Last visit was: 22 Apr 2026, 14:27 It is currently 22 Apr 2026, 14:27
Close
GMAT Club Daily Prep
Thank you for using the timer - this advanced tool can estimate your performance and suggest more practice questions. We have subscribed you to Daily Prep Questions via email.

Customized
for You

we will pick new questions that match your level based on your Timer History

Track
Your Progress

every week, we’ll send you an estimated GMAT score based on your performance

Practice
Pays

we will pick new questions that match your level based on your Timer History
Not interested in getting valuable practice questions and articles delivered to your email? No problem, unsubscribe here.
Close
Request Expert Reply
Confirm Cancel
User avatar
mattapraveen
Joined: 20 Jun 2010
Last visit: 02 Apr 2014
Posts: 188
Own Kudos:
221
 [146]
Given Kudos: 19
Status:Starting Work
Affiliations: Chartered Engineer
Location: United Arab Emirates
Concentration: General Management, Leadership
Schools: INSEAD - Class of 2013
WE:Business Development (Energy)
Schools: INSEAD - Class of 2013
Posts: 188
Kudos: 221
 [146]
10
Kudos
Add Kudos
135
Bookmarks
Bookmark this Post
Most Helpful Reply
User avatar
Bunuel
User avatar
Math Expert
Joined: 02 Sep 2009
Last visit: 22 Apr 2026
Posts: 109,754
Own Kudos:
Given Kudos: 105,823
Products:
Expert
Expert reply
Active GMAT Club Expert! Tag them with @ followed by their username for a faster response.
Posts: 109,754
Kudos: 810,663
 [54]
23
Kudos
Add Kudos
31
Bookmarks
Bookmark this Post
User avatar
KarishmaB
Joined: 16 Oct 2010
Last visit: 21 Apr 2026
Posts: 16,439
Own Kudos:
79,386
 [18]
Given Kudos: 484
Location: Pune, India
Expert
Expert reply
Active GMAT Club Expert! Tag them with @ followed by their username for a faster response.
Posts: 16,439
Kudos: 79,386
 [18]
15
Kudos
Add Kudos
3
Bookmarks
Bookmark this Post
General Discussion
avatar
manitshah
Joined: 09 Dec 2010
Last visit: 09 Mar 2020
Posts: 2
Own Kudos:
6
 [1]
Given Kudos: 2
Posts: 2
Kudos: 6
 [1]
1
Kudos
Add Kudos
Bookmarks
Bookmark this Post
the simplest way to do this is through a series of successive substitutions.
whenever there's a () in the working below, it means i have substituted a value that i found in an earlier step.

cheers.

x + 4 = 1
therefore, x = -3

y + 4 = -5
therefore, y = -9

x + e = 7
(-3) + e = 7
therefore, e = 10

y + e = n
(-9) + (10) = n
therefore, n = 1 ...(i)

z + e = 10
z + (10) = 10
therefore, z = 0

z + 4 = m
(0) + 4 = m
therefore, m = 4 ...(ii)

using (i) and (ii), m + n = 5

Ans = 5
User avatar
intcan
Joined: 27 Oct 2010
Last visit: 03 Apr 2021
Posts: 71
Own Kudos:
34
 [2]
Given Kudos: 20
Posts: 71
Kudos: 34
 [2]
2
Kudos
Add Kudos
Bookmarks
Bookmark this Post
4 + z = m
e + y = n
e + z = 10
4 + y = -5
4 + z + e + y = m + n
m + n = 10 - 5 = 5
User avatar
Spidy001
Joined: 01 Feb 2011
Last visit: 16 Feb 2015
Posts: 298
Own Kudos:
355
 [4]
Given Kudos: 42
Posts: 298
Kudos: 355
 [4]
4
Kudos
Add Kudos
Bookmarks
Bookmark this Post
On careful observation , this problem can be easily solved under 2 mins.

m +n = 4 +z + e +y = 4 +(z+e)+y = 4 +10+y = 14+y

solve y separately, y = -9 => m+n = 14-9 =5.

Answer is C.

Sarang
Question:- will this get completed in a time span of 2 mins?
User avatar
MHIKER
Joined: 14 Jul 2010
Last visit: 24 May 2021
Posts: 939
Own Kudos:
Given Kudos: 690
Status:No dream is too large, no dreamer is too small
Concentration: Accounting
Posts: 939
Kudos: 5,811
Kudos
Add Kudos
Bookmarks
Bookmark this Post
Bunuel
+xyz
41-5m
e7n10
f2-45
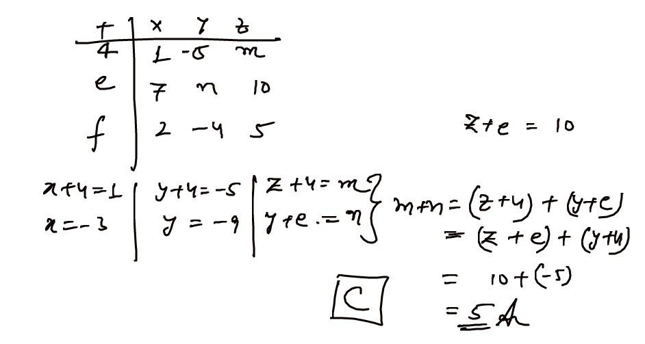
In the addition table shown above, what is the value of m + n =?
A. -19
B. 4
C. 5
D. 6
E. 22

The sum of some value from the first row and and some value from the first column is given in the intersection box of these values.

So:

x+4=1 --> x=-3;
y+4=-5 --> y=-9;
x+e=-3+e=7 --> e=10;
y+e=-9+10=n --> n=1;
z+e=z+10=10 --> z=0;
z+4=0+4=m --> m=4;

\(m+n=4+1=5\).

How will I know that The sum of some value from the first row and and some value from the first column is given in the intersection box of these values. What is the mechanism?
User avatar
KarishmaB
Joined: 16 Oct 2010
Last visit: 21 Apr 2026
Posts: 16,439
Own Kudos:
79,386
 [2]
Given Kudos: 484
Location: Pune, India
Expert
Expert reply
Active GMAT Club Expert! Tag them with @ followed by their username for a faster response.
Posts: 16,439
Kudos: 79,386
 [2]
1
Kudos
Add Kudos
1
Bookmarks
Bookmark this Post
Baten80
Bunuel
+xyz
41-5m
e7n10
f2-45
In the addition table shown above, what is the value of m + n =?
A. -19
B. 4
C. 5
D. 6
E. 22

The sum of some value from the first row and and some value from the first column is given in the intersection box of these values.

So:

x+4=1 --> x=-3;
y+4=-5 --> y=-9;
x+e=-3+e=7 --> e=10;
y+e=-9+10=n --> n=1;
z+e=z+10=10 --> z=0;
z+4=0+4=m --> m=4;

\(m+n=4+1=5\).

Answer: C.

How will I know that The sum of some value from the first row and and some value from the first column is given in the intersection box of these values. What is the mechanism?

If you are not aware of the concept of 'addition table', the mechanism isn't intuitive. It might take some time to figure out. On the bright side, you now know the mechanism behind an addition table and if some other such concept does crop up in your actual GMAT, they will explain you how to arrive at the values. Very rarely will you see ambiguity in actual GMAT questions (If it does arise, they are quick to fix it.) So just know what this concept is and move on.
User avatar
siddharthmuzumdar
Joined: 12 Oct 2011
Last visit: 15 Dec 2015
Posts: 108
Own Kudos:
180
 [1]
Given Kudos: 110
Posts: 108
Kudos: 180
 [1]
1
Kudos
Add Kudos
Bookmarks
Bookmark this Post
This one is quite easy actually. I, frankly, do not think that this is 700-level. But then again, it is just my opinion.

Here is my explanation:

Question: m + n = ?

Now m = z + 4; n = y + e

Hence, m + n = z + 4 + y + e = (z + e) + (y + 4)

If you observe the table again, you know that (z + e) = 10 and (y + 4) = -5.

Add them to get m + n = 5

Answer: C
avatar
mk0991
Joined: 21 Jun 2011
Last visit: 01 Apr 2013
Posts: 4
Own Kudos:
1
 [1]
Given Kudos: 3
Posts: 4
Kudos: 1
 [1]
1
Kudos
Add Kudos
Bookmarks
Bookmark this Post
Q # 2 on my GMAT Prep test # 1... :roll: spent 5 minutes trying to figure it out and still couldn't. Now I am worrying more than ever about such ridiculous questions....
User avatar
KarishmaB
Joined: 16 Oct 2010
Last visit: 21 Apr 2026
Posts: 16,439
Own Kudos:
79,386
 [1]
Given Kudos: 484
Location: Pune, India
Expert
Expert reply
Active GMAT Club Expert! Tag them with @ followed by their username for a faster response.
Posts: 16,439
Kudos: 79,386
 [1]
1
Kudos
Add Kudos
Bookmarks
Bookmark this Post
mk0991
Q # 2 on my GMAT Prep test # 1... :roll: spent 5 minutes trying to figure it out and still couldn't. Now I am worrying more than ever about such ridiculous questions....

You don't have to worry. If this question was a part of GMAT at some time, it was a very very long time back. GMAT has been evolving and now if they use a term such as 'addition table', they are not going to assume that you know what it is. They will explain you what an addition table is i.e. they will tell you something like this" "An addition table is where numbers in the first row get added to numbers in the first column to give the results given in the grid e.g. 4 + X = 1, E + Y = N etc."
The stats related to every question are monitored and if they see inconsistencies, they filter them out e.g. if they see people getting more than Q49 but sitting on this 500 - 600 level question for 5 mins, they will figure out why and take action. In GMAT, the intent of the question will be very clear. You will only have to worry about 'how to get the answer' not 'what do they want'.
User avatar
PrashantPonde
Joined: 27 Jun 2012
Last visit: 29 Jan 2025
Posts: 311
Own Kudos:
2,782
 [13]
Given Kudos: 185
Concentration: Strategy, Finance
Posts: 311
Kudos: 2,782
 [13]
11
Kudos
Add Kudos
2
Bookmarks
Bookmark this Post
Attachment:
addition table.jpg
addition table.jpg [ 20.45 KiB | Viewed 81420 times ]
We do not have to calculate value of any variable here. The solution can be simplified as below:
m=z+4 and n=y+e
Hence m+n = z+4+y+e = (y+4) + (z+e)
From yellow cell (y+4) = -5
From green cell (z+e) = 10

Substitute above in (m+n) equation
m+n = (y+4)+(z+e) = -5+10= 5

Hence choice(C) is the answer.
User avatar
GMATinsight
User avatar
Major Poster
Joined: 08 Jul 2010
Last visit: 22 Apr 2026
Posts: 6,976
Own Kudos:
Given Kudos: 128
Status:GMAT/GRE Tutor l Admission Consultant l On-Demand Course creator
Location: India
GMAT: QUANT+DI EXPERT
Schools: IIM (A) ISB '24
GMAT 1: 750 Q51 V41
WE:Education (Education)
Products:
Expert
Expert reply
Schools: IIM (A) ISB '24
GMAT 1: 750 Q51 V41
Posts: 6,976
Kudos: 16,900
Kudos
Add Kudos
Bookmarks
Bookmark this Post
mattapraveen
+xyz
41-5m
e7n10
f2-45
In the addition table shown above, what is the value of m + n =?

A. -19
B. 4
C. 5
D. 6
E. 22


Answer: option C

Check solution as attached
Attachments

File comment: www.GMATinsight.com
13.jpg
13.jpg [ 57.38 KiB | Viewed 45233 times ]

User avatar
Basshead
Joined: 09 Jan 2020
Last visit: 07 Feb 2024
Posts: 907
Own Kudos:
Given Kudos: 431
Location: United States
Posts: 907
Kudos: 323
Kudos
Add Kudos
Bookmarks
Bookmark this Post
\(m + n = 4 + z + e + y\)

\(4 + y = -5\)

\(z + e = 10\)

\(10 + (-5) = 5\)

Answer is C.
User avatar
TheAlchemist36
Joined: 19 Oct 2021
Last visit: 03 Nov 2022
Posts: 12
Own Kudos:
Given Kudos: 50
Location: India
Posts: 12
Kudos: 3
Kudos
Add Kudos
Bookmarks
Bookmark this Post
KarishmaB
mk0991
Q # 2 on my GMAT Prep test # 1... :roll: spent 5 minutes trying to figure it out and still couldn't. Now I am worrying more than ever about such ridiculous questions....

You don't have to worry. If this question was a part of GMAT at some time, it was a very very long time back. GMAT has been evolving and now if they use a term such as 'addition table', they are not going to assume that you know what it is. They will explain you what an addition table is i.e. they will tell you something like this" "An addition table is where numbers in the first row get added to numbers in the first column to give the results given in the grid e.g. 4 + X = 1, E + Y = N etc."
The stats related to every question are monitored and if they see inconsistencies, they filter them out e.g. if they see people getting more than Q49 but sitting on this 500 - 600 level question for 5 mins, they will figure out why and take action. In GMAT, the intent of the question will be very clear. You will only have to worry about 'how to get the answer' not 'what do they want'.

10 years since this post was published and GMAC has decided to retain it on the GMAT prep mocks. It seems as though we must be prepared for such surprises. :)
User avatar
bumpbot
User avatar
Non-Human User
Joined: 09 Sep 2013
Last visit: 04 Jan 2021
Posts: 38,967
Own Kudos:
Posts: 38,967
Kudos: 1,117
Kudos
Add Kudos
Bookmarks
Bookmark this Post
Automated notice from GMAT Club BumpBot:

A member just gave Kudos to this thread, showing it’s still useful. I’ve bumped it to the top so more people can benefit. Feel free to add your own questions or solutions.

This post was generated automatically.
Moderators:
Math Expert
109754 posts
Tuck School Moderator
853 posts