Last visit was: 23 Apr 2026, 19:36 It is currently 23 Apr 2026, 19:36
Close
GMAT Club Daily Prep
Thank you for using the timer - this advanced tool can estimate your performance and suggest more practice questions. We have subscribed you to Daily Prep Questions via email.

Customized
for You

we will pick new questions that match your level based on your Timer History

Track
Your Progress

every week, we’ll send you an estimated GMAT score based on your performance

Practice
Pays

we will pick new questions that match your level based on your Timer History
Not interested in getting valuable practice questions and articles delivered to your email? No problem, unsubscribe here.
Close
Request Expert Reply
Confirm Cancel
avatar
jimmylow
Joined: 31 Oct 2007
Last visit: 28 Aug 2014
Posts: 56
Own Kudos:
136
 [2]
Location: Frankfurt, Germany
Posts: 56
Kudos: 136
 [2]
Kudos
Add Kudos
2
Bookmarks
Bookmark this Post
User avatar
sreehari
Joined: 15 Aug 2007
Last visit: 29 Jun 2013
Posts: 88
Own Kudos:
Schools:Chicago Booth
Posts: 88
Kudos: 203
Kudos
Add Kudos
Bookmarks
Bookmark this Post
avatar
akkifreaky
Joined: 15 Apr 2011
Last visit: 09 Nov 2011
Posts: 21
Own Kudos:
Given Kudos: 2
Posts: 21
Kudos: 7
Kudos
Add Kudos
Bookmarks
Bookmark this Post
User avatar
subhashghosh
User avatar
Retired Moderator
Joined: 16 Nov 2010
Last visit: 25 Jun 2024
Posts: 894
Own Kudos:
Given Kudos: 43
Location: United States (IN)
Concentration: Strategy, Technology
Products:
Posts: 894
Kudos: 1,302
Kudos
Add Kudos
Bookmarks
Bookmark this Post
x/y - x/(y+1)

= (xy + x - xy)/y(y+1)

= x/y(y+1)

(1)

x != 0, so let x = -1, y = 1

So, x/y(y+1) = -1/2 < 0

x = 1, y = 1

So, x/y(y+1) = 1/2 > 0

Insufficient


(2)

x > y

let x = 0, y = any value < 0 (except -1)

Both the values are equal

x = 1, y = -2

So, x/y(y+1) = 1/(-2 * -1) = 1/2

x = -1, y = -2

So, x/y(y+1) = -1/(-2 * -1) = -1/2

Insufficient

(1) + (2)


Still Insufficient as per above cases

Answer - E
User avatar
amit2k9
Joined: 08 May 2009
Last visit: 18 Jun 2017
Posts: 535
Own Kudos:
Given Kudos: 10
Status:There is always something new !!
Affiliations: PMI,QAI Global,eXampleCG
Posts: 535
Kudos: 646
Kudos
Add Kudos
Bookmarks
Bookmark this Post
a differs for y = +|- values.

b becomes equal for x = 0.

a+b for x = 3|-2 and y = 2|-3 the values are different.

Hence E.
User avatar
Bunuel
User avatar
Math Expert
Joined: 02 Sep 2009
Last visit: 23 Apr 2026
Posts: 109,785
Own Kudos:
810,875
 [1]
Given Kudos: 105,853
Products:
Expert
Expert reply
Active GMAT Club Expert! Tag them with @ followed by their username for a faster response.
Posts: 109,785
Kudos: 810,875
 [1]
1
Kudos
Add Kudos
Bookmarks
Bookmark this Post
jimmylow
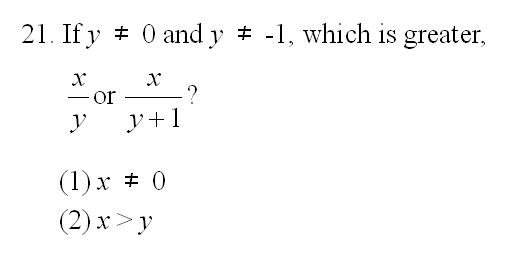
If y≠0 and y≠-1, is x/y > x/(y+1)?

(1) x≠0
(2) x > y

Attachment:
question21.JPG

If y≠0 and y≠-1, is x/y > x/(y+1)?

Is \(\frac{x}{y}>\frac{x}{y+1}\)? --> is \(\frac{x}{y}-\frac{x}{y+1}>0\)? --> is \(\frac{xy+x-xy}{y(y+1)}>0\)? --> is \(\frac{x}{y(y+1)}>0\)?

(1) x≠0. Not sufficient.
(2) x > y. Not sufficient.

(1)+(2) Still not sufficient, for example: if x>0>(y=-1/2) answer is NO but if x>y>0 answer is YES.

Answer: E.

OPEN DISCUSSION OF THIS QUESTION IS HERE: if-y-0-and-y-1-is-x-y-x-y-109984.html
Moderators:
Math Expert
109785 posts
498 posts
212 posts