERS such that W/X and Y/Z are INTEGERS. We're asked if W/X + Y/Z is ODD. This is a YES/NO question and can be solved with a mix of TESTing VALUES and Number Properties. While this question is certainly more complex than a typical DS prompt, the basic Number Property rules involved are just about multiplication, division and addition. Since we'll be doing a lot of 'dividing' in this question, it would likely be easiest to test numbers that divide easily into other numbers (such as 1 or 2) for the values of X and Z.

To start, since W/X is an INTEGER, we know that W is a MULTIPLE of X (by extension, X is a FACTOR of W). In that same way, since Y/Z is an INTEGER, we know that Y is a MULTIPLE of Z (by extension, Z is a FACTOR of Y).

For W/X + Y/Z to be ODD, we know that one of those fractions would have to be Even and the other would have to be Odd.

(1) (W)(X) + (Y)(Z) is ODD

With the information in Fact 1, we know that one of the products MUST be Even and the other MUST be ODD. The only way for that ODD product to occur is if the two variables in the product are BOTH ODD.

IF we use ...

(1)(1) + (2)(2), then the value of W/X + Y/Z = 1/1 + 2/2 = 2 and the answer to the question is NO.
(2)(1) + (3)(1), then the value of W/X + Y/Z = 2/1 + 3/1 = 5 and the answer to the question is YES.
Fact 1 is INSUFFICIENT

(2) (W)(Z) + (Y)(X) is ODD

With the information in Fact 2, we know that one of the products MUST be Even and the other MUST be ODD. The only way for that ODD product to occur is if the two variables in the product are BOTH ODD. Thus, either 2 or 3 of the four variables MUST be ODD. We also have to keep in mind that W is a MULTIPLE of X and Y is a MULTIPLE of Z.

The second example we used in Fact 1 also fits Fact 2 (be careful to assign each value to the proper variable):

(2)(1) + (3)(1), then the value of W/X + Y/Z = 2/1 + 3/1 = 5 and the answer to the question is YES. This example has 3 ODD variables.

Even numbers do NOT divide into Odd numbers - and remember that W/X and Y/Z have to be INTEGERS, so if we had just 2 ODD variables, then they would have to be the values of X and Z. Consider how that logic impacts Fact 2:

(W)(Odd) + (Y)(Odd) = ODD. For this outcome to occur, either W or Y would have to be ODD... but W and Y MUST be EVEN in this situation. This ultimately means that there are NO examples in which there are exactly 2 Odd integers.

Thus, there MUST be 3 Odd integers and one Even integer (and the Even number would have to be in the numerator of one of those fractions. Thus, we'd have:

(Even)/(Odd) + (Odd)/(Odd) = Even + Odd = Odd. This means that the resulting calculation will ALWAYS be Odd and the answer to the question is ALWAYS YES.
Fact 2 is SUFFICIENT

Final Answer: [spoiler]B[/spoiler]

GMAT assassins aren't born, they're made,
Rich
User avatar
bumpbot
User avatar
Non-Human User
Joined: 09 Sep 2013
Last visit: 04 Jan 2021
Posts: 38,945
Own Kudos:
Posts: 38,945
Kudos: 1,116
Kudos
Add Kudos
Bookmarks
Bookmark this Post
Automated notice from GMAT Club BumpBot:

A member just gave Kudos to this thread, showing it’s still useful. I’ve bumped it to the top so more people can benefit. Feel free to add your own questions or solutions.

This post was generated automatically.
Moderators:
Math Expert
109721 posts
498 posts
210 posts